基于Vague集理论的数字温度控制器的设计
时间:12-06
来源:互联网
点击:
温度控制在工业应用领域占有重要的地位,对温度控制的技术水平高低直接影响到产品的质量。现在对温度控制的技术方法多种多样,有PID控制技术、模糊控制技术等。这些控制技术在实际应用中都表现出各自的技术优势,显示出对温度控制的超凡能力。模糊控制相比传统PID等控制方法,在强时变、大时滞、非线性系统中控制效果有着明显优势。然而模糊控制对隶属函数的选择具有一定的难度,不易确定。自从1993年Gau和Buehrer提出了Vague集理论(Fuzzy集理论的扩展和推广),便在模式识别、人工智能、故障诊断等领域迅速得到应用,并且取得显著成果。Vague集用一个真隶属度和一个假隶属度表示,这比Fuzzy集描述的信息容量要更大些。将Vague集理论应用于温度控制,隶属函数值是一个区间值范围,比Fuzzy集理论的隶属函数更易于确定。Vague集理论的模糊推理精度比Fuzzy集理论要精确得多。本文将Vague集理论应用于温度控制器设计中,发挥Vague集理论的优点,以简化温度控制器的设计过程。选用AT89S51单片机作为核心部件,DSl8B20数字温度传感器作为温度检测器,单片机的软件算法以Vague集理论的模糊推理方法构造实现,设计一种新型的温度控制器,并给出实验结果。
1 Vague集理论知识
定义1 设论域U={u1,u2,u3,…,un},其中元素ui(i=1,2,3,…,n)为讨论对象。U上一Vague集A由真隶属度tA和假隶属度fA所描述。其中tA(ui)是由支持ui的证

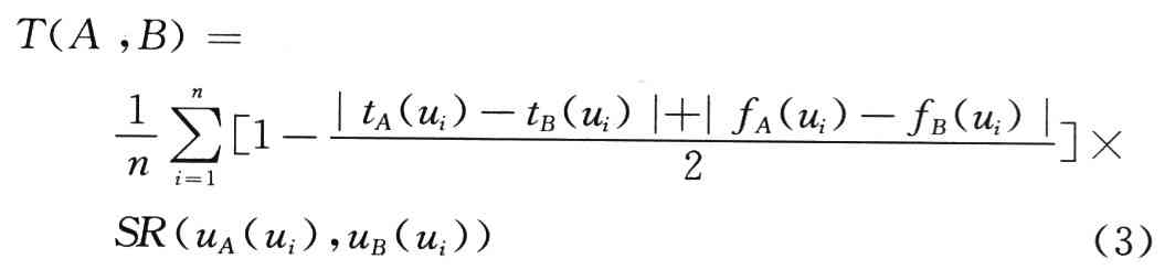
(ui)]/ui表示Vague集B中ui的隶属度值,则Vague集A和B的相似程度可由函数T进行计算:

T(A,B)∈[0,1],该值越大,说明Vague集A和B越相似。
Vague集在模式识别中,使用相似度来判别,设P1,P2,P3,…,Pn是n个Vague集,它们分别代表着n个模式。有一个待测样本B,其特征使用Vague集描述,要确定B对应属于哪一个Pi(i=1,2,3,…,n)模式,分别计算T(B,Pi),选取max{T(B,Pi)},则样本B属于对应的模式。
2 基于Vague集的控制器
2.1 温度检测值的Vague值化
使用Vague集理论设计温度控制器,关键的环节是将测量的温度精确量进行Vague值化,再利用这个Vague值和设定好的控制模式进行相似性度量,寻找匹配控制模式,选择最佳输出量以控制温度的恒定。
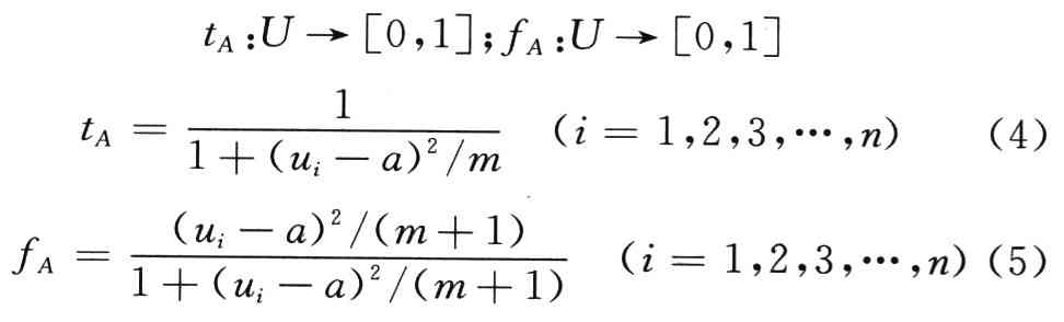
设温度检测点U为论域,U={u1,u2,u3,…,un},n为温度传感器的个数。A是论域上的一个Vague集表示检测温度与恒定温度的距离程度,那么A的真隶属度和假隶属度可由以下函数表示:

式中:a为恒定温度值;m为调节参数,用于控制系统在温度偏差较大时的输出量,以缩短系统进入稳态的时间,取值为1~4倍的恒定温度值。
为了讨论和计算方便,文中只讨论一个温度检测点,即只使用一个温度传感器检测温度。当使用2个或更多温度传感器时,将涉及模糊矩阵运算,计算量偏大,控制器的软件设计也将变得复杂。因此Vague集A为:

