基于SMA7029M多芯片模块的步进电机驱动设计
时间:11-18
来源:互联网
点击:
步进电机是一种能将数字输入脉冲转换成旋转或直线增量运动的电磁执行设备,是现代机电一体化产品中的关键部件之一。它通常被用作定位控制和定速控制,以其惯量低、定位精度高、无累积误差、控制简单等特点广泛应用于数控机床、包装机械、计算机外围设备、复印机、传真机等机电一体化产品。相应的步进电机驱动器也得到了快速的发展和改进。但是目前在工业应用中,多数驱动器体积较大,通用性不强,往往要求外接多路电源,而且成本较高。文中介绍了采用Allegro公司的SMA7029M多芯片模块设计步进电机的驱动电路,为步进电机提供稳定的输出电流,并通过试验和实际使用验证了其通用性强、控制简单、可靠性高的特性。
1 步进电机特点及驱动
步进电机受脉冲电流控制,每输入一个脉冲电机转轴步进一个步距角增量。转子的角位移正比于输入脉冲的数量,转子的角速度正比于输入脉冲的频率,转子的旋转方向取决于定子绕组的通电顺序。在使用过程中步进电机有一定的步距误差,但没有累计误差。若维持控制绕组的电流不变,则步进电机就可停在某一位置不动。其按力矩产生的原理可分为反应式步进电机和激磁式步进电机。按输出力矩大小可分为伺服式步进电机和功率式步进电机。
由于步进电机是属于感性器件,感抗与其输入频率是成正比。假设步进电机的转速增加,其感抗也会增大。该状态下流入电机线圈的电流就会减小,电机的输出扭力达不到要求输出,严重的情况下会造成电机失步或者电机只振动不转。这就要求其驱动电路能够提供稳定的输出电流,使步进电机具有稳定的转动。一般设计中步进电机驱动都用采用三极管或者是用ULN2803IC等来驱动,这些驱动在实验板或一些转速不高、带动负载小的应用场所使用比较合适,在实际工作设计中远远达不到所需要求。针对这些问题,各大公司陆续推出了专用的步进电机驱动芯片,简化其驱动设计。Allegro公司的SMA7029M多芯片模块就是一款性能使用简单控制优良的步进电机控制模块,该多芯片模块能为步进电机提供稳定的输出电流,使电机能够稳定的转动。
2 步进电机驱动设计
SMA7029M是专为高效率、高性能的两相单极步进电机设计的多芯片模块,它采用功率FET技术和单片逻辑控制电路对完成步进电机的运动控制。同一系列的还有SLA7024M和SLA7026M,三个芯片模块不同主要是在输出额定电流(1.5 A或3.0 A)和包装样式上。
2.1 SMA7029M结构及驱动设计
SMA7029M内部主要包含电流峰值检测部分,PWM关闭时间控制部分,电机逻辑控制部分,输出电流及回流电流控制部分,如图1所示。其工作过程主要是通过电流采样,通过峰值检测电路得到当前最大电流,根据其结果控制PWM工作时间,最终达到控制整个芯片组输出电流的目的。

图1也给出基于SMA7029M芯片组电机驱动设计的外围电路,主要包含参考电压取样电路,OC门反向器输入电路,电流取样以及输出变压器耦合电路。通过设置电路中的R3=47 kΩ,C1=470 pF,可以得到脉宽约等于12μs。
2. 2 逻辑控制关系
SMA7029M可以通过外部逻辑控制实现电机状态的改变,表1给出了详细的控制方式及输出结果。

其中tda和tdb扎连接外部OC门反相器的逻辑控制信号,连接关系见图1所示。从表l中可以看出,不同控制关系下输出的不同状态转移,A和B两个通道可以独立控制,例如在状态0及状态2下A,B通道分别独立工作,而在状态1下二者可以同时工作。
2.3 工作模式选择
通过改变图1中外部元器件取值来设置PWM电流启动点。Vb是供电电压,典型取值为5 V;R1,R2为分压电阻,为所需参考电压提供合适的输入;Rs是电流取样电阻。其中参考电压Vref输入最大不能超过2 V,相应地选择合适的电阻。在正常PWM模式(满电流工作)下,Iout需要设置到电机工作所需的满电流,它由式(1)决定:

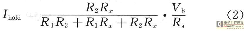
为了使输出电流可调,可以将图1中的固定电阻Rz改用可调电位器。在保持电流模式下,图2增加电路可以减小步进电机的电压。
其中外部三极管可以改变分压比,使参考电压Vref发生变化,从而减小输出电流。此时的Ihold由电阻R1,R2,Rx,Rs以及电压Vb共同决定:


