高压变频技术在D450风机上节能应用
时间:11-11
来源:互联网
点击:
在能源日益紧张的现代社会,“节能降耗”是企业未来发展的重点工作。我厂是一个具有25年生产历史的大型选矿厂,年耗能2.5万吨标准煤。近年来,我们不断向管理要效益,通过生产组织合理配置、采取生产过程能源消耗与职工收益挂钩、制定能源消耗管理办法等措施,使我厂的节能降耗工作取得了显著的成绩。但是,由于工艺流程已经形成了固定的生产模式,仅仅依靠潜力的挖掘,已难以满足“节能降耗”这一大气候的需要,在现有的生产工艺流程模式下,只有依靠节能技术来达到降低能耗的目的。我们通过对我厂耗能设备的摸底分析,认为高压变频技术在D450风机上的应用,其节能效果非常可观。
1 D450风机使用现状
我厂现有D450风机4台,运行方式为两开两备,主要任务是给充气式浮选级进行充气,从目前风机的运行情况来看,风机是通过调节挡板来达到控制风量的目的,并且挡板一般仅调节在1/3处;此种调节方式属恒速调节方式,从理论上讲,就是依靠改变风机的管网特性来达到调节风量的目的,这种调节方式很不经济,人为增大了管网的阻力,相当于增大了每立方米空气所消耗的电能。一般来说,风机风量的调节方法可分为恒速调节和调速调节两大类,而在目前所有的调速调节方法之中,采用变频调速方式是节能效果最好的一种方法。
今年一季度,我厂与陕西佳灵能源工程有限公司合作,对D450风机的风量与压力进行了多次测试。测试条件:10台球磨机全部运行,在满足正常生产的情况下,将单台浮选机及每组浮选机总阀门开在合理位置。测试情况如表1"表3所列。

这里需要说明的是,由于1#、2#风机与3#、4#风机分别在三组浮选机系统的两端,输送风向相反,存在相互干扰现象,故测试有一定误差;尽管如此,从测试情况来看,对风机配电系统采用变频调速,节能效果是非常显著的。
2 高压变频技术说明
从交流异步电动机的转速公式

式中:n为电动机转速r/min;
f为电源频率Hz;
s为转差率;
P为极对数。
我们知道,改变异步电动机的电源频率就可以改变电动机的转速,这是目前最简单、最有效的交流异步电动机调速方法,可以很容易做到无极变速。而且交流变频调速技术是上世纪90年代后期迅速发展起来的一种新型电力传动调速技术,主要用于交流电动机的变频调速,其技术和性能在交流电动机调速控制方面胜过其它任何一种调速方式。变频调速装置以系统效率高、节能效果显著、调速精度高、调速范围宽、机械特性硬、起制动能耗小、电力电子保护功能完善、易于实现自动控制及通信功能,得到了越来越广泛的应用;并且在运行安全可靠性、安装使用、维修维护等方面,也给使用者带来了极大的便利,使之成为企业采用电动机节能方式的首选设备。
3 可行性分析
风机、水泵均属于典型的平方减转矩负载,如图1所示,为风机的风压与流量的关系曲线,图2表示了电动机转矩与转速的关系曲线,下面以风机的工作特性来分析其节能原理。

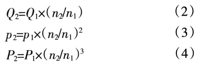
风机的电动机轴功率P与其流量Q,风压p之间的关系为P∝Qxp。
当电动机分别在转速为n1、n2下运行时,流量由Q1变化到Q2,此时Q、p、P相对于转速的关系如式(2)~式(4)所列。

由式(2)~式(4)可以看出,风机的风量与转速成正比,风机的风压与转速的平方成正比,风机的轴功率(功率输出)与转速的立方成正比,调节电动机的转速即可调节流量。从理论上讲,速度降低lO%时会带来27%左右的功率下降,由于功率的大幅度降低,可获得显著的节能效果。
风机进风口阀门调节节能计算:
基本计算公式为

式中:PW为风机消耗的电功率;
η为风机效率;
cosφ为功率因数;
U为电压;
I为电流;
P为压力;
Q为流量;
K为常数。
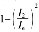
系统在工频运行情况下,由于系统在工频运行时电网电压不变,因此由式(5)、式(6)可知

