IGBT高压大功率驱动和保护电路的设计方案
时间:10-18
来源:互联网
点击:
3.2驱动电路设计
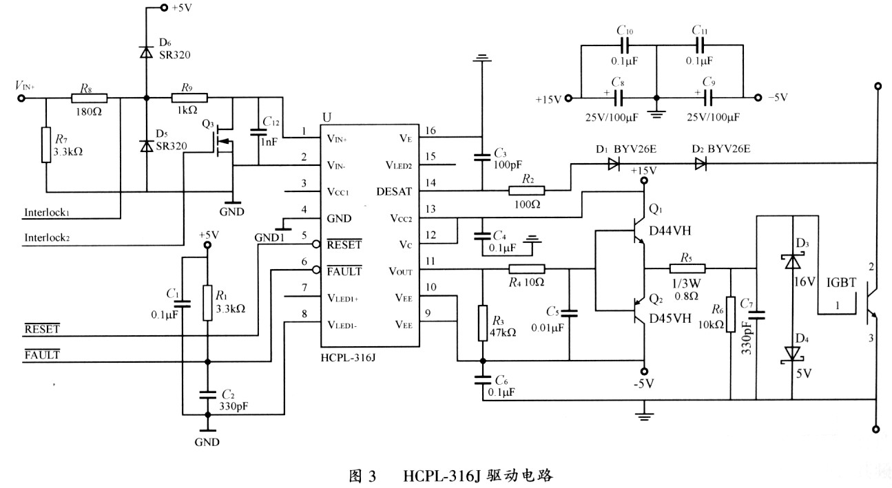
驱动电路及参数如图3所示。
在输出端,R5和C7关系到IGBT开通的快慢和开关损耗,增加C7可以明显地减小dic/dt。首先计算栅极电阻:其中ION为开通时注入IGBT的栅极电流。为使IGBT迅速开通,设计,IONMAX值为20A。输出低电平VOL=2v。可得
C3是一个非常重要的参数,最主要起充电延时作用。当系统启动,芯片开始工作时,由于IGBT的集电极C端电压还远远大于7V,若没有C3,则会错误地发出短路故障信号,使输出直接关断。当芯片正常工作以后,假使集电极电压瞬间升高,之后立刻恢复正常,若没有C3,则也会发出错误的故障信号,使IGBT误关断。但是,C3的取值过大会使系统反应变慢,而且在饱和情况下,也可能使IGBT在延时时间内就被烧坏,起不到正确的保护作用, C3取值100pF,其延时时间
在集电极检测电路用两个二极管串连,能够提高总体的反向耐压,从而能够提高驱动电压等级,但二极管的反向恢复时间要很小,且每个反向耐压等级要为1000V,一般选取BYV261E,反向恢复时间75 ns。R4和C5的作用是保留HCLP-316J出现过流信号后具有的软关断特性,其原理是C5通过内部MOSFET的放电来实现软关断。图3中输出电压VOUT经过两个快速三极管推挽输出,使驱动电流最大能达到20A,能够快速驱动1700v、200-300A的IGBT。
3.3驱动电源设计
在驱动设计中,稳定的电源是IGBT能否正常工作的保证。如图4所示。电源采用正激变换,抗干扰能力较强,副边不加滤波电感,输入阻抗低,使在重负载情况下电源输出电压仍然比较稳定。
变压器按下述参数进行设计:原边接+12v,频率为60kHz,工作磁感应强度Bw为O.15T,副边+15v输出2A,-5v输出1 A,效率n=80%,窗口填充系数Km为O.5,磁芯填充系数Kc为1,线圈导线电流密度d为3 A/mm2。则输出功率
PT=(15+O.6)×2×2+(5+O.6)×1×2=64W。
变压器磁芯参数
由于带载后驱动电源输出电压会有所下降,所以,在实际应用中考虑提高频率和占空比来稳定输出电压。
来源:OFweek电子工程网
其它内容参见:IGBT 系统设计攻略
驱动电路及参数如图3所示。
在输出端,R5和C7关系到IGBT开通的快慢和开关损耗,增加C7可以明显地减小dic/dt。首先计算栅极电阻:其中ION为开通时注入IGBT的栅极电流。为使IGBT迅速开通,设计,IONMAX值为20A。输出低电平VOL=2v。可得
C3是一个非常重要的参数,最主要起充电延时作用。当系统启动,芯片开始工作时,由于IGBT的集电极C端电压还远远大于7V,若没有C3,则会错误地发出短路故障信号,使输出直接关断。当芯片正常工作以后,假使集电极电压瞬间升高,之后立刻恢复正常,若没有C3,则也会发出错误的故障信号,使IGBT误关断。但是,C3的取值过大会使系统反应变慢,而且在饱和情况下,也可能使IGBT在延时时间内就被烧坏,起不到正确的保护作用, C3取值100pF,其延时时间
在集电极检测电路用两个二极管串连,能够提高总体的反向耐压,从而能够提高驱动电压等级,但二极管的反向恢复时间要很小,且每个反向耐压等级要为1000V,一般选取BYV261E,反向恢复时间75 ns。R4和C5的作用是保留HCLP-316J出现过流信号后具有的软关断特性,其原理是C5通过内部MOSFET的放电来实现软关断。图3中输出电压VOUT经过两个快速三极管推挽输出,使驱动电流最大能达到20A,能够快速驱动1700v、200-300A的IGBT。
3.3驱动电源设计
在驱动设计中,稳定的电源是IGBT能否正常工作的保证。如图4所示。电源采用正激变换,抗干扰能力较强,副边不加滤波电感,输入阻抗低,使在重负载情况下电源输出电压仍然比较稳定。
变压器按下述参数进行设计:原边接+12v,频率为60kHz,工作磁感应强度Bw为O.15T,副边+15v输出2A,-5v输出1 A,效率n=80%,窗口填充系数Km为O.5,磁芯填充系数Kc为1,线圈导线电流密度d为3 A/mm2。则输出功率
PT=(15+O.6)×2×2+(5+O.6)×1×2=64W。
变压器磁芯参数
由于带载后驱动电源输出电压会有所下降,所以,在实际应用中考虑提高频率和占空比来稳定输出电压。
4 结语
本文设计了一个可驱动l700v,200~300A的IGBT的驱动电路。硬件上实现了对两个IGBT(同一桥臂)的互锁,并设计了可以直接给两个IGBT供电的驱动电源。来源:OFweek电子工程网
其它内容参见:IGBT 系统设计攻略
IGBT 电力电子 MOSFET 电压 电路 电子 集成电路 电流 三极管 电阻 电感 电容 二极管 LED PWM 变压器 555 振荡器 相关文章:
- 基于DSP的工业缝纫机控制系统设计(09-23)
- 高效的500W太阳能逆变器设计(12-22)
- 直面风力发电设计挑战(12-22)
- 低压配电系统中的静止无功发生器设计(03-26)
- 永磁同步直线电机硬件在环实时仿真平台(05-11)
- 单电源供电IGBT驱动电路铁路辅助电源系统(06-11)
