在线传感器突变信号的检测与区分技术
时间:12-06
来源:互联网
点击:
为了准确区分传感器突变信号产生的原因,提出了基于数学模型的小波频带分析法.针对工业流程中的测控系统,分析了输出突变信号的频率组成与突变原因的关系.用小波频带分析技术,将高低频信号分离,并进行能量统计,根据高低频信号能量比例的变化,判断出突变信号产生的原因.经典型控制系统的计算机仿真和恒压供水系统实验结果表明,该方法能够有效地诊断出传感器是否发生故障.
在测控系统中,传感器的输出信号受多种因素的影响,常发生突变.这些突变点数值包含有重要的故障信息,准确捕捉并区分导致这些突变点产生的原因,是传感器故障诊断的关键.文献仅依赖于传感器的输出时间序列来诊断传感器的故障,把传感器输出信号的突变都归结于传感器的故障.文献的做法是对控制系统的输入和输出信号分别进行小波变换,当小波函数可看作某一平滑函数的一阶导数时,信号的突变点对应于其小波变换的模极大值,由此检测突变点,并产生残差序列和分析传感器故障,并认为传感器输出信号的突变是由于传感器的故障或系统输入信号的突变引起的.事实上,引起传感器输出信号突变的原因很多,除了系统输入突变和传感器本身的故障之外,还有过程扰动、执行器故障、控制器故障、被控对象及外部电磁场干扰等.在实际应用中,上述传感器故障诊断方法具有一定的局限性.通常,在工业过程控制中,被控对象的时间常数较大,不能响应突变信号中的高频分量.作者基于小波变换的频带分析技术,探讨分析导致传感器输出信号发生突变的原因,为在线传感器的故障诊断与性能评估提供一种实用的分析方法.
1 突变信号的产生及特征分析
典型控制系统一般由控制器(Gc(s))、执行器(Gv(s))、被控对象(Go(g),Gd(s))和传感器((Gm(s))4个部分组成,其框图如图l所示.

图中X(s)为传感器输出(即控制系统被控参数的测量值).
一般工业过程中的大多数被控对象动态特性的时间常数较大,为了保证快速不失真地检测其输出信号,传感器动态特性的时间常数相对较小.
系统(传感器)的突变信号是指其输出幅值和频率突然以较大的速率增大或减小,且二者相互依从.
1.1由输入R(s)引起的突变
在图1中,设

其对数频率特性曲线如图2所示.
由曲线可得该组合环节的截止频率ωc≈1 Hz.
曲线高频段(ω>100ωc的区段)的特性由Gc(s),Gv(s),Go(s)中较小的时间常数决定,由于远离ωc,且以较大的斜率向-∞dB方向衰减,反映出该组合环节的低通滤波特性,形成了系统对输入信号中的高频分量不能响应的特点.高频段的特点对系统瞬态性能影响较小,但反映时域响应不可能阶跃变化。因而有延迟时间存在.高频段直接反映了系统对输入信号中的高频分量的抑制能力,其分贝值越低,抑制能力越强.
由于一般工业对象的时间常数To普遍较大,使得截止频率ωc较小,因而在输入R(s)突变时,对象输出Xo(s)及传感器输出X(s)的响应突变信号的频率分布较低,且频带较窄.
1.2 由控制器、执行器的故障及过程扰动的突变引起的突变
用同样的分析方法,可以得出同样的结论:由控制器、执行器的故障及过程扰动的突变引起的输出响应突变信号的频率分布较低,频带较窄.
1.3 由外部强电磁场干扰引起的突变
一般认为,传感器能够抗各种高频电子(无线电,这里不予考虑)干扰.外部强电磁场干扰一般不会引起被控对象输出Xo(s)的变化,它常常通过电路耦合,直接引起传感器输出信号X(s)变化,而且一般是脉冲信号.
1.4 由传感器故障引起的突变
传感器故障分为突发型故障(abrupt)和缓变型故障(incipient),作者仅对突发型故障进行分析.传感器突发型故障主要有:偏差型故障、脉冲型故障、漂移型故障和周期型故障,不论那种突发型故障,都将直接导致传感器输出信号X(s)的突变.由于这些突发型故障是由于传感器内部元部件参数的突变引起,输出X(s)响应突变信号的频带较宽,不仅包含由低频分量,还有一定的高频分量,这是区别于由输入信号突变、控制器故障、执行器的故障及过程扰动的突变引起的传感器输出X(s)响应突变信号的显著特点,是本文中区分突变原因及进行传感器故障诊断的理论依据.
1.5 被控对象故障引起的突变
被控对象发生故障时,突变信号的频谱与传感器的输入频带密切相关,当传感器的输入频带较宽时,突变信号中将含有高频分量,但一般工业过程中使用的传感器输入频带较窄,突变信号中一般不含高频分量.各种突变原因及其信号特征见表1.

