UHF RFID标签电路设计
时间:12-20
来源:互联网
点击:
射频识别(RFID)市场出现强劲增长,2004年其销售额高达17亿美元,2008年预计将达到59亿美元。这种激增的需求受到来自下一代RFID系统的带动,下一代系统将会提供非视距的可读性、改进的安全性,并可以重新配置产品信息。这些应用包括了库存跟踪、处方用药跟踪和认证、汽车安全钥匙,以及安全设施的门禁控制等。在很多以前的出版物中可以找到有关RFID应用与发展良机的细节。这些功能将可能通过EPC-Global Class 1 Gen 2(即欧洲和国际上的ISO-18006标准)协议所定义的超高频(UHF)系统来实现。这些功能还将利用最新的CMOS工艺节点通过标签/阅读器的技术创新来实现,例如射频/模拟以及混合信号集成电路(IC)设计。许多新的IC要求取决于EPCGlobal Class 1 Gen 2协议,以及无源-反向散射UHF RFID标签电路中的几个关键射频模块的设计与仿真。可以采用仿真工具来研究在几个最差系统级工作条件下的关键IC的性能度量。
工作在125或134kHz低频(LF)或者13.56MHz高频(HF)范围内的电感回路无源RFID系统,其工作距离仅限于大约1m的范围。UHF RFID系统工作在860~960MHz以及2.4GHz的工业科学医疗(ISM)频段。其具有更长的工作距离,对无源标签而言典型工作范围为 3~10m。标签从阅读器的射频信号接收信息和工作能量。如果标签在阅读器的范围内,就会在标签的天线上感应出交变的射频电压。该电压经过整流后为标签提供直流(DC)电源电压。通过调制天线端口的阻抗来实现标签对阅读器的响应。这样一来,标签将信号反向散射给阅读器。
阅读器通过位速率范围在26.7至128kbps之间的双边带幅移键控(DSB-ASK)、单边带幅移键控(SSB-ASK)或者反相幅移键控(PR-ASK) 调制来实现对射频载波的调制,将信息发送给一个或多个标签。采用脉冲间隔编码(PIE)格式来实现调制。此时,数据通过对载波在不同的时间间隔进行脉冲编码来表示0或1b,并将其发送给标签。通过频带分配和数据协议的标准化,EPC-Global最先通过统一世界范围内的不同系统来降低整体成本。这一行动将采用相对廉价的CMOS技术来抵消设计新的复杂IC所产生的高昂费用。
采用更新的工艺节点预计将减少芯片面积的20%。由于涉及到数量,降低系统成本的努力主要集中在无源标签的单位成本。其目标是将成本降低一个数量级,减少到每个标签仅几美分。
无源标签的调制不同于一般的射频通信方案,这是因为阅读器的信号还为标签供电。在无源反向散射系统中,距离是通过标签可以获得的辐射功率由前向链路(阅读器到标签)来决定的。新式的Gen-2标签的设计目标是将阅读距离最大化,并同时实现与该协议的兼容。距离方程(公式1)决定了理论距离,此时标签将接收到足够的电源来对阅读器做出响应。
其中,EIRP=有效各向同性辐射功率、Ptag=标签天线输出所要求的功率、Gtag=标签天线增益、λ=射频载波的自由空间波长。
关闭阅读器电源减少了标签所获得的电源。由于该调制方案中信号在大部分时间处于其最大值,因此具有极大优势。然而这种调制效率极低。这导致相对宽的信道或低的数据速率。
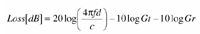
每个EPC Class 1 Gen 2指标,阅读器传输的功率高达4W EIRP。在950MHz的载波频率下,信道损耗在3m距离处是36.9dB。那么,标签天线的功率是-0.88dBm。
在这一少量的可用功率和低直流功率转换效率(整流器效率平均约为20%)下,CMOS标签电路一般工作在仅几微安电流的一伏特电压下。由于无源RFID标签必须具有低成本并节省功耗,将标签设计为采用相对简单的幅度调制(AM)技术来实现从阅读器接收信号。
UHF RFID标签模拟前端包括了几个内部模拟子模块。该模拟前端实现了DC电源、接收信号检测/解调制和发送调制等全部的模拟处理。图1中的模块图表示了典型 UHF RFID标签的模拟前端以及数字状态机。
整流器通过天线将接收到的射频能量转换为DC电源,为所有的其他模块供电。接下来是作为电压调节器的稳压器,其限制并调整了由整流器产生的电压。复位子模块提供了复位信号,来表明经过整流的电压已经达到了可靠的和规定的水平。就其本身而言,包络检测器检测并解调制阅读器的数据信号,还产生数字解调信号。环路振荡器产生用于数字状态机的时钟。调制器通过改变天线端口的负载阻抗将调制信号调制到标签天线。所有模拟前端电路通过Ansoft的Nexxim电路仿真器采用Cadence Virtuoso设计环境以及TSMC 0.18μm标准CMOS工艺库进行仿真。
为了将足够低的输入电压转换达到可能满足CMOS电路工作的电压,图2中的整流器模块采用具有倍增级联单元的级联Dickson电压倍增电路。该设计基于采用二极管连接、最小栅长PMOS晶体管的四级电荷泵作为整流器。这些PMOS晶体管的衬底端被连接到栅和漏端(反向偏置),以此来减少有效的阈值电压。通过采用 Nexxim的谐波平衡仿真进行优化,来获得该晶体管的尺寸和金属-绝缘层-金属(MIM)电容的值。整流器的输出直接提供给电压调节器。
工作在125或134kHz低频(LF)或者13.56MHz高频(HF)范围内的电感回路无源RFID系统,其工作距离仅限于大约1m的范围。UHF RFID系统工作在860~960MHz以及2.4GHz的工业科学医疗(ISM)频段。其具有更长的工作距离,对无源标签而言典型工作范围为 3~10m。标签从阅读器的射频信号接收信息和工作能量。如果标签在阅读器的范围内,就会在标签的天线上感应出交变的射频电压。该电压经过整流后为标签提供直流(DC)电源电压。通过调制天线端口的阻抗来实现标签对阅读器的响应。这样一来,标签将信号反向散射给阅读器。
阅读器通过位速率范围在26.7至128kbps之间的双边带幅移键控(DSB-ASK)、单边带幅移键控(SSB-ASK)或者反相幅移键控(PR-ASK) 调制来实现对射频载波的调制,将信息发送给一个或多个标签。采用脉冲间隔编码(PIE)格式来实现调制。此时,数据通过对载波在不同的时间间隔进行脉冲编码来表示0或1b,并将其发送给标签。通过频带分配和数据协议的标准化,EPC-Global最先通过统一世界范围内的不同系统来降低整体成本。这一行动将采用相对廉价的CMOS技术来抵消设计新的复杂IC所产生的高昂费用。
采用更新的工艺节点预计将减少芯片面积的20%。由于涉及到数量,降低系统成本的努力主要集中在无源标签的单位成本。其目标是将成本降低一个数量级,减少到每个标签仅几美分。
无源标签的调制不同于一般的射频通信方案,这是因为阅读器的信号还为标签供电。在无源反向散射系统中,距离是通过标签可以获得的辐射功率由前向链路(阅读器到标签)来决定的。新式的Gen-2标签的设计目标是将阅读距离最大化,并同时实现与该协议的兼容。距离方程(公式1)决定了理论距离,此时标签将接收到足够的电源来对阅读器做出响应。

