基于PLC的电机反时限过流保护方案
时间:11-11
来源:互联网
点击:
为解决电机使用过程中发热和烧坏的问题,需要对电机电流进行检测,以实现对电机限流保护。结合工业企业生产的实际情况,在电机过流保护数学模型的基础上,提出了适用于PLC的电机反时限过流保护方案,给出了方案的软硬件设计。本方案的电机保护性能,已经在实际生产申得到验证。
在工业企业生产中会用到大容量的电机,由于这些电机的长时间连续工作,并且长期受企业生产环境中粉尘、电流变化等影响,电机很容易发热。如果电机不超过限定发热量,则可以安全运行,如果发热量超过限定值,且长时间持续运转,电机温度就会逐渐升高,导致电机性能降低,甚至会烧坏电机,因此对电机进行热保护就显得非常重要。电机发热的原因通常是电流超过额定值引起的,启动时的瞬间电流过高是允许的,但持续的过流必须在限定时间内降下来,否则就需要启动断电电路来保护电机。也就是说电机热保护的实质是:判定电机的过流性质。
1电机反时限过流保护器的发展趋势
反时限过流保护可以理解为保护动作时间随电机电流变化而变化。其关键点有两个:一是电机电流超过额定电流规定时间保护将被启动;二是电机电流越大保护动作时间越短。各国专家都在研究这种保护方式,最早采用常规双金属片热继电器,上世纪七、八十年代采用模拟电路设计的反时限过流保护电路,九十年代后采用功能强大的智能化仪器,现代企业是以PLC为核心的电机保护系统。常规双金属片热继电器的缺点是不可靠、不稳定,模拟电路设计的反时限过流保护电路是利用电容恒流充电设计的过流保护器,缺点是电路设计繁杂、通用性较差、电子器件多,以单片机为核心的电机保护器采样精度有了质的飞跃,PLC为核心的电机保护系统采样精度更进一步。
2建立电机反时限过流保护的数学模型
电机正常运行时电机发热量和电机散热量相等可达到热平衡,电机连续运行不会烧坏,保护电路不启动。设Ie为该电机额定电流值,在时间段t内的额定电流发热量为

在电机过载运行时,电流的大小不是恒定的,而是不同时刻实际电流的大小可能不同,过载电流的热效应随时间累积,过载热量对时间积分。因此式(1)可以表示为:

式(3)只适用于1.05≤n≤7时的热效应变化情况。实际使用中还有两种种情况,一是当

图1 反时限过流保护曲线图
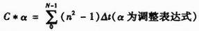
计算机只能处理离散数据,而式(3)积分形式是连续曲线,因此,将式(3)进行离散化处理整理得:

式中启动前热量累加求和的次数为N.采样时间间隔为△t,取循环中断OB38的时长100 ms.因△t很小,假设采样电流基本不变。当累积热量小于C时,清除过载闭锁,电机重新启动。
程序实现:根据行业标准,考虑热量积累快慢不同,散热速度不同,结合实际及现场的通风散热,经反复计算和测试,调整数学模型中参数C,最终为提高电机的反时限过流保护精度,确定采用:

3电机反时限过流保护方案的设计框图
本方案的主控制器选PLC,原因是其具有易扩展、故障率低、稳定性高、可靠性强等优点。
电机保护系统包括硬件和软件两部分。
硬件主要包括主控计算机、模数转换模块、控制接触器和模拟信号提取等部分。主控计算机由主控制器PLC(西门子公司的可编程逻辑控制器PLC)、键盘、鼠标、显示器构成,控制接触器由中间继电器和主接触器构成,模拟信号提取由电流互感和变送器构成,模数转换模块由外部扩展数字量输出模块DO、数字量输入模块DI和模拟量输入模块AI等构成。硬件设计框图如图2所示。

图2 硬件设计框图
软件部分采用STEP7软件的STL语言编程。
设计思路:一是测当前的电流值;二是根据电流过载倍数分段;三是计算出随实时电流变化的保护时间(根据电流过载倍数);四是按固定时间延时保护。
设计缺点:这是一个时间的累积过程,只能估计热量的变化,不能反映电机热量的实时变化(忽略了电流上升的升温过程),需经反复实验得程序流程图如图3.

图3 软件流程图
4实验结果
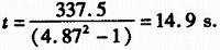
电流恒定实验:设为实际恒定电流值,当n=4.87倍时,保护时间14 s.

可见,由计算公式得出的保护时间与程序运行时的保护时间完全吻合。
电流波动实验:电流由额定值以下电流从小到大逐渐变化为7倍的额定值,持续2 s后,迅速回落为2.72倍,保护时间28s.

