单相电机变频调速技术综述
时间:12-04
来源:互联网
点击:
单相电机变频调速具有相当的实际意义。依据其调速的基本理论,就其常用的功率主电路部分和控制方案进行了详细的分析和综述,讨论了目前研究工作中存在的问题,并对其发展的方向进行了展望,给出了一些个人的观点。
变频调速技术在异步感应电机调速系统中,以其优异的调速和启动性能、高功率因数和节电效果,而被公认为最具发展前途的调速手段。
只有两套绕组的单相交流异步电动机,结构简单,生产成本低廉,使用维护方便,在小功率电机应用方面,如电冰箱、洗衣机、电风扇、空调等家用电器,汽车附件等领域占据主导地位。但是其工作效率低,仅为60%~70%,运行性能差,启动转矩小,一般不能应用在需要调速的场合,其转速的调节主要采用调节端电压和改变电机极对数的方法,调速效果已经越来越不能满足生产和生活的需要。为了弥补单相电机调速方面的缺陷,追求更高的性能,人们把更多的目光投向了无刷直流电机、永磁同步电机和开关磁阻电机等。尽管这些电机在工作效率、稳定性和出力等方面表现出众,然而他们共同的致命缺点就是成本太高,难以普及。随着变频调速技术的日渐成熟,其在单相电机中应用的研究也逐渐开展起来。

尽管三相电机的变频调速技术已经日渐成熟,但是,单相电机的变频调速技术却还面临着以下一些问题:
1)单相电机的绕组不同于三相电机,其主副绕组多为不对称绕组,副绕组通常串联了运转电容,给合成圆形旋转磁场带来新的问题;
2)单相电机用的变频调速逆变主电路结构同样有其独特的一面,存在如何获得合理,高效的逆变电路的问题;
3)针对单相电机变频调速,存在采用什么样的控制技术,才能使得单相电机获得与三相电机,甚至与直流电机一样优良的调速效果的问题。
本文将主要依据以上3个问题,就单相电机绕组,主电路结构及其控制技术,对国内外单相电机变频调速技术的最新发展进行了较为详细的分析和综述,并在此基础上对其发展方向加以探讨。
1 单相电机绕组分析
根据单相电机合成磁场的分析,单相电机的定子上嵌放有两相绕组,设两相绕组轴线在空间相距β电角度,两相绕组中通入相位差为θ的电流,两相合成圆形旋转磁势的条件是

式中:FM为主绕组磁势幅值;
FA为副绕组磁势幅值。
在单相电机中,定子两相绕组轴线通常相距90%26;#176;,为了获得圆形旋转磁势,总希望两相电流相位差等于90%26;#176;。
参考文献给出了不对称绕组单相电机的等效电路,依据此等效电路,当空间电角度β和相位差θ均为90%26;#176;时,电机在以下条件下满足圆形旋转磁场的要求,获得最佳性能:

式中:Imain为主绕组电流;
Iaux为副绕组电流;
a为副绕组与主绕组之间的匝数比。
继而得出Imain=αIaux。
实际上,在电机的运行过程中,时刻保持主副绕组电流比值恒定相当困难,通常以Vaux=aVmain来近似实现电流比值的恒定。
单相电机多为电容运转式电动机,副绕组中串联的电容值,在工频条件下能使电机获得较好的运行性能。当电机运行在低频时,随着电容容抗的增大,副绕组中流过的电流相位与主绕组不再成正交关系,于是电机出现过热,转矩降低,脉动转矩增大等问题。所以,目前采用的变频电路均采用去掉电容,两相绕组分别控制的方案。但是,去除电容也就意味着要增大加在副绕组上的电压值。
2 逆变器主电路结构拓扑
2.1 半桥逆变电路
由于只需要输出两相电压,使得单相电机半桥逆变电路结构简单,仅仅需要4只功率变换器件组成两个桥臂即可,如图1所示。半桥逆变电路具有结构简单,功率开关器件数目最少,成本低廉,稳定性高等优点。
但是,对于单相电机,采用半桥逆变电路面临这样一个问题:由于电机的两相电流I1及I2在相位上相差90%26;#176;,因而流向中性点N的两相电流之和I是两相电流的矢量和。

