基于铂RTD电路使用很少的元件来提供高性能
时间:12-06
来源:互联网
点击:
RTD传感器的标准使用方式是把它包含在后接一个差分放大器的桥路中。问题在于,两个非线性因素(一个来自传感器,一个来自桥路)会影响传递函数。一些方法试图避免这个问题,但它们往往既庞大又昂贵(参考文献1、参考文献2、参考文献3)。某种备选电路建议只给差分放大器添加一个额外电阻,但它既未提供设计指导原则,也未提供结果(参考文献4)。本设计实例填补了这个空白。虽然电路分析有些复杂,但性能很好,并且该电路使用的元件很少。

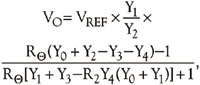
除了铂RTD(R?Θ)以外,该电路只有6个精密电阻、1个运算放大器、1个电压参考(图1)。R4是差分放大器的额外电阻,向传感器交付额外电流,它与正在测量的温度有关。借助恰当设计,该电路可在多种输入温度提供良好的线性和稳定性。输出电压VO按以下方式依赖于电路元件:
其中YI=1/RI,I=0 至 4。
对于正温度,以下形式的二次多项式可近似表示RTD特性:
其中R0是0℃时的传感器电阻,α和β是系数,Θ是被测温度。首先替换第二个方程,并做一些变换后,得到:

其中B、C、K是常数,f(Θ)是温度的函数。图2描绘了f(Θ)的一般形状。当f(Θ)尽可能接近于常数时,输出电压以线性关系依赖于温度。这种情况在f(Θ)的极小点周围最正确。一些额外的关系规定输出电压在0℃时为0V,转换系数为10 mV/℃,函数f(Θ)的最小值在测量范围中心,流过RΘ的电流导致的传感器自热可忽略不计。

图3描绘了符合这些要求的电路。传感器为DIN-IEC 751铂RTD。Microsoft Excel软件从该RTD的校准表拟合了13个点,范围是0至600℃,步长为50℃。该电子数据表软件确定R0的值为100Ω,α的值为3.908×10–3(℃)–1,β的值为5.801×10–7℃–2,R2因子为1。



电路所有电阻的公差为0.02%,温度系数为50 ppm/℃。可使用两个微调电位器VR1和VR2来独立调节0读数和范围读数。应该在550℃执行范围调节,以便匹配正误差和负误差的大小。在不超过基本非线性的前提下,还可扩展温度范围,使它不从0℃开始,而是从–100℃开始。通往传感器的三引线连接明显减轻了连接电缆电阻RC对准确度的影响。

表1描述了该电路性能的评估结果,采用了校准的精密十进制电阻、校准的4.5位万用表(读数环境温度为24℃和68℃)、±12/±15/±18V电源、0/5Ω电缆电阻。

除了铂RTD(R?Θ)以外,该电路只有6个精密电阻、1个运算放大器、1个电压参考(图1)。R4是差分放大器的额外电阻,向传感器交付额外电流,它与正在测量的温度有关。借助恰当设计,该电路可在多种输入温度提供良好的线性和稳定性。输出电压VO按以下方式依赖于电路元件:
其中YI=1/RI,I=0 至 4。
对于正温度,以下形式的二次多项式可近似表示RTD特性:
其中R0是0℃时的传感器电阻,α和β是系数,Θ是被测温度。首先替换第二个方程,并做一些变换后,得到:

其中B、C、K是常数,f(Θ)是温度的函数。图2描绘了f(Θ)的一般形状。当f(Θ)尽可能接近于常数时,输出电压以线性关系依赖于温度。这种情况在f(Θ)的极小点周围最正确。一些额外的关系规定输出电压在0℃时为0V,转换系数为10 mV/℃,函数f(Θ)的最小值在测量范围中心,流过RΘ的电流导致的传感器自热可忽略不计。

图3描绘了符合这些要求的电路。传感器为DIN-IEC 751铂RTD。Microsoft Excel软件从该RTD的校准表拟合了13个点,范围是0至600℃,步长为50℃。该电子数据表软件确定R0的值为100Ω,α的值为3.908×10–3(℃)–1,β的值为5.801×10–7℃–2,R2因子为1。



电路所有电阻的公差为0.02%,温度系数为50 ppm/℃。可使用两个微调电位器VR1和VR2来独立调节0读数和范围读数。应该在550℃执行范围调节,以便匹配正误差和负误差的大小。在不超过基本非线性的前提下,还可扩展温度范围,使它不从0℃开始,而是从–100℃开始。通往传感器的三引线连接明显减轻了连接电缆电阻RC对准确度的影响。

表1描述了该电路性能的评估结果,采用了校准的精密十进制电阻、校准的4.5位万用表(读数环境温度为24℃和68℃)、±12/±15/±18V电源、0/5Ω电缆电阻。
传感器 放大器 电路 电阻 运算放大器 电压 电流 电子 万用表 相关文章:
- 多核及虚拟化技术在工业和安全领域的应用(05-23)
- 基于ARM核的AT75C220及其在指纹识别系统中的应用(05-24)
- 基于音频信号的轴承故障诊断方法(03-17)
- 采用信号调理IC驱动应变片电桥传感器(05-26)
- 基于nRF2401智能无线火灾监控系统设计(04-01)
- 家居安防无线监控报警系统(04-02)