3 结 语
步进电机驱动作为现代机电一体化产品中的关键部件之一,在当今社会中发挥的作用越来越重要,从数控机床、包装机械到电脑的外围装置、机器人系统、仪表仪器等各种信息工业产品中,都离不开步进电机,进而也对其驱动电路设计提出了进一步的要求。本文以Allegro公司的SMA7029M多芯片模块为核心,实现了一种控制简单、成本低廉的两相单极性步进电机驱动器,通过设计合适参数控制步进电机输入电流。通过在包装机控制系统中的实际使用,进一步证明了该步进电机驱动器工作可靠,效率高,矩频特性好,可以广泛应用于小型机电一体化设备中。
1 步进电机特点及驱动
步进电机受脉冲电流控制,每输入一个脉冲电机转轴步进一个步距角增量。转子的角位移正比于输入脉冲的数量,转子的角速度正比于输入脉冲的频率,转子的旋转方向取决于定子绕组的通电顺序。在使用过程中步进电机有一定的步距误差,但没有累计误差。若维持控制绕组的电流不变,则步进电机就可停在某一位置不动。其按力矩产生的原理可分为反应式步进电机和激磁式步进电机。按输出力矩大小可分为伺服式步进电机和功率式步进电机。
由于步进电机是属于感性器件,感抗与其输入频率是成正比。假设步进电机的转速增加,其感抗也会增大。该状态下流入电机线圈的电流就会减小,电机的输出扭力达不到要求输出,严重的情况下会造成电机失步或者电机只振动不转。这就要求其驱动电路能够提供稳定的输出电流,使步进电机具有稳定的转动。一般设计中步进电机驱动都用采用三极管或者是用ULN2803IC等来驱动,这些驱动在实验板或一些转速不高、带动负载小的应用场所使用比较合适,在实际工作设计中远远达不到所需要求。针对这些问题,各大公司陆续推出了专用的步进电机驱动芯片,简化其驱动设计。Allegro公司的SMA7029M多芯片模块就是一款性能使用简单控制优良的步进电机控制模块,该多芯片模块能为步进电机提供稳定的输出电流,使电机能够稳定的转动。
2 步进电机驱动设计
SMA7029M是专为高效率、高性能的两相单极步进电机设计的多芯片模块,它采用功率FET技术和单片逻辑控制电路对完成步进电机的运动控制。同一系列的还有SLA7024M和SLA7026M,三个芯片模块不同主要是在输出额定电流(1.5 A或3.0 A)和包装样式上。
2.1 SMA7029M结构及驱动设计
SMA7029M内部主要包含电流峰值检测部分,PWM关闭时间控制部分,电机逻辑控制部分,输出电流及回流电流控制部分,如图1所示。其工作过程主要是通过电流采样,通过峰值检测电路得到当前最大电流,根据其结果控制PWM工作时间,最终达到控制整个芯片组输出电流的目的。

图1也给出基于SMA7029M芯片组电机驱动设计的外围电路,主要包含参考电压取样电路,OC门反向器输入电路,电流取样以及输出变压器耦合电路。通过设置电路中的R3=47 kΩ,C1=470 pF,可以得到脉宽约等于12μs。
2. 2 逻辑控制关系
SMA7029M可以通过外部逻辑控制实现电机状态的改变,表1给出了详细的控制方式及输出结果。

其中tda和tdb扎连接外部OC门反相器的逻辑控制信号,连接关系见图1所示。从表l中可以看出,不同控制关系下输出的不同状态转移,A和B两个通道可以独立控制,例如在状态0及状态2下A,B通道分别独立工作,而在状态1下二者可以同时工作。
2.3 工作模式选择
通过改变图1中外部元器件取值来设置PWM电流启动点。Vb是供电电压,典型取值为5 V;R1,R2为分压电阻,为所需参考电压提供合适的输入;Rs是电流取样电阻。其中参考电压Vref输入最大不能超过2 V,相应地选择合适的电阻。在正常PWM模式(满电流工作)下,Iout需要设置到电机工作所需的满电流,它由式(1)决定:

为了使输出电流可调,可以将图1中的固定电阻Rz改用可调电位器。在保持电流模式下,图2增加电路可以减小步进电机的电压。
其中外部三极管可以改变分压比,使参考电压Vref发生变化,从而减小输出电流。此时的Ihold由电阻R1,R2,Rx,Rs以及电压Vb共同决定:


3 结 语
步进电机驱动作为现代机电一体化产品中的关键部件之一,在当今社会中发挥的作用越来越重要,从数控机床、包装机械到电脑的外围装置、机器人系统、仪表仪器等各种信息工业产品中,都离不开步进电机,进而也对其驱动电路设计提出了进一步的要求。本文以Allegro公司的SMA7029M多芯片模块为核心,实现了一种控制简单、成本低廉的两相单极性步进电机驱动器,通过设计合适参数控制步进电机输入电流。通过在包装机控制系统中的实际使用,进一步证明了该步进电机驱动器工作可靠,效率高,矩频特性好,可以广泛应用于小型机电一体化设备中。
步进电机 Allegro 电路 电流 三极管 PWM 电压 变压器 电阻 机器人 相关文章:
- 基于ARM与DSP的嵌入式运动控制器设计(04-25)
- 用MSP430单片机实现微波成像系统的扫描控制与数据采集(06-20)
- 基于可调式模拟激光脉冲的激光告警器在线检测仪(10-20)
- 单片机对仪表步进电机的细分控制(10-20)
- 使用L6506 实现步进电机的电流控制(12-10)
- 基于嵌入式Web服务器的智能温室监控系统(01-25)