对于用两只电容串联构造中点的电源,回馈电流I会使得前级变频电源输出电压波动加大,迫使电源加大输出电容;同时,由于负载不对称带来的直流偏量还会使得中点电位向正(或负)方向持续漂移,给供电带来极大影响。所以,如何获得高质量的双极性直流电源是采用半桥逆变电路的关键所在。在参考文献中,提出了一种采用Cuk和Sepic电路并联方式,来获取双极性直流电源的方式。但受到功率开关容量的限制,功率和输出电压的大小都有待提高,整个电路的实用性还有待验证。
2.2 全桥逆变电路
普通全桥逆变电路每相由4只功率开关器件组成,两相绕组共需8只功率开关器件,如图2所示。同半桥逆变电路相比,功率开关器件数量比为2:1,结构上变得复杂,在稳定性和经济适用方面都不如半桥电路。但是,全桥逆变电路不再需要对称正负输出电源,而只需要单路稳压电源即可。两相绕组的电流也不再对电源形成大的干扰。同时全桥电路的直流电压利用率也比半桥电路要高。
鉴于开关器件的数目较多,在实际应用中将图2中中间两只桥臂合二为一,成为两套绕组的公共桥臂,就得到了图3所示的两相三桥臂全桥逆变电路。其中的公共桥臂分别同左、右桥臂组合,构成两相全桥逆变。
两相三桥臂全桥逆变电路继承了全桥逆变电路的优点,同时有效地减少了开关器件的数目。在直流电压Ud相同的情况下,其输出电压值可达到全桥电路的70%以上。在逆变桥结构上,两相三桥臂电路同三相半桥逆变电路完全一致,因此,容易从已有的六单元功率模块移植过来使用,其输出也可在三相同两相之间灵活转换。而目前三相逆变电路用的六单元功率模块的发展已经颇为成熟,尤其是在小功率应用场合。

3 控制技术
单相电机采用半桥逆变电路时,由于主电路结构类似,诸如SPWM和SVPWM等调速技术可以方便地移植到单相电机调速中来。以下讨论控制技术时,为了分析方便,均假设电机的两相绕组对称,即两相绕组相同,空间上相互垂直。同时假定正负电源对称,幅值恒定,中性点N不因电流I的注入而浮动。
3.1 半桥SPWM控制
单相电机采用SPWM控制技术时,

由于要保证两相绕组中的电流相位差为90%26;#176;,所以,两路调制信号的相位相应地也要设定为相差90%26;#176;。SPWM控制的优点是谐波含量低,滤波器设计简单,容易实现调压、调频功能。但是,SPWM的缺点也很明显,即直流电压利用率低,适合模拟电路,不便于数字化方案的实现。半桥SPWM控制技术的研究已经相当成熟,有关的文献资料也比较多,在此不再做过多的分析。
3.2 半桥SVPWM控制
依据电机学的知识可知,电压空间矢量同气隙磁场之间存在如下关系:
U=dφ/dt(4)
通过控制电压空间矢量来控制电机气隙磁场的旋转,所以SVPWM控制又称为磁链轨迹控制。
开关器件S1和S2,S3和S4的开关逻辑互补,则4只开关器件只能产生4个电压矢量。依据参考文献的作图方法可得到图4所示的电压矢量图。
从矢量图来看,在两相半桥逆变电路中,不会产生零电压矢量。为了合成一个幅值为Uα,相角为α的电压矢量,在矢量分解时,其X轴的分量要有E1和E2共同完成,而Y轴分量要由E3和E4共同完成。
在一个开关周期T内,E1作用的时间为t1,则E2作用的时间为T-t1。E3作用的时间为t2,而E4作用的时间为T-t2。根据矢量分解可以得到式(5)和式(6)(矢量E1,E2,E3,E4的大小均为Ud/2)