式中:Pw为节流一节流运行时的电功率;
Pwe为电机额定功率;
I2为节流运行时的电机电流;
Ie为电机额定电流;
Q2为节流运行时的流量;
Qe为额定流量。
系统在变频运行情况下,由于频率的变化,使风机转速发生变化;变频后出风口风门全开,只要保证出口流量达到变频前的流量即可,这时当频率变化时,流量、压力都在变化。
由此可得到采用变频调速装置前、后所消耗的电功率比值为

式中:Pw为变频一变频运行时的电功率;
Pwe为电机额定功率;
n2为节流运行时的转速;
ne为额定转速;
I2为节流运行时的电机电流;
Ie为电机额定电流;
Q2为节流运行时的流量;
Qe为额定流量。
风机出风口阀门调节变频改造后,理论节电率为

这里需要说明的是,由于以上计算未考虑系统损耗等情况,并且不论用那种方式调节,风机的效率及电动机的功率因数也有一定的变化,在上述计算中也没考虑;所以以上是理论计算值,实际工况情况比上述计算复杂得多,因此,节能率要比计算值低一些。
4 变频技术应用方案
风机的负载特点是其转矩与转速的平方成正比,其轴功率与转速的立方成正比。从理论上讲,速度降低10%时会带来27%左右的功率下降。因此,将电动机以定速运转、用挡板阀门调节风量的方法,改用根据风量需要调节电动机的转速就可获得较好的节电效果。即需要多少就提供多少,而不是足量提供多余丢弃。高压变频技术在D450风机上的应用方案是将目前运行的电动机直接起动/运行方式改为采用变频装置起动/运行方式,利用风机风量实现对变频器闭环控制,以达到系统节能的目的。由于风机运行时的实际风量比其额定风量小得多,所以节电潜力是非常大的。采用变频调速来获得实际需要的风量,在节约电能、降低风机电动机维修费用的同时,还提高了系统的自动化水平、提高输出风量的稳定性、减轻设备的磨损、降低了系统的噪音、改善了工作环境、减轻了工人的劳动强度。
5 投资与回收说明
单台风机变频改造投资组成,如表4所列。

由于“高压变频技术在D450风机上的应用方案”一次性投资比较大,我们希望先对其中一台风机电气系统进行变频改造,在项目实施完成,系统运行3~6个月后,视变频装置运行情况,再对另外风机进行变频改造。
2#、3#风机电动机技术参数及目前的运行数据如表5及表6所列。

由式(15)可得:

,风机的效率按照70%,电动机效率按照75%考虑,根据2#、3#风机目前运行参数,在变频改造后做节能估算如下。
5.1 2#风机节能概算
按照风机年运行时间8640小时计算,变频节能改造前年消耗电能187.66万kW·h;年消耗总电费:187.66万kW·hxO.42元/kW·h=78.82万元。
经变频节能改造后,节能率按照36%估算,年可节约电费78.82万元x36%=28.38万元。
投资回收期:86.48万元/28.38万元=3.0年。
5.2 3#风机节能概算
按照风机年运行时间8640小时计算,变频节能改造前年消耗电能153.54.万kW·h;年消耗总电费:153.54万kW·h×0.42元/kwh=64.49万元。
经变频节能改造后,节能率按照4l%估算,年可节约电费64.49万元×4l%=26.44万元。
投资回收期:86.48万元/26.44万元=3.3年。
6 结语
通过对D450风机工况进行了解、运行参数测试及节能分析,对D450风机系统进行变频改造后将达到以下效果:
(1)改善了工况,提高了效率,节约了电能:
①系统投入变频器后,不需调节挡风板,也避免了电动机的频繁起停等现象;
②提高了系统的自动化程度,变频器自动根据需求量调节转速,有效改善了室内环境,节约了大量电能;
③设备的运行参数得以改进,系统效率大为提高。
(2)系统的维护维修量大为减少、降低了维修费用:
①系统投入变频器后,延长了管道的检修周期和使用寿命;
②系统投入变频器后,电动机平滑稳定地起动和减速停止,降低了电动机修理费用,有效地延长了设备的检修期。
(3)减小了启动时对电网的冲击:系统投入变频器后,电动机实现了软起动、软停止,相应的减小了对电网的冲击。
通过对D450风机工况摸底与高压变频技术在D450风机上应用分析,此方案是可行的。
1 D450风机使用现状
我厂现有D450风机4台,运行方式为两开两备,主要任务是给充气式浮选级进行充气,从目前风机的运行情况来看,风机是通过调节挡板来达到控制风量的目的,并且挡板一般仅调节在1/3处;此种调节方式属恒速调节方式,从理论上讲,就是依靠改变风机的管网特性来达到调节风量的目的,这种调节方式很不经济,人为增大了管网的阻力,相当于增大了每立方米空气所消耗的电能。一般来说,风机风量的调节方法可分为恒速调节和调速调节两大类,而在目前所有的调速调节方法之中,采用变频调速方式是节能效果最好的一种方法。
今年一季度,我厂与陕西佳灵能源工程有限公司合作,对D450风机的风量与压力进行了多次测试。测试条件:10台球磨机全部运行,在满足正常生产的情况下,将单台浮选机及每组浮选机总阀门开在合理位置。测试情况如表1"表3所列。