2 基于小波变换的频带分析
狭义的小波分析仅指多分辨率分析,广义的小波分析则包括多分辨率分析和小波包分析两部分,它们的关系如图3所示.

图3中粗实线部分为多分辨率分解过程,小波包分解是小波变换的多分辨率分解的推广,多分辨率分解只将尺度空间V进行了分解,即

而小波包分解将多分辨率分解中未分解的小波空间Wj进一步分解.因为小波空间划分对应着频带划分,所以小波包分解可获得更高的频率分辨率.通常的频带分析大多是基于小波包分析的,但它在提高频率分辨率的同时,算法的复杂度也加大.作者从实际问题的需要出发,选择了基于多分辨率分析的方法,可以满足要求.
2.1频带分析方法
设信号X(t)的频带宽度为[0,f],分解层数为N,则多分辨率分解后,各空间对应的信号频率范围

对不同频带内的信号分析的方法.通常可以根据感兴趣的信号频率范围,将信号在一定的尺度上分解,从而提取相应频带内的信息.若是对各频带内的信号的能量进行统计分析,形成反映信号能量的特征向量,称之为频带的能量分析.
2.2小波频带与能量积分
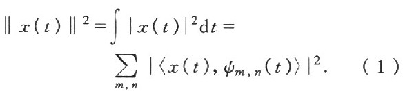
小波频带分析技术的理论依据是Parseval能量积分等式,对于离散正交小波变换,Parseval等式为

式中:x(t)为待分析的信号;<x(t),ψm,n(t)>为小波变换系数.式(1)将信号时域的能量和小波展开域的能量对应起来,这样就可以根据各频带内的小波系数变化研究信号x(t)的组成频率的变化.
2.3分析步骤
根据表1中的分析结果,基于多分辨率分析的能带分析实现如下:
①利用系统数学模型的先验知识,确定对象的截止频率ωc,以0~10ωc作为系统带宽;
②确定合适的采样频率,保证电磁干扰信号能被采集到,若采样频率为f,则分析频率

③确定合适的小波分解层数N,使得0~lOωc正好包括在低频空间VN内,并把整个分析空间分成相对的低频空间和高频空间,除系统带宽所在的低频空间VN外,其余空间WN,WN-1,Wl合并为高频空间;
④选择合适的小波函数进行多分辨率分解,将分解所得的小波系数,按照式(1)计算相应空间(频带)内信号的能量,形成表征空间中信号能量的二维向量e=[e1,e2],其中e1表示低频信号的能量,e2表示高频信号的能量;
⑤把表征空间能量的二维向量e=[e1,e2]归一化处理,即

进行特征分析.e01代表低频信号的能量与总能量之比,e02代表高频信号的能量与总能量之比.
3 仿真分析
作者对图1所示的典型系统进行了仿真实验,在正常工作状态时,Gc(s),Gv(s),Go(s)的取值同前,

在系统稳定的不同时刻,分别使R(s),D1(s)发生单位阶跃变化;D2(s)由0变为幅值为1的脉冲信号或0.2sin100πt的周期信号;对象和传感器的特性传函在正常值与故障值之间切换,以模拟引起输出信号突变的5种原因、6种形式,并采集各突变过程的数据.不论那种原因引起的信号突变,其高频信号分量瞬间产生,很快消失.所以在采集到的信号的总能量中,高频分量占的比率较小,为了提高检测的灵敏度,对采集到的数据进行了去“直流”处理,即把采样数据与信号突变前10点的平均值相减.另外在采样数据中加入了方差为0.003的零均值白噪声.系统的采样频率f=200Hz,分析频率fo=100 Hz,选用了db4小波对信号进行了3层分解,这样低频空间的信号频率范围是0~12.5 Hz,高频空间的信号频率范围是12.5~100 Hz,并对分析所得的高频系数进行了硬阈值去噪处理,然后按照式(1)进行了能量比统计,结果见表2.
表2中,外部电磁场干扰引起的突变信号的低频分量的比例较小,其原因是去“直流”的结果;被控对象故障引起的突变信号的高频分量的比很小,其原因是由于本仿真中采用的传感器的输入频带也只有十几Hz.表2的仿真结果与表l的理论分析结果的一致性,说明了本方法的有效性.