又因t1(t2)?T,所以?Ud/2。即半桥逆变电路在采用SVPWM控制时,输出相电压的最大值为Ud/2。
3.3 两相三桥臂全桥逆变SPWM控制
采用SPWM控制时,由N1及N2构成的公共桥臂要同时接入电机的两相绕组中,所以在调制时,公共桥臂的调制波就不同于A及B桥臂的调制波。
整个逆变电路具体调制方法为:在载波相同的情况下,A及B相调制波为正弦波,相位上A相超前B相90%26;#176;(电机正转,反之,B相超前A相90%26;#176;,则电机反转);公共桥臂则采用恒定占空比的方法调制,上下桥臂占空比均为50%,如图5所示。
根据图示的电路工作波形,在一个开关周期内输出电压的平均值:

在SPWM调制中,D=(1+msinωt),代入式(7)可得:(t)=mUdsinωt。当开关频率远大于输出电压频率时,输出电压的瞬时值uo(t)≈(t)。
如此在A及B绕组上得到幅值相等,相位相差90%26;#176;的正弦电压。电压幅值与调制度m成正比。当m=1时,输出电压峰值达到最大,为Ud/2。依据电机的V/f曲线和输出电压与m的关系,即可实现两相电机的变压变频调速控制。

3.4 两相三桥臂全桥逆变SVPWM控制
逆变电路中,功率器件的每一种通电模式,都能在电机中生成一支空间电压矢量。对于两相三桥臂逆变电路,根据同一桥臂上下开关互补导通的原则,三个桥臂共产生8种开关组合模式,可以在电机绕组上得到8支空间电压矢量,它们以V(A,N,B)来表示。其中A=1时,表示A1导通,A2关断;A=0时,表示A1关断,A2导通,其余类推。8支矢量如表1所列。
表1 8支空间电压矢量关系组合
V
非零矢量
零矢量
无用
A
1
0
0
1
0
1
1
0
N
0
0
1
1
0
1
0
1
B
0
1
1
0
0
1
1
0
忽略绕组电阻压降时,非零电压矢量的幅值为
|V(1,0,0)|=|V(0,0,1)|
=|V(0,1,1)|=|V(1,1,0)|=Ud(8)
|V(1,0,1)|=|V(0,1,0)|=Ud(9)
8支矢量中,两个零矢量位于坐标原点,其余6支根据绕组轴线以图6所示方式分布。电压空间矢量都可以由与之相邻的两个基本矢量和零矢量组合而成。矢量V(1,0,1)和V(0,1,0)在矢量合成时可有可无。为了计算的方便,只使用4只位于坐标轴上矢量和两只零矢量来合成电压空间矢量。(10)

t0=T-t1-t2由t1+t2?T,得?Ud/,即输出相电压最大值为Ud/。
4 结语
1)单相电机逆变主电路的结构主要分为全桥和半桥两种。半桥电路结构简单,成本低廉,要求前级电源能稳定提供正负对称输出。
2)全桥逆变电路,由于两相三桥臂需要的开关器件相对较少,易于采用三相电路中六单元功率模块,比起8只开关器件组成的全桥逆变电路优势明显。

3)半桥电路采用SPWM和SVPWM控制时,输出电压最大值相同;在全桥电路中,SVPWM的直流电压利用率比SPWM要高出41%。SVPWM控制易于数字化的实现,合理安排矢量作用顺序,能有效减小开关损耗。
4)从以上控制方案来看,普遍存在的问题为直流电压利用率较低。如何提升电压利用率是单相电机变频调速要克服的问题之一。单相电机的旋转磁场中存在有3次及5次等低频谐波,所以,在选用控制方案时要注意低频谐波的削弱。单相电机两套绕组垂直分布,彼此之间的互感接近于零,在采用更复杂的控制策略,如转矩直接控制时,会起到简化复杂程度的作用;同时,还可以利用两套绕组电流之和来确定磁场的位置,为电机气隙磁场的检测提供了一个有效、简便的途径。
变频调速技术在异步感应电机调速系统中,以其优异的调速和启动性能、高功率因数和节电效果,而被公认为最具发展前途的调速手段。
只有两套绕组的单相交流异步电动机,结构简单,生产成本低廉,使用维护方便,在小功率电机应用方面,如电冰箱、洗衣机、电风扇、空调等家用电器,汽车附件等领域占据主导地位。但是其工作效率低,仅为60%~70%,运行性能差,启动转矩小,一般不能应用在需要调速的场合,其转速的调节主要采用调节端电压和改变电机极对数的方法,调速效果已经越来越不能满足生产和生活的需要。为了弥补单相电机调速方面的缺陷,追求更高的性能,人们把更多的目光投向了无刷直流电机、永磁同步电机和开关磁阻电机等。尽管这些电机在工作效率、稳定性和出力等方面表现出众,然而他们共同的致命缺点就是成本太高,难以普及。随着变频调速技术的日渐成熟,其在单相电机中应用的研究也逐渐开展起来。

