复合量程微加速度计的动态特性分析与设计
时间:10-29
来源:互联网
点击:
1 引言
随着硅微机械技术的不断发展,基于压阻原理的微加速度计已成为商品。由于硅的机械性能优良,这些微加速度计往往具有较高的抗过载能力。然而,有些物理过程存在相差上百倍的多个加速度值需要测量,需要测试的过载值从几g到上万g,若在整个过程采用高g 值加速度计进行测量和控制,它对低g值信号不敏感;若采用低量程加速度计,则不能精确测量高过载信号;若采用2个加速度计进行测量控制,由于安装位置的不同,使其测得的信号会产生位置误差,而且2个传感器都存在安装误差。因此抗高过载复合量程加速度计更适合现代发展的需求。
2 设计原理
不同量程的加速度计构成的传感器阵列,可在不同工作环境下满足相应测试和控制要求,并实现多参数测量和多功能控制。这里分析一种具有4个量程(10 g、100 g、500g、10000 g)的复合量程微加速度计。综合考虑加速度计的灵敏度和固有频率等问题,通过ANSYS仿真加速度计结构参数,得到复合量程加速度计是梁宽分别为 80μm、100μm、190μm、500μm的双端4梁结构。复合量程加速度计阵列结构如图1所示。
3 动态特性分析
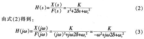
压阻式加速度计可简化为由弹簧、阻尼、质量块构成的二阶自由振动系统,根据牛顿第二定律,可写出单自由度二阶系统的力平衡方程式:
通过变换式(1)得到系统的传递函数为:
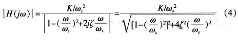
式(3)的分子、分母同除以ωs2,可得到系统的幅频特性:
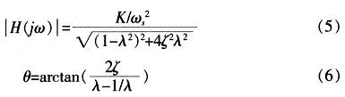
设
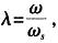
则系统的幅频特性和相频特性可分别表示为:
将结构参数和材料参数代入式(7)得到4个悬臂粱的固有频率0~10 g量程模块的固有频率为7 731.139 Hz,0~100 g量程模块的固有频率为8 642.250 Hz,0~500 g量程模块的固有频率为15 875.571 Hz,0~10 000 g量程模块的固有频率为26 092.304.Hz。
由于结构参数、空气粘滞系数(η/=1.8x10-5kg/(m.s))、固有频率已知。所以阻尼比只随板间距的变化而发生变化。将已知参数代入阻尼比公式:
分别求出4个模块的阻尼比:0~10 g量程模块的阻尼比为0.706,0~100 g量程模块的阻尼比为0.632,0~500 g量程模块的阻尼比为0.532,0~10 000 g量程模块的阻尼比为0.467。
固有频率ωs、阻尼比ζ、K=1/m,从而得到系统幅值、相位与λ之间的关系,分别由maple作图,如图2所示。
图2中,幅频特性曲线纵坐标表示幅值与刚度之比,横坐标表示输入信号的频率与固有频率之比。相频特性曲线纵坐标表示幅频特性的幅角,横坐标也表示输入信号的频率与同有频率之比。频率范围以幅值3 dB对应频率为截止频率。分别计算出4个量程频响范同为0~2783 Hz,0~2679 Hz,0~4 1 27 Hz,0~5740 Hz。
4 频率响应测试
在被测量物理量随时间变化的情况下,加速度计的输出能否随输入量变化良好是一个很重要的问题。以上通过分析复合量程加速度计的动态特性,得到其理论频响特性。以下对封装完成的复合量程加速度计进行动态测试,图3为封装后复合量程加速度计(图中右边的硬币用以对比其大小)。
复合量程加速度计的频率响应实验:使用振动台等设备,将复合量程加速度计及用作对比的传感器同时固定在振动台上,在10Hz~4 000 Hz范嗣内对加速度计进行扫频,分别得到复合量程加速度计4个量程的幅频特性和相频特性,仅以0~10 g量程单元和0~10 000 g量程单元的频率响应特性曲线为例,如图4和图5所示。
这里频率范围均以幅值3 dB所对应的频率为截止频率,0~10 g量程单元的频率响应范围为0~2 587 Hz,0~10 000 g量程单元的频率响应范围大于4 000 Hz,对比理论和计算结果,两者基本吻合。从相频曲线可看出:随着频率增高,相位滞后也更加明显,与幅频曲线相符。
5 结论
设计一种复合量程微加速度计,首先根据理论分析出其频率响应范同,然后通过对复合量程加速度计动态特性的分析,建立复合量程加速度计动态测试系统,完成复合量程加速度计动态特性的测试,实验结果与理论计算结果基本吻合,0~10 g量程单元的频率响应范围为0~2 587 Hz,0~10000 g量程单元的频率响应范围大于4 000 Hz。
随着硅微机械技术的不断发展,基于压阻原理的微加速度计已成为商品。由于硅的机械性能优良,这些微加速度计往往具有较高的抗过载能力。然而,有些物理过程存在相差上百倍的多个加速度值需要测量,需要测试的过载值从几g到上万g,若在整个过程采用高g 值加速度计进行测量和控制,它对低g值信号不敏感;若采用低量程加速度计,则不能精确测量高过载信号;若采用2个加速度计进行测量控制,由于安装位置的不同,使其测得的信号会产生位置误差,而且2个传感器都存在安装误差。因此抗高过载复合量程加速度计更适合现代发展的需求。
2 设计原理
不同量程的加速度计构成的传感器阵列,可在不同工作环境下满足相应测试和控制要求,并实现多参数测量和多功能控制。这里分析一种具有4个量程(10 g、100 g、500g、10000 g)的复合量程微加速度计。综合考虑加速度计的灵敏度和固有频率等问题,通过ANSYS仿真加速度计结构参数,得到复合量程加速度计是梁宽分别为 80μm、100μm、190μm、500μm的双端4梁结构。复合量程加速度计阵列结构如图1所示。