4 实验研究
以某恒压供水系统进行实验研究,如图4所示,压力传感器为LDG-S型.经测试,广义对象的传递函数G(s)=l/(0.22s+1).调节器参数设定值:比例度P=142%,积分时间ti=3 s,微分时间td=2 s,由此可估计出低频段频率小于4 Hz.在系统稳定的不同时刻,调整给定值以模拟给定输入突变信号,调整零点以模拟传感器恒偏差故障,调整调节器比例度以模拟调节器故障,频繁启停周围电机以模拟电磁场引起的传感器输出突变,采集各种情况下的实验数据.系统的采样频率f=128 Hz,分析频率fo=64 Hz,选用db4小波对信号进行了4层分解,这样低频空间的信号频率范围是0~4 Hz,高频空间的信号频率范围是4~64 Hz,并对分析所得的高频系数进行了硬阈值去噪处理,然后按照式(1)进行能量比统计,结果见表3.由表3可知,实验结果与表2的仿真结果和表1的理论分析结果相一致,说明了本方法的有效性.

5 结论
传感器输出的突变信号包含着很重要的故障信息,突变原因不同,突变信号的频率组成不同.对于时间常数较大的被控对象,通常由给定输入变化、干扰变化、控制器故障及执行器故障引起的传感器突变信号中,一般只有低频成份.被控对象故障引起的突变信号中,一般也只有低频成份.由外部电磁场干扰引起的突变信号一般为脉冲信号,包含低频成份和较多的高频成份.由传感器偏差故障的突变信号中,除含有低频成份外,还含有少量的高频分量.
本文中提出的基于系统数学模型的小波频带分析方法,对数学模型的精度要求不高,能够有效地诊断出传感器的故障,为传感器的故障检测与性能评估提供了新的思路.
在测控系统中,传感器的输出信号受多种因素的影响,常发生突变.这些突变点数值包含有重要的故障信息,准确捕捉并区分导致这些突变点产生的原因,是传感器故障诊断的关键.文献仅依赖于传感器的输出时间序列来诊断传感器的故障,把传感器输出信号的突变都归结于传感器的故障.文献的做法是对控制系统的输入和输出信号分别进行小波变换,当小波函数可看作某一平滑函数的一阶导数时,信号的突变点对应于其小波变换的模极大值,由此检测突变点,并产生残差序列和分析传感器故障,并认为传感器输出信号的突变是由于传感器的故障或系统输入信号的突变引起的.事实上,引起传感器输出信号突变的原因很多,除了系统输入突变和传感器本身的故障之外,还有过程扰动、执行器故障、控制器故障、被控对象及外部电磁场干扰等.在实际应用中,上述传感器故障诊断方法具有一定的局限性.通常,在工业过程控制中,被控对象的时间常数较大,不能响应突变信号中的高频分量.作者基于小波变换的频带分析技术,探讨分析导致传感器输出信号发生突变的原因,为在线传感器的故障诊断与性能评估提供一种实用的分析方法.
1 突变信号的产生及特征分析
典型控制系统一般由控制器(Gc(s))、执行器(Gv(s))、被控对象(Go(g),Gd(s))和传感器((Gm(s))4个部分组成,其框图如图l所示.

