步进电机位移的模糊PID控制设计方案
时间:12-09
来源:互联网
点击:
1 前言
步进电机本质上是数字离散电机,直接接受数字量,将电脉冲信号转变成位移信号,即给一个脉冲信号,步进电机就转动一个角度。步进电机内部各控制变量高度非线性且相互耦合,而传统PID控制是以精确数学模型为基础的,无法有效应对系统的不确定信息,用不变的PID参数不可能达到较好的控制结果。模糊控制不需要对象的精确数学模型,对系统变化不敏感,鲁棒性好,抗干扰性强。但是由于它的模糊性,稳态精度不好。对于这种情况,可以把模糊控制和PID控制结合起来。
2 混合式步进电机数学模型
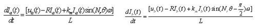
本文采用两相步进电机,在忽略互感、漏磁、磁滞、涡流、饱和等影响的情况下,我们采用可以对于一相用一等值有效RL电路绕组进行分析。
选用4拍步进方式,设以A相为基准,则B相滞后A相90电角度,则有以下电流方程:

根据力学定律可以写出电动机的机械运动方程:

其中 电机转矩, 为负载转矩, 为转动惯量, 为粘滞摩擦系数, 为转子角速度,假设负载转矩为零,则有以下微分方程:

则式(1 )、(2)式、(3)、(4)组成了两相步进电机的数学模型,从中可以看到步进电机是一个高度非线性被控对象,这就要求控制方法非常复杂,而模糊控制正好适用这一特性。
3 步进电机模糊PID设计
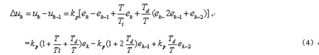
在工业控制中,PID控制是应用最广泛的模拟控制方法,用计算机对其采样进行离散化,可以实现数字PID公式

本文采用二维模糊控制系统,模糊推理输入模糊语言变量为偏差E和偏差变化率EC模糊域为[-3 3],输出为PID的三个变化增量 、 、 ,将输入模糊语言变量E .EC和输出模糊语言变量 的语言值选为都选为7个,即{负大(NB),负中(NM),负小(NS),零(Z),正小(PS),正中(PM),正大(PB)}。
设控量偏差和偏差变化率以及 、 、 的基本论域[-0.5 0.5]则可以确定量化因子和模糊因子

表1 KP模糊规则

表2 KI模糊规则

表3 KD模糊规则
模糊推理和解模糊也很重要,解模糊是根据模糊推理的结果,绘出控制量的过程,常用的方法有最大隶属度法 中位数法 加权平均法,最大隶属度具有梯形中断性不利于系统的稳定,而加权平均法有益于系统稳定,所以本文采用加权推理..

图2 步进电机模糊PID控制SIMULINK仿真模型
模糊控制器具有良好的动态特性,但是静态特性不能获得满意,而PID控制具有较高的稳态静态精度,。把PID控制引入模糊控制器中,大范围误差范围内采用模糊控制,在小范围误差换成PID控制,两者的转换由预先设置的程序控制根据误差范围自动实现。
4 仿真结果分析

在给定位置输入同样为10rad的情况下,图4最终也达到了要求,但是中间出了较大的抖动,而采用了模糊PID控制后,从图5可以看出系统响应更加迅速,并且超调量很小,过程的稳定性也大大的提高。说明采用模糊PID控制达到了控制系统的基本要求,比起单纯的PID控制确实具有优越性。
5 结束语
通过步进电机建模得到,步进电机是复杂的高度非线性系统,而本文的模糊PID控制系统,比普通的PID控制有了很大的提高,但是由于步进电机最大启动转速 的存在,造成易于失步和震荡,为了尽可能保持稳定性和的启动和停止时间,可以采用模糊自整定技术,通过改变KP的值,可以将步进电机直接启动速度和停转速度设置为一个小于 的值,这样系统的响应速度可以进一步提高。
步进电机本质上是数字离散电机,直接接受数字量,将电脉冲信号转变成位移信号,即给一个脉冲信号,步进电机就转动一个角度。步进电机内部各控制变量高度非线性且相互耦合,而传统PID控制是以精确数学模型为基础的,无法有效应对系统的不确定信息,用不变的PID参数不可能达到较好的控制结果。模糊控制不需要对象的精确数学模型,对系统变化不敏感,鲁棒性好,抗干扰性强。但是由于它的模糊性,稳态精度不好。对于这种情况,可以把模糊控制和PID控制结合起来。
2 混合式步进电机数学模型
本文采用两相步进电机,在忽略互感、漏磁、磁滞、涡流、饱和等影响的情况下,我们采用可以对于一相用一等值有效RL电路绕组进行分析。
选用4拍步进方式,设以A相为基准,则B相滞后A相90电角度,则有以下电流方程:

