一种新型电流型移相全桥软开关变换器的设计
时间:11-11
来源:互联网
点击:
开关电源的发展趋势是高频、高功率密度、高效率、模块化以及低的电磁干扰(EMI)等,但传统的硬开关变换器不仅存在严重的电磁干扰(EMI),而且功率管的开关损耗限制了开关频率的提高,软开关应运而生。目前实现软开关主要有两种方法:一为零电压(ZVS)开关,另一种为零电流(ZCS)开关。
全桥DC/DC变换器广泛应用于中大功率的场合。根据其输入端为电容或者是电感,全桥变换器可分为电流型和电压型两种。过去的数十年问,电压型全桥变换器的软开关技术得到深入研究。而电流型却没有得到足够的重视。事实上,电流型变换器具有很多的优点。最显著的优点之一是在多路输出的应用场合中,它相当于将滤波电感放置于变压器的原边,因而整个电路仅需要这一个电感。
本文提出了一个采用移相控制的新型电流型全桥变换器,引入辅助电路来帮助两个上管实现零电压工作,利用变换器的寄生参数(变压器的漏感)来实现两个下管零电流工作。分析了它的工作原理以及实现软开关的条件,并最终在Pspice仿真中验证了理论的正确性。
1 工作原理
图l所示为本人所提出的电流型移相控制PWM DC/DC全桥变换器。Lin为输入电感,Llk为变压器的漏感,CS1、CS2是和两个上管VT1、VT2并联的电容,VTa1、VTa2是辅助开关,Lrl、Lr2是谐振电感。

该变换器一个周期内共有十个开关模态,为了便于分析,我们作如下假设:
a.所有电感、电容、开关管和变压器均为理想器件。
b.输入电感Lin足够大,在一个开关周期中,输入电流Iin基本上可视为不变。
c.输出电容Co足够大,在一个开关周期中,输出电压Uo基本上可视为不变;
d.输入电感Lin远大于谐振电感Llk.
e. 特征阻抗

谐振角频率

为变压器的变化。
各主要变量波形如图2所示,各开关模态的等效电路如图3所示。


1)开关模态l[t0~t1]
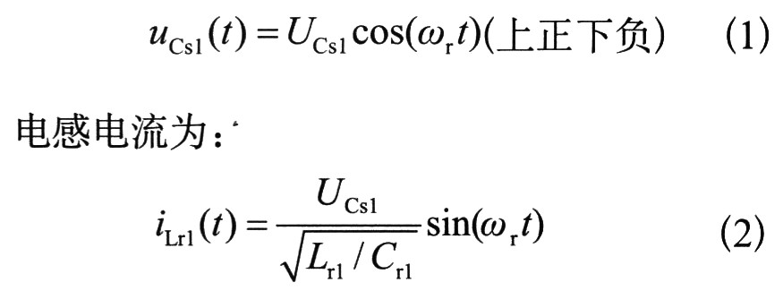
t0时刻以前,原边电流通过主开关管VT2和VT4,负载由输出电容供电,如图3(a)所示。t1时刻,辅助开关管VTa1打开,CS2和Lr1开始谐振,如图3(b)所示,谐振电容电压的表达式为(初始电压为UCSl):

经过半个谐振周期,电感电流为0,谐振电容电压变为一UCS1,故该模态持续时间:

此时,VTa1可以零电流关断。
2)开关模态2[t1~t2]
t1时刻,由于并联电容的存在,VT2可以零电压关断。如图3(c)所示,输入电流通过CS1,漏感Llk,变压器的原边以及VT4,CS1电压的表达式为:

副边电流通过VD1和VD4。t2时刻,电容两端电压降至为0,该模态持续时间:

3)开关模态3[t2~t3]
t2时刻,VT1零电压开通,如图3(d)所示,这期间该变换器像传统结构一样向负载供电。
4)开关模态4[t3~t4]
t3时刻,开通VT3,如图3(e)所示。VT3的电流开始线性增加,VT4的电流线性减小。表达式为:

t4时刻,VT3的电流上升至输入电流,VT4的电流减小到0,该模态的持续时间:

可见,VT3是零电流开通,VT4是零电流关断的。
5)开关模态5[t4~t5]
输入电流通过VT1和VT3,负载由输出电容供电,如图3(f)所示。变换器开始另一半周期的工作。
2 实现软开关的条件
由以上工作原理的分析,我们可知,变换器顺利实现软开关必须满足以下条件:
(1)VT1和VT2必须有死区时间,且该死区时间不能太大,否则其并联电容将被正向充电,以至零电压丢失。以前文分析的半个周期为例,VT2关闭后的死区时间不能太大以至于VT1的并联电容重新被正向充电,那么由式(5)可得,死区时间应该满足

(2)VT3和VT4的重叠时间要足够大,以保证两个下管的电流可以顺利转换。以前文分析的半个周期为例,重叠时间内应该要保证VT4的电流顺利降为0,VT3顺利的上升至输入电流Iin。则由(8)式可得,重叠时间应该满足