图中X(s)为传感器输出(即控制系统被控参数的测量值).
一般工业过程中的大多数被控对象动态特性的时间常数较大,为了保证快速不失真地检测其输出信号,传感器动态特性的时间常数相对较小.
系统(传感器)的突变信号是指其输出幅值和频率突然以较大的速率增大或减小,且二者相互依从.
1.1由输入R(s)引起的突变
在图1中,设

其对数频率特性曲线如图2所示.
由曲线可得该组合环节的截止频率ωc≈1 Hz.
曲线高频段(ω>100ωc的区段)的特性由Gc(s),Gv(s),Go(s)中较小的时间常数决定,由于远离ωc,且以较大的斜率向-∞dB方向衰减,反映出该组合环节的低通滤波特性,形成了系统对输入信号中的高频分量不能响应的特点.高频段的特点对系统瞬态性能影响较小,但反映时域响应不可能阶跃变化。因而有延迟时间存在.高频段直接反映了系统对输入信号中的高频分量的抑制能力,其分贝值越低,抑制能力越强.
由于一般工业对象的时间常数To普遍较大,使得截止频率ωc较小,因而在输入R(s)突变时,对象输出Xo(s)及传感器输出X(s)的响应突变信号的频率分布较低,且频带较窄.
1.2 由控制器、执行器的故障及过程扰动的突变引起的突变
用同样的分析方法,可以得出同样的结论:由控制器、执行器的故障及过程扰动的突变引起的输出响应突变信号的频率分布较低,频带较窄.
1.3 由外部强电磁场干扰引起的突变
一般认为,传感器能够抗各种高频电子(无线电,这里不予考虑)干扰.外部强电磁场干扰一般不会引起被控对象输出Xo(s)的变化,它常常通过电路耦合,直接引起传感器输出信号X(s)变化,而且一般是脉冲信号.
1.4 由传感器故障引起的突变
传感器故障分为突发型故障(abrupt)和缓变型故障(incipient),作者仅对突发型故障进行分析.传感器突发型故障主要有:偏差型故障、脉冲型故障、漂移型故障和周期型故障,不论那种突发型故障,都将直接导致传感器输出信号X(s)的突变.由于这些突发型故障是由于传感器内部元部件参数的突变引起,输出X(s)响应突变信号的频带较宽,不仅包含由低频分量,还有一定的高频分量,这是区别于由输入信号突变、控制器故障、执行器的故障及过程扰动的突变引起的传感器输出X(s)响应突变信号的显著特点,是本文中区分突变原因及进行传感器故障诊断的理论依据.
1.5 被控对象故障引起的突变
被控对象发生故障时,突变信号的频谱与传感器的输入频带密切相关,当传感器的输入频带较宽时,突变信号中将含有高频分量,但一般工业过程中使用的传感器输入频带较窄,突变信号中一般不含高频分量.各种突变原因及其信号特征见表1.

2 基于小波变换的频带分析
狭义的小波分析仅指多分辨率分析,广义的小波分析则包括多分辨率分析和小波包分析两部分,它们的关系如图3所示.

图3中粗实线部分为多分辨率分解过程,小波包分解是小波变换的多分辨率分解的推广,多分辨率分解只将尺度空间V进行了分解,即

而小波包分解将多分辨率分解中未分解的小波空间Wj进一步分解.因为小波空间划分对应着频带划分,所以小波包分解可获得更高的频率分辨率.通常的频带分析大多是基于小波包分析的,但它在提高频率分辨率的同时,算法的复杂度也加大.作者从实际问题的需要出发,选择了基于多分辨率分析的方法,可以满足要求.
2.1频带分析方法
设信号X(t)的频带宽度为[0,f],分解层数为N,则多分辨率分解后,各空间对应的信号频率范围

对不同频带内的信号分析的方法.通常可以根据感兴趣的信号频率范围,将信号在一定的尺度上分解,从而提取相应频带内的信息.若是对各频带内的信号的能量进行统计分析,形成反映信号能量的特征向量,称之为频带的能量分析.
2.2小波频带与能量积分
小波频带分析技术的理论依据是Parseval能量积分等式,对于离散正交小波变换,Parseval等式为

式中:x(t)为待分析的信号;<x(t),ψm,n(t)>为小波变换系数.式(1)将信号时域的能量和小波展开域的能量对应起来,这样就可以根据各频带内的小波系数变化研究信号x(t)的组成频率的变化.
2.3分析步骤
根据表1中的分析结果,基于多分辨率分析的能带分析实现如下:
①利用系统数学模型的先验知识,确定对象的截止频率ωc,以0~10ωc作为系统带宽;
②确定合适的采样频率,保证电磁干扰信号能被采集到,若采样频率为f,则分析频率