尽管三相电机的变频调速技术已经日渐成熟,但是,单相电机的变频调速技术却还面临着以下一些问题:
1)单相电机的绕组不同于三相电机,其主副绕组多为不对称绕组,副绕组通常串联了运转电容,给合成圆形旋转磁场带来新的问题;
2)单相电机用的变频调速逆变主电路结构同样有其独特的一面,存在如何获得合理,高效的逆变电路的问题;
3)针对单相电机变频调速,存在采用什么样的控制技术,才能使得单相电机获得与三相电机,甚至与直流电机一样优良的调速效果的问题。
本文将主要依据以上3个问题,就单相电机绕组,主电路结构及其控制技术,对国内外单相电机变频调速技术的最新发展进行了较为详细的分析和综述,并在此基础上对其发展方向加以探讨。
1 单相电机绕组分析
根据单相电机合成磁场的分析,单相电机的定子上嵌放有两相绕组,设两相绕组轴线在空间相距β电角度,两相绕组中通入相位差为θ的电流,两相合成圆形旋转磁势的条件是

式中:FM为主绕组磁势幅值;
FA为副绕组磁势幅值。
在单相电机中,定子两相绕组轴线通常相距90%26;#176;,为了获得圆形旋转磁势,总希望两相电流相位差等于90%26;#176;。
参考文献给出了不对称绕组单相电机的等效电路,依据此等效电路,当空间电角度β和相位差θ均为90%26;#176;时,电机在以下条件下满足圆形旋转磁场的要求,获得最佳性能:

式中:Imain为主绕组电流;
Iaux为副绕组电流;
a为副绕组与主绕组之间的匝数比。
继而得出Imain=αIaux。
实际上,在电机的运行过程中,时刻保持主副绕组电流比值恒定相当困难,通常以Vaux=aVmain来近似实现电流比值的恒定。
单相电机多为电容运转式电动机,副绕组中串联的电容值,在工频条件下能使电机获得较好的运行性能。当电机运行在低频时,随着电容容抗的增大,副绕组中流过的电流相位与主绕组不再成正交关系,于是电机出现过热,转矩降低,脉动转矩增大等问题。所以,目前采用的变频电路均采用去掉电容,两相绕组分别控制的方案。但是,去除电容也就意味着要增大加在副绕组上的电压值。
2 逆变器主电路结构拓扑
2.1 半桥逆变电路
由于只需要输出两相电压,使得单相电机半桥逆变电路结构简单,仅仅需要4只功率变换器件组成两个桥臂即可,如图1所示。半桥逆变电路具有结构简单,功率开关器件数目最少,成本低廉,稳定性高等优点。
但是,对于单相电机,采用半桥逆变电路面临这样一个问题:由于电机的两相电流I1及I2在相位上相差90%26;#176;,因而流向中性点N的两相电流之和I是两相电流的矢量和。