其中,EIRP=有效各向同性辐射功率、Ptag=标签天线输出所要求的功率、Gtag=标签天线增益、λ=射频载波的自由空间波长。
关闭阅读器电源减少了标签所获得的电源。由于该调制方案中信号在大部分时间处于其最大值,因此具有极大优势。然而这种调制效率极低。这导致相对宽的信道或低的数据速率。
每个EPC Class 1 Gen 2指标,阅读器传输的功率高达4W EIRP。在950MHz的载波频率下,信道损耗在3m距离处是36.9dB。那么,标签天线的功率是-0.88dBm。

在这一少量的可用功率和低直流功率转换效率(整流器效率平均约为20%)下,CMOS标签电路一般工作在仅几微安电流的一伏特电压下。由于无源RFID标签必须具有低成本并节省功耗,将标签设计为采用相对简单的幅度调制(AM)技术来实现从阅读器接收信号。
UHF RFID标签模拟前端包括了几个内部模拟子模块。该模拟前端实现了DC电源、接收信号检测/解调制和发送调制等全部的模拟处理。图1中的模块图表示了典型 UHF RFID标签的模拟前端以及数字状态机。

整流器通过天线将接收到的射频能量转换为DC电源,为所有的其他模块供电。接下来是作为电压调节器的稳压器,其限制并调整了由整流器产生的电压。复位子模块提供了复位信号,来表明经过整流的电压已经达到了可靠的和规定的水平。就其本身而言,包络检测器检测并解调制阅读器的数据信号,还产生数字解调信号。环路振荡器产生用于数字状态机的时钟。调制器通过改变天线端口的负载阻抗将调制信号调制到标签天线。所有模拟前端电路通过Ansoft的Nexxim电路仿真器采用Cadence Virtuoso设计环境以及TSMC 0.18μm标准CMOS工艺库进行仿真。
为了将足够低的输入电压转换达到可能满足CMOS电路工作的电压,图2中的整流器模块采用具有倍增级联单元的级联Dickson电压倍增电路。该设计基于采用二极管连接、最小栅长PMOS晶体管的四级电荷泵作为整流器。这些PMOS晶体管的衬底端被连接到栅和漏端(反向偏置),以此来减少有效的阈值电压。通过采用 Nexxim的谐波平衡仿真进行优化,来获得该晶体管的尺寸和金属-绝缘层-金属(MIM)电容的值。整流器的输出直接提供给电压调节器。
射频 RFID CMOS 集成电路 电路 仿真 电感 电压 电流 模拟前端 振荡器 Cadence 二极管 电容 模拟电路 比较器 MOSFET 相关文章:
- 基于nRF2401智能小区无线抄表系统集中器设计(04-30)
- 基于nRF2401智能无线火灾监控系统设计(04-01)
- 家居安防无线监控报警系统(04-02)
- 什么是原子钟(07-04)
- 基于nRF905智能小区照明控制系统设计(08-20)
- 航天飞机将退出历史舞台,专家讲解原因(11-09)