③确定合适的小波分解层数N,使得0~lOωc正好包括在低频空间VN内,并把整个分析空间分成相对的低频空间和高频空间,除系统带宽所在的低频空间VN外,其余空间WN,WN-1,Wl合并为高频空间;
④选择合适的小波函数进行多分辨率分解,将分解所得的小波系数,按照式(1)计算相应空间(频带)内信号的能量,形成表征空间中信号能量的二维向量e=[e1,e2],其中e1表示低频信号的能量,e2表示高频信号的能量;
⑤把表征空间能量的二维向量e=[e1,e2]归一化处理,即

进行特征分析.e01代表低频信号的能量与总能量之比,e02代表高频信号的能量与总能量之比.
3 仿真分析
作者对图1所示的典型系统进行了仿真实验,在正常工作状态时,Gc(s),Gv(s),Go(s)的取值同前,

在系统稳定的不同时刻,分别使R(s),D1(s)发生单位阶跃变化;D2(s)由0变为幅值为1的脉冲信号或0.2sin100πt的周期信号;对象和传感器的特性传函在正常值与故障值之间切换,以模拟引起输出信号突变的5种原因、6种形式,并采集各突变过程的数据.不论那种原因引起的信号突变,其高频信号分量瞬间产生,很快消失.所以在采集到的信号的总能量中,高频分量占的比率较小,为了提高检测的灵敏度,对采集到的数据进行了去“直流”处理,即把采样数据与信号突变前10点的平均值相减.另外在采样数据中加入了方差为0.003的零均值白噪声.系统的采样频率f=200Hz,分析频率fo=100 Hz,选用了db4小波对信号进行了3层分解,这样低频空间的信号频率范围是0~12.5 Hz,高频空间的信号频率范围是12.5~100 Hz,并对分析所得的高频系数进行了硬阈值去噪处理,然后按照式(1)进行了能量比统计,结果见表2.
表2中,外部电磁场干扰引起的突变信号的低频分量的比例较小,其原因是去“直流”的结果;被控对象故障引起的突变信号的高频分量的比很小,其原因是由于本仿真中采用的传感器的输入频带也只有十几Hz.表2的仿真结果与表l的理论分析结果的一致性,说明了本方法的有效性.

4 实验研究
以某恒压供水系统进行实验研究,如图4所示,压力传感器为LDG-S型.经测试,广义对象的传递函数G(s)=l/(0.22s+1).调节器参数设定值:比例度P=142%,积分时间ti=3 s,微分时间td=2 s,由此可估计出低频段频率小于4 Hz.在系统稳定的不同时刻,调整给定值以模拟给定输入突变信号,调整零点以模拟传感器恒偏差故障,调整调节器比例度以模拟调节器故障,频繁启停周围电机以模拟电磁场引起的传感器输出突变,采集各种情况下的实验数据.系统的采样频率f=128 Hz,分析频率fo=64 Hz,选用db4小波对信号进行了4层分解,这样低频空间的信号频率范围是0~4 Hz,高频空间的信号频率范围是4~64 Hz,并对分析所得的高频系数进行了硬阈值去噪处理,然后按照式(1)进行能量比统计,结果见表3.由表3可知,实验结果与表2的仿真结果和表1的理论分析结果相一致,说明了本方法的有效性.

5 结论
传感器输出的突变信号包含着很重要的故障信息,突变原因不同,突变信号的频率组成不同.对于时间常数较大的被控对象,通常由给定输入变化、干扰变化、控制器故障及执行器故障引起的传感器突变信号中,一般只有低频成份.被控对象故障引起的突变信号中,一般也只有低频成份.由外部电磁场干扰引起的突变信号一般为脉冲信号,包含低频成份和较多的高频成份.由传感器偏差故障的突变信号中,除含有低频成份外,还含有少量的高频分量.
本文中提出的基于系统数学模型的小波频带分析方法,对数学模型的精度要求不高,能够有效地诊断出传感器的故障,为传感器的故障检测与性能评估提供了新的思路.
- 多核及虚拟化技术在工业和安全领域的应用(05-23)
- 基于ARM核的AT75C220及其在指纹识别系统中的应用(05-24)
- 基于音频信号的轴承故障诊断方法(03-17)
- 采用信号调理IC驱动应变片电桥传感器(05-26)
- 基于nRF2401智能无线火灾监控系统设计(04-01)
- 家居安防无线监控报警系统(04-02)