2.2 控制器的控制模式Vague值数据
根据温度偏差按从大到小设置12级控制模式,具体如表1所列。

表中的数据为一个检测点时,利用式(4)和(5),调节量m设定为100时,预先计算所得。如果是多个检测点,那么Vague集特征值将使用矩阵描述。控制模式级数可以任意设置,级数越大,控制效果在精度、稳定性上越好。输出量为数字量,并且是清晰量,用于控制外围的数字化电路,实现控制对象的升温或降温。因此,此种方法设计的温度控制电路无需模糊判决,结构简单,实现方便。

3 控温系统结构
3.1 硬件设计
整个系统的硬件结构如图1所示。数字温度传感器DSl8820检测温度变化,把温度的数字量输送到单片机中。单片机执行计算和进行最佳控制模式匹配,从数据存储中寻找最佳输出量。当检测到的温度和预设定的温度差值为正时,输出升温量;为负时输出降温量,使系统维持在恒定温度当中。整个系统的功能包括:数据存储、按键电路、数据显示、数据输入、控温电路。
(1)数据存储
存储电路是用来存储温控系统进行工作的温度和时间,以及Vague集控制模式数据。发生掉电时能及时保存数据,下次重启时可继续使用原有数据。使用EEFROM芯片作为存储器。
(2)按键电路
按键电路设置4个按键,分别是设置键、确定键、数据加和数据减键,主要是用来设置和修改控制的温度值。
(3)数据显示
使用Ampire 128×64液晶显示器件作为控制系统的数据显示器。它可以显示中文信息,方便系统的操作。Ampire 128×64和51系列单片机的连接很简单,不需要其他的驱动元件。
(4)数据输入
温度值检测由数字温度传感器DSl8820获取,所得数据为数字量,不需要转换电路。DSl8820的数据
1 Vague集理论知识
定义1 设论域U={u1,u2,u3,…,un},其中元素ui(i=1,2,3,…,n)为讨论对象。U上一Vague集A由真隶属度tA和假隶属度fA所描述。其中tA(ui)是由支持ui的证

(ui)]/ui表示Vague集B中ui的隶属度值,则Vague集A和B的相似程度可由函数T进行计算:

T(A,B)∈[0,1],该值越大,说明Vague集A和B越相似。
Vague集在模式识别中,使用相似度来判别,设P1,P2,P3,…,Pn是n个Vague集,它们分别代表着n个模式。有一个待测样本B,其特征使用Vague集描述,要确定B对应属于哪一个Pi(i=1,2,3,…,n)模式,分别计算T(B,Pi),选取max{T(B,Pi)},则样本B属于对应的模式。
2 基于Vague集的控制器
2.1 温度检测值的Vague值化
使用Vague集理论设计温度控制器,关键的环节是将测量的温度精确量进行Vague值化,再利用这个Vague值和设定好的控制模式进行相似性度量,寻找匹配控制模式,选择最佳输出量以控制温度的恒定。
设温度检测点U为论域,U={u1,u2,u3,…,un},n为温度传感器的个数。A是论域上的一个Vague集表示检测温度与恒定温度的距离程度,那么A的真隶属度和假隶属度可由以下函数表示:

式中:a为恒定温度值;m为调节参数,用于控制系统在温度偏差较大时的输出量,以缩短系统进入稳态的时间,取值为1~4倍的恒定温度值。
为了讨论和计算方便,文中只讨论一个温度检测点,即只使用一个温度传感器检测温度。当使用2个或更多温度传感器时,将涉及模糊矩阵运算,计算量偏大,控制器的软件设计也将变得复杂。因此Vague集A为:

2.2 控制器的控制模式Vague值数据
根据温度偏差按从大到小设置12级控制模式,具体如表1所列。

表中的数据为一个检测点时,利用式(4)和(5),调节量m设定为100时,预先计算所得。如果是多个检测点,那么Vague集特征值将使用矩阵描述。控制模式级数可以任意设置,级数越大,控制效果在精度、稳定性上越好。输出量为数字量,并且是清晰量,用于控制外围的数字化电路,实现控制对象的升温或降温。因此,此种方法设计的温度控制电路无需模糊判决,结构简单,实现方便。

3 控温系统结构
3.1 硬件设计
整个系统的硬件结构如图1所示。数字温度传感器DSl8820检测温度变化,把温度的数字量输送到单片机中。单片机执行计算和进行最佳控制模式匹配,从数据存储中寻找最佳输出量。当检测到的温度和预设定的温度差值为正时,输出升温量;为负时输出降温量,使系统维持在恒定温度当中。整个系统的功能包括:数据存储、按键电路、数据显示、数据输入、控温电路。
(1)数据存储
存储电路是用来存储温控系统进行工作的温度和时间,以及Vague集控制模式数据。发生掉电时能及时保存数据,下次重启时可继续使用原有数据。使用EEFROM芯片作为存储器。
(2)按键电路
按键电路设置4个按键,分别是设置键、确定键、数据加和数据减键,主要是用来设置和修改控制的温度值。
(3)数据显示
使用Ampire 128×64液晶显示器件作为控制系统的数据显示器。它可以显示中文信息,方便系统的操作。Ampire 128×64和51系列单片机的连接很简单,不需要其他的驱动元件。
(4)数据输入
温度值检测由数字温度传感器DSl8820获取,所得数据为数字量,不需要转换电路。DSl8820的数据
单片机 传感器 温度传感器 电路 显示器 电阻 可控硅 51单片机 相关文章:
- 基于nRF2401智能无线火灾监控系统设计(04-01)
- 家居安防无线监控报警系统(04-02)
- 高精度压力测控系统的试验研究(04-08)
- 提高实时系统数据采集质量的研究(04-09)
- 基于MSP430的低功耗便携式测温仪设计(06-18)
- 以超低功耗微处理器MSP430为核心的热计量表设计(06-18)