根据力学定律可以写出电动机的机械运动方程:

其中 电机转矩, 为负载转矩, 为转动惯量, 为粘滞摩擦系数, 为转子角速度,假设负载转矩为零,则有以下微分方程:

则式(1 )、(2)式、(3)、(4)组成了两相步进电机的数学模型,从中可以看到步进电机是一个高度非线性被控对象,这就要求控制方法非常复杂,而模糊控制正好适用这一特性。
3 步进电机模糊PID设计
在工业控制中,PID控制是应用最广泛的模拟控制方法,用计算机对其采样进行离散化,可以实现数字PID公式

本文采用二维模糊控制系统,模糊推理输入模糊语言变量为偏差E和偏差变化率EC模糊域为[-3 3],输出为PID的三个变化增量 、 、 ,将输入模糊语言变量E .EC和输出模糊语言变量 的语言值选为都选为7个,即{负大(NB),负中(NM),负小(NS),零(Z),正小(PS),正中(PM),正大(PB)}。
设控量偏差和偏差变化率以及 、 、 的基本论域[-0.5 0.5]则可以确定量化因子和模糊因子

表1 KP模糊规则

表2 KI模糊规则

表3 KD模糊规则
模糊推理和解模糊也很重要,解模糊是根据模糊推理的结果,绘出控制量的过程,常用的方法有最大隶属度法 中位数法 加权平均法,最大隶属度具有梯形中断性不利于系统的稳定,而加权平均法有益于系统稳定,所以本文采用加权推理..

图2 步进电机模糊PID控制SIMULINK仿真模型
模糊控制器具有良好的动态特性,但是静态特性不能获得满意,而PID控制具有较高的稳态静态精度,。把PID控制引入模糊控制器中,大范围误差范围内采用模糊控制,在小范围误差换成PID控制,两者的转换由预先设置的程序控制根据误差范围自动实现。
4 仿真结果分析

在给定位置输入同样为10rad的情况下,图4最终也达到了要求,但是中间出了较大的抖动,而采用了模糊PID控制后,从图5可以看出系统响应更加迅速,并且超调量很小,过程的稳定性也大大的提高。说明采用模糊PID控制达到了控制系统的基本要求,比起单纯的PID控制确实具有优越性。
5 结束语
通过步进电机建模得到,步进电机是复杂的高度非线性系统,而本文的模糊PID控制系统,比普通的PID控制有了很大的提高,但是由于步进电机最大启动转速 的存在,造成易于失步和震荡,为了尽可能保持稳定性和的启动和停止时间,可以采用模糊自整定技术,通过改变KP的值,可以将步进电机直接启动速度和停转速度设置为一个小于 的值,这样系统的响应速度可以进一步提高。
- 基于ARM与DSP的嵌入式运动控制器设计(04-25)
- 用MSP430单片机实现微波成像系统的扫描控制与数据采集(06-20)
- 基于可调式模拟激光脉冲的激光告警器在线检测仪(10-20)
- 单片机对仪表步进电机的细分控制(10-20)
- 使用L6506 实现步进电机的电流控制(12-10)
- 基于嵌入式Web服务器的智能温室监控系统(01-25)