可见,电流动态变化时的保护时间小于计算公式算出的保护时间,电流波动时能较好的保护,体现了电机反时限过流保护程序的积分效应。
抗干扰实验:超2倍额定值时,50 s不保护,突然加以干扰时,超额定电流6倍时,电机停2 s后回到额定电流值正常工作,按时间累加立即跳闸,抗干扰实验成功。
在工业企业生产中会用到大容量的电机,由于这些电机的长时间连续工作,并且长期受企业生产环境中粉尘、电流变化等影响,电机很容易发热。如果电机不超过限定发热量,则可以安全运行,如果发热量超过限定值,且长时间持续运转,电机温度就会逐渐升高,导致电机性能降低,甚至会烧坏电机,因此对电机进行热保护就显得非常重要。电机发热的原因通常是电流超过额定值引起的,启动时的瞬间电流过高是允许的,但持续的过流必须在限定时间内降下来,否则就需要启动断电电路来保护电机。也就是说电机热保护的实质是:判定电机的过流性质。
1电机反时限过流保护器的发展趋势
反时限过流保护可以理解为保护动作时间随电机电流变化而变化。其关键点有两个:一是电机电流超过额定电流规定时间保护将被启动;二是电机电流越大保护动作时间越短。各国专家都在研究这种保护方式,最早采用常规双金属片热继电器,上世纪七、八十年代采用模拟电路设计的反时限过流保护电路,九十年代后采用功能强大的智能化仪器,现代企业是以PLC为核心的电机保护系统。常规双金属片热继电器的缺点是不可靠、不稳定,模拟电路设计的反时限过流保护电路是利用电容恒流充电设计的过流保护器,缺点是电路设计繁杂、通用性较差、电子器件多,以单片机为核心的电机保护器采样精度有了质的飞跃,PLC为核心的电机保护系统采样精度更进一步。
2建立电机反时限过流保护的数学模型
电机正常运行时电机发热量和电机散热量相等可达到热平衡,电机连续运行不会烧坏,保护电路不启动。设Ie为该电机额定电流值,在时间段t内的额定电流发热量为

在电机过载运行时,电流的大小不是恒定的,而是不同时刻实际电流的大小可能不同,过载电流的热效应随时间累积,过载热量对时间积分。因此式(1)可以表示为:

式(3)只适用于1.05≤n≤7时的热效应变化情况。实际使用中还有两种种情况,一是当

图1 反时限过流保护曲线图
计算机只能处理离散数据,而式(3)积分形式是连续曲线,因此,将式(3)进行离散化处理整理得:

式中启动前热量累加求和的次数为N.采样时间间隔为△t,取循环中断OB38的时长100 ms.因△t很小,假设采样电流基本不变。当累积热量小于C时,清除过载闭锁,电机重新启动。
程序实现:根据行业标准,考虑热量积累快慢不同,散热速度不同,结合实际及现场的通风散热,经反复计算和测试,调整数学模型中参数C,最终为提高电机的反时限过流保护精度,确定采用:

3电机反时限过流保护方案的设计框图
本方案的主控制器选PLC,原因是其具有易扩展、故障率低、稳定性高、可靠性强等优点。
电机保护系统包括硬件和软件两部分。
硬件主要包括主控计算机、模数转换模块、控制接触器和模拟信号提取等部分。主控计算机由主控制器PLC(西门子公司的可编程逻辑控制器PLC)、键盘、鼠标、显示器构成,控制接触器由中间继电器和主接触器构成,模拟信号提取由电流互感和变送器构成,模数转换模块由外部扩展数字量输出模块DO、数字量输入模块DI和模拟量输入模块AI等构成。硬件设计框图如图2所示。

图2 硬件设计框图
软件部分采用STEP7软件的STL语言编程。
设计思路:一是测当前的电流值;二是根据电流过载倍数分段;三是计算出随实时电流变化的保护时间(根据电流过载倍数);四是按固定时间延时保护。
设计缺点:这是一个时间的累积过程,只能估计热量的变化,不能反映电机热量的实时变化(忽略了电流上升的升温过程),需经反复实验得程序流程图如图3.

图3 软件流程图
4实验结果
电流恒定实验:设为实际恒定电流值,当n=4.87倍时,保护时间14 s.

可见,由计算公式得出的保护时间与程序运行时的保护时间完全吻合。
电流波动实验:电流由额定值以下电流从小到大逐渐变化为7倍的额定值,持续2 s后,迅速回落为2.72倍,保护时间28s.

可见,电流动态变化时的保护时间小于计算公式算出的保护时间,电流波动时能较好的保护,体现了电机反时限过流保护程序的积分效应。
抗干扰实验:超2倍额定值时,50 s不保护,突然加以干扰时,超额定电流6倍时,电机停2 s后回到额定电流值正常工作,按时间累加立即跳闸,抗干扰实验成功。
电流 PLC 电路 继电器 模拟电路 电容 电子 单片机 显示器 相关文章:
- 航天器DC/DC变换器的可靠性设计(02-12)
- 基于nRF2401智能小区无线抄表系统集中器设计(04-30)
- 卫星电源分系统可靠性设计与研究(02-12)
- 采用信号调理IC驱动应变片电桥传感器(05-26)
- 解密波音747飞机中的Sperry垂直陀螺仪(05-06)
- 安森美90W太阳能LED街灯高能效解决方案(05-18)