这里需要说明的是,由于1#、2#风机与3#、4#风机分别在三组浮选机系统的两端,输送风向相反,存在相互干扰现象,故测试有一定误差;尽管如此,从测试情况来看,对风机配电系统采用变频调速,节能效果是非常显著的。
2 高压变频技术说明
从交流异步电动机的转速公式

式中:n为电动机转速r/min;
f为电源频率Hz;
s为转差率;
P为极对数。
我们知道,改变异步电动机的电源频率就可以改变电动机的转速,这是目前最简单、最有效的交流异步电动机调速方法,可以很容易做到无极变速。而且交流变频调速技术是上世纪90年代后期迅速发展起来的一种新型电力传动调速技术,主要用于交流电动机的变频调速,其技术和性能在交流电动机调速控制方面胜过其它任何一种调速方式。变频调速装置以系统效率高、节能效果显著、调速精度高、调速范围宽、机械特性硬、起制动能耗小、电力电子保护功能完善、易于实现自动控制及通信功能,得到了越来越广泛的应用;并且在运行安全可靠性、安装使用、维修维护等方面,也给使用者带来了极大的便利,使之成为企业采用电动机节能方式的首选设备。
3 可行性分析
风机、水泵均属于典型的平方减转矩负载,如图1所示,为风机的风压与流量的关系曲线,图2表示了电动机转矩与转速的关系曲线,下面以风机的工作特性来分析其节能原理。

风机的电动机轴功率P与其流量Q,风压p之间的关系为P∝Qxp。
当电动机分别在转速为n1、n2下运行时,流量由Q1变化到Q2,此时Q、p、P相对于转速的关系如式(2)~式(4)所列。

由式(2)~式(4)可以看出,风机的风量与转速成正比,风机的风压与转速的平方成正比,风机的轴功率(功率输出)与转速的立方成正比,调节电动机的转速即可调节流量。从理论上讲,速度降低lO%时会带来27%左右的功率下降,由于功率的大幅度降低,可获得显著的节能效果。
风机进风口阀门调节节能计算:
基本计算公式为

式中:PW为风机消耗的电功率;
η为风机效率;
cosφ为功率因数;
U为电压;
I为电流;
P为压力;
Q为流量;
K为常数。
系统在工频运行情况下,由于系统在工频运行时电网电压不变,因此由式(5)、式(6)可知

式中:Pw为节流一节流运行时的电功率;
Pwe为电机额定功率;
I2为节流运行时的电机电流;
Ie为电机额定电流;
Q2为节流运行时的流量;
Qe为额定流量。
系统在变频运行情况下,由于频率的变化,使风机转速发生变化;变频后出风口风门全开,只要保证出口流量达到变频前的流量即可,这时当频率变化时,流量、压力都在变化。