对于用两只电容串联构造中点的电源,回馈电流I会使得前级变频电源输出电压波动加大,迫使电源加大输出电容;同时,由于负载不对称带来的直流偏量还会使得中点电位向正(或负)方向持续漂移,给供电带来极大影响。所以,如何获得高质量的双极性直流电源是采用半桥逆变电路的关键所在。在参考文献中,提出了一种采用Cuk和Sepic电路并联方式,来获取双极性直流电源的方式。但受到功率开关容量的限制,功率和输出电压的大小都有待提高,整个电路的实用性还有待验证。
2.2 全桥逆变电路
普通全桥逆变电路每相由4只功率开关器件组成,两相绕组共需8只功率开关器件,如图2所示。同半桥逆变电路相比,功率开关器件数量比为2:1,结构上变得复杂,在稳定性和经济适用方面都不如半桥电路。但是,全桥逆变电路不再需要对称正负输出电源,而只需要单路稳压电源即可。两相绕组的电流也不再对电源形成大的干扰。同时全桥电路的直流电压利用率也比半桥电路要高。
鉴于开关器件的数目较多,在实际应用中将图2中中间两只桥臂合二为一,成为两套绕组的公共桥臂,就得到了图3所示的两相三桥臂全桥逆变电路。其中的公共桥臂分别同左、右桥臂组合,构成两相全桥逆变。
两相三桥臂全桥逆变电路继承了全桥逆变电路的优点,同时有效地减少了开关器件的数目。在直流电压Ud相同的情况下,其输出电压值可达到全桥电路的70%以上。在逆变桥结构上,两相三桥臂电路同三相半桥逆变电路完全一致,因此,容易从已有的六单元功率模块移植过来使用,其输出也可在三相同两相之间灵活转换。而目前三相逆变电路用的六单元功率模块的发展已经颇为成熟,尤其是在小功率应用场合。

3 控制技术
单相电机采用半桥逆变电路时,由于主电路结构类似,诸如SPWM和SVPWM等调速技术可以方便地移植到单相电机调速中来。以下讨论控制技术时,为了分析方便,均假设电机的两相绕组对称,即两相绕组相同,空间上相互垂直。同时假定正负电源对称,幅值恒定,中性点N不因电流I的注入而浮动。
3.1 半桥SPWM控制
单相电机采用SPWM控制技术时,

由于要保证两相绕组中的电流相位差为90%26;#176;,所以,两路调制信号的相位相应地也要设定为相差90%26;#176;。SPWM控制的优点是谐波含量低,滤波器设计简单,容易实现调压、调频功能。但是,SPWM的缺点也很明显,即直流电压利用率低,适合模拟电路,不便于数字化方案的实现。半桥SPWM控制技术的研究已经相当成熟,有关的文献资料也比较多,在此不再做过多的分析。
3.2 半桥SVPWM控制
依据电机学的知识可知,电压空间矢量同气隙磁场之间存在如下关系:
U=dφ/dt(4)
通过控制电压空间矢量来控制电机气隙磁场的旋转,所以SVPWM控制又称为磁链轨迹控制。
开关器件S1和S2,S3和S4的开关逻辑互补,则4只开关器件只能产生4个电压矢量。依据参考文献的作图方法可得到图4所示的电压矢量图。
从矢量图来看,在两相半桥逆变电路中,不会产生零电压矢量。为了合成一个幅值为Uα,相角为α的电压矢量,在矢量分解时,其X轴的分量要有E1和E2共同完成,而Y轴分量要由E3和E4共同完成。
在一个开关周期T内,E1作用的时间为t1,则E2作用的时间为T-t1。E3作用的时间为t2,而E4作用的时间为T-t2。根据矢量分解可以得到式(5)和式(6)(矢量E1,E2,E3,E4的大小均为Ud/2)

又因t1(t2)?T,所以?Ud/2。即半桥逆变电路在采用SVPWM控制时,输出相电压的最大值为Ud/2。
3.3 两相三桥臂全桥逆变SPWM控制
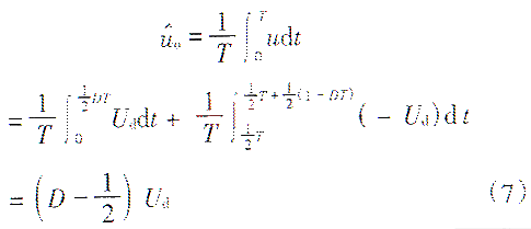
采用SPWM控制时,由N1及N2构成的公共桥臂要同时接入电机的两相绕组中,所以在调制时,公共桥臂的调制波就不同于A及B桥臂的调制波。
整个逆变电路具体调制方法为:在载波相同的情况下,A及B相调制波为正弦波,相位上A相超前B相90%26;#176;(电机正转,反之,B相超前A相90%26;#176;,则电机反转);公共桥臂则采用恒定占空比的方法调制,上下桥臂占空比均为50%,如图5所示。
根据图示的电路工作波形,在一个开关周期内输出电压的平均值:

在SPWM调制中,D=(1+msinωt),代入式(7)可得:(t)=mUdsinωt。当开关频率远大于输出电压频率时,输出电压的瞬时值uo(t)≈(t)。
如此在A及B绕组上得到幅值相等,相位相差90%26;#176;的正弦电压。电压幅值与调制度m成正比。当m=1时,输出电压峰值达到最大,为Ud/2。依据电机的V/f曲线和输出电压与m的关系,即可实现两相电机的变压变频调速控制。

3.4 两相三桥臂全桥逆变SVPWM控制
逆变电路中,功率器件的每一种通电模式,都能在电机中生成一支空间电压矢量。对于两相三桥臂逆变电路,根据同一桥臂上下开关互补导通的原则,三个桥臂共产生8种开关组合模式,可以在电机绕组上得到8支空间电压矢量,它们以V(A,N,B)来表示。其中A=1时,表示A1导通,A2关断;A=0时,表示A1关断,A2导通,其余类推。8支矢量如表1所列。
表1 8支空间电压矢量关系组合
V
非零矢量
零矢量
无用
A
1
0
0
1
0
1
1
0
N
0
0
1
1
0
1
0
1
B
0
1
1
0
0
1
1
0
忽略绕组电阻压降时,非零电压矢量的幅值为
|V(1,0,0)|=|V(0,0,1)|
=|V(0,1,1)|=|V(1,1,0)|=Ud(8)
|V(1,0,1)|=|V(0,1,0)|=Ud(9)
8支矢量中,两个零矢量位于坐标原点,其余6支根据绕组轴线以图6所示方式分布。电压空间矢量都可以由与之相邻的两个基本矢量和零矢量组合而成。矢量V(1,0,1)和V(0,1,0)在矢量合成时可有可无。为了计算的方便,只使用4只位于坐标轴上矢量和两只零矢量来合成电压空间矢量。(10)

t0=T-t1-t2由t1+t2?T,得?Ud/,即输出相电压最大值为Ud/。
4 结语
1)单相电机逆变主电路的结构主要分为全桥和半桥两种。半桥电路结构简单,成本低廉,要求前级电源能稳定提供正负对称输出。
2)全桥逆变电路,由于两相三桥臂需要的开关器件相对较少,易于采用三相电路中六单元功率模块,比起8只开关器件组成的全桥逆变电路优势明显。

3)半桥电路采用SPWM和SVPWM控制时,输出电压最大值相同;在全桥电路中,SVPWM的直流电压利用率比SPWM要高出41%。SVPWM控制易于数字化的实现,合理安排矢量作用顺序,能有效减小开关损耗。
4)从以上控制方案来看,普遍存在的问题为直流电压利用率较低。如何提升电压利用率是单相电机变频调速要克服的问题之一。单相电机的旋转磁场中存在有3次及5次等低频谐波,所以,在选用控制方案时要注意低频谐波的削弱。单相电机两套绕组垂直分布,彼此之间的互感接近于零,在采用更复杂的控制策略,如转矩直接控制时,会起到简化复杂程度的作用;同时,还可以利用两套绕组电流之和来确定磁场的位置,为电机气隙磁场的检测提供了一个有效、简便的途径。
电路 电动机 电压 电容 电流 逆变器 稳压电源 PWM 滤波器 模拟电路 电阻 相关文章:
- 一种新型防伪读码器的设计(01-01)
- 基于ARM与DSP的嵌入式运动控制器设计(04-25)
- 航天器DC/DC变换器的可靠性设计(02-12)
- 基于ARM核的AT75C220及其在指纹识别系统中的应用(05-24)
- 基于nRF2401智能小区无线抄表系统集中器设计(04-30)
- 卫星电源分系统可靠性设计与研究(02-12)