3 仿真结果及分析
为了验证文本提出的变换器的原理,在Pspice里设计了一个50kHZ的模型进行验证。输入电流为Iin=10A,输出电压Uo=325V。一个周期内各仿真波形如图4所示。(a)图所示为主开关管VT1的电压电流波形,从图上我们可以看出VT1可以零电压开通和关断。由于IGBT有拖尾电流效应,因而实际中两个上管可以用MOS管来代替IGBT;(b)图所示为主开关管VT3的电压电流波形,可见VT3顺利的实现零电流开通和关断;(c)图为辅助开关VTa1的电压电流波形,由于辅助电路引入谐振来帮助主开关管实现零电压,因而它是可以零电流工作的,不会给变换器增加额外的损耗。

全桥DC/DC变换器广泛应用于中大功率的场合。根据其输入端为电容或者是电感,全桥变换器可分为电流型和电压型两种。过去的数十年问,电压型全桥变换器的软开关技术得到深入研究。而电流型却没有得到足够的重视。事实上,电流型变换器具有很多的优点。最显著的优点之一是在多路输出的应用场合中,它相当于将滤波电感放置于变压器的原边,因而整个电路仅需要这一个电感。
本文提出了一个采用移相控制的新型电流型全桥变换器,引入辅助电路来帮助两个上管实现零电压工作,利用变换器的寄生参数(变压器的漏感)来实现两个下管零电流工作。分析了它的工作原理以及实现软开关的条件,并最终在Pspice仿真中验证了理论的正确性。
1 工作原理
图l所示为本人所提出的电流型移相控制PWM DC/DC全桥变换器。Lin为输入电感,Llk为变压器的漏感,CS1、CS2是和两个上管VT1、VT2并联的电容,VTa1、VTa2是辅助开关,Lrl、Lr2是谐振电感。

该变换器一个周期内共有十个开关模态,为了便于分析,我们作如下假设:
a.所有电感、电容、开关管和变压器均为理想器件。
b.输入电感Lin足够大,在一个开关周期中,输入电流Iin基本上可视为不变。
c.输出电容Co足够大,在一个开关周期中,输出电压Uo基本上可视为不变;
d.输入电感Lin远大于谐振电感Llk.
e. 特征阻抗

谐振角频率

为变压器的变化。
各主要变量波形如图2所示,各开关模态的等效电路如图3所示。


1)开关模态l[t0~t1]
t0时刻以前,原边电流通过主开关管VT2和VT4,负载由输出电容供电,如图3(a)所示。t1时刻,辅助开关管VTa1打开,CS2和Lr1开始谐振,如图3(b)所示,谐振电容电压的表达式为(初始电压为UCSl):

经过半个谐振周期,电感电流为0,谐振电容电压变为一UCS1,故该模态持续时间:

此时,VTa1可以零电流关断。
2)开关模态2[t1~t2]
t1时刻,由于并联电容的存在,VT2可以零电压关断。如图3(c)所示,输入电流通过CS1,漏感Llk,变压器的原边以及VT4,CS1电压的表达式为:

副边电流通过VD1和VD4。t2时刻,电容两端电压降至为0,该模态持续时间:

3)开关模态3[t2~t3]
t2时刻,VT1零电压开通,如图3(d)所示,这期间该变换器像传统结构一样向负载供电。
4)开关模态4[t3~t4]
t3时刻,开通VT3,如图3(e)所示。VT3的电流开始线性增加,VT4的电流线性减小。表达式为:

t4时刻,VT3的电流上升至输入电流,VT4的电流减小到0,该模态的持续时间:

可见,VT3是零电流开通,VT4是零电流关断的。
5)开关模态5[t4~t5]
输入电流通过VT1和VT3,负载由输出电容供电,如图3(f)所示。变换器开始另一半周期的工作。
2 实现软开关的条件
由以上工作原理的分析,我们可知,变换器顺利实现软开关必须满足以下条件:
(1)VT1和VT2必须有死区时间,且该死区时间不能太大,否则其并联电容将被正向充电,以至零电压丢失。以前文分析的半个周期为例,VT2关闭后的死区时间不能太大以至于VT1的并联电容重新被正向充电,那么由式(5)可得,死区时间应该满足

(2)VT3和VT4的重叠时间要足够大,以保证两个下管的电流可以顺利转换。以前文分析的半个周期为例,重叠时间内应该要保证VT4的电流顺利降为0,VT3顺利的上升至输入电流Iin。则由(8)式可得,重叠时间应该满足

3 仿真结果及分析
为了验证文本提出的变换器的原理,在Pspice里设计了一个50kHZ的模型进行验证。输入电流为Iin=10A,输出电压Uo=325V。一个周期内各仿真波形如图4所示。(a)图所示为主开关管VT1的电压电流波形,从图上我们可以看出VT1可以零电压开通和关断。由于IGBT有拖尾电流效应,因而实际中两个上管可以用MOS管来代替IGBT;(b)图所示为主开关管VT3的电压电流波形,可见VT3顺利的实现零电流开通和关断;(c)图为辅助开关VTa1的电压电流波形,由于辅助电路引入谐振来帮助主开关管实现零电压,因而它是可以零电流工作的,不会给变换器增加额外的损耗。

开关电源 电压 电流 电容 电感 变压器 电路 仿真 PWM IGBT 相关文章:
- 超低静态电流电源管理IC延长便携应用工作时间(04-14)
- 负载点降压稳压器及其稳定性检查方法(07-19)
- 电源设计小贴士 3:阻尼输入滤波器(第一部分)(01-16)
- 高效地驱动LED(04-23)
- 开关电源要降低纹波主要要在三个方面下功夫(06-24)
- 超宽输入范围工业控制电源的设计(10-15)