由此可得到采用变频调速装置前、后所消耗的电功率比值为

式中:Pw为变频一变频运行时的电功率;
Pwe为电机额定功率;
n2为节流运行时的转速;
ne为额定转速;
I2为节流运行时的电机电流;
Ie为电机额定电流;
Q2为节流运行时的流量;
Qe为额定流量。
风机出风口阀门调节变频改造后,理论节电率为

这里需要说明的是,由于以上计算未考虑系统损耗等情况,并且不论用那种方式调节,风机的效率及电动机的功率因数也有一定的变化,在上述计算中也没考虑;所以以上是理论计算值,实际工况情况比上述计算复杂得多,因此,节能率要比计算值低一些。
4 变频技术应用方案
风机的负载特点是其转矩与转速的平方成正比,其轴功率与转速的立方成正比。从理论上讲,速度降低10%时会带来27%左右的功率下降。因此,将电动机以定速运转、用挡板阀门调节风量的方法,改用根据风量需要调节电动机的转速就可获得较好的节电效果。即需要多少就提供多少,而不是足量提供多余丢弃。高压变频技术在D450风机上的应用方案是将目前运行的电动机直接起动/运行方式改为采用变频装置起动/运行方式,利用风机风量实现对变频器闭环控制,以达到系统节能的目的。由于风机运行时的实际风量比其额定风量小得多,所以节电潜力是非常大的。采用变频调速来获得实际需要的风量,在节约电能、降低风机电动机维修费用的同时,还提高了系统的自动化水平、提高输出风量的稳定性、减轻设备的磨损、降低了系统的噪音、改善了工作环境、减轻了工人的劳动强度。
5 投资与回收说明
单台风机变频改造投资组成,如表4所列。

由于“高压变频技术在D450风机上的应用方案”一次性投资比较大,我们希望先对其中一台风机电气系统进行变频改造,在项目实施完成,系统运行3~6个月后,视变频装置运行情况,再对另外风机进行变频改造。
2#、3#风机电动机技术参数及目前的运行数据如表5及表6所列。

由式(15)可得:

,风机的效率按照70%,电动机效率按照75%考虑,根据2#、3#风机目前运行参数,在变频改造后做节能估算如下。
5.1 2#风机节能概算
按照风机年运行时间8640小时计算,变频节能改造前年消耗电能187.66万kW·h;年消耗总电费:187.66万kW·hxO.42元/kW·h=78.82万元。
经变频节能改造后,节能率按照36%估算,年可节约电费78.82万元x36%=28.38万元。
投资回收期:86.48万元/28.38万元=3.0年。
5.2 3#风机节能概算
按照风机年运行时间8640小时计算,变频节能改造前年消耗电能153.54.万kW·h;年消耗总电费:153.54万kW·h×0.42元/kwh=64.49万元。
经变频节能改造后,节能率按照4l%估算,年可节约电费64.49万元×4l%=26.44万元。
投资回收期:86.48万元/26.44万元=3.3年。
6 结语
通过对D450风机工况进行了解、运行参数测试及节能分析,对D450风机系统进行变频改造后将达到以下效果:
(1)改善了工况,提高了效率,节约了电能:
①系统投入变频器后,不需调节挡风板,也避免了电动机的频繁起停等现象;
②提高了系统的自动化程度,变频器自动根据需求量调节转速,有效改善了室内环境,节约了大量电能;
③设备的运行参数得以改进,系统效率大为提高。
(2)系统的维护维修量大为减少、降低了维修费用:
①系统投入变频器后,延长了管道的检修周期和使用寿命;
②系统投入变频器后,电动机平滑稳定地起动和减速停止,降低了电动机修理费用,有效地延长了设备的检修期。
(3)减小了启动时对电网的冲击:系统投入变频器后,电动机实现了软起动、软停止,相应的减小了对电网的冲击。
通过对D450风机工况摸底与高压变频技术在D450风机上应用分析,此方案是可行的。
- 一种基于Intel8253与L298N电机PWM调速法(06-09)
- 电力系统中0.38kV系统控制电源控制方式选择(07-11)
- 80C196MC单片机波形发生器原理及其在逆变电源中的应用(07-22)
- 电流互感器及其应用(07-26)
- 基于80C196KC的电子软起动器的软硬件实现(08-04)
- 两款直流电机功率驱动芯片及其应用(08-05)