3 动态特性分析
压阻式加速度计可简化为由弹簧、阻尼、质量块构成的二阶自由振动系统,根据牛顿第二定律,可写出单自由度二阶系统的力平衡方程式:

通过变换式(1)得到系统的传递函数为:

式(3)的分子、分母同除以ωs2,可得到系统的幅频特性:

设
则系统的幅频特性和相频特性可分别表示为:

将结构参数和材料参数代入式(7)得到4个悬臂粱的固有频率0~10 g量程模块的固有频率为7 731.139 Hz,0~100 g量程模块的固有频率为8 642.250 Hz,0~500 g量程模块的固有频率为15 875.571 Hz,0~10 000 g量程模块的固有频率为26 092.304.Hz。
由于结构参数、空气粘滞系数(η/=1.8x10-5kg/(m.s))、固有频率已知。所以阻尼比只随板间距的变化而发生变化。将已知参数代入阻尼比公式:

分别求出4个模块的阻尼比:0~10 g量程模块的阻尼比为0.706,0~100 g量程模块的阻尼比为0.632,0~500 g量程模块的阻尼比为0.532,0~10 000 g量程模块的阻尼比为0.467。
固有频率ωs、阻尼比ζ、K=1/m,从而得到系统幅值、相位与λ之间的关系,分别由maple作图,如图2所示。

图2中,幅频特性曲线纵坐标表示幅值与刚度之比,横坐标表示输入信号的频率与固有频率之比。相频特性曲线纵坐标表示幅频特性的幅角,横坐标也表示输入信号的频率与同有频率之比。频率范围以幅值3 dB对应频率为截止频率。分别计算出4个量程频响范同为0~2783 Hz,0~2679 Hz,0~4 1 27 Hz,0~5740 Hz。
4 频率响应测试
在被测量物理量随时间变化的情况下,加速度计的输出能否随输入量变化良好是一个很重要的问题。以上通过分析复合量程加速度计的动态特性,得到其理论频响特性。以下对封装完成的复合量程加速度计进行动态测试,图3为封装后复合量程加速度计(图中右边的硬币用以对比其大小)。

复合量程加速度计的频率响应实验:使用振动台等设备,将复合量程加速度计及用作对比的传感器同时固定在振动台上,在10Hz~4 000 Hz范嗣内对加速度计进行扫频,分别得到复合量程加速度计4个量程的幅频特性和相频特性,仅以0~10 g量程单元和0~10 000 g量程单元的频率响应特性曲线为例,如图4和图5所示。


这里频率范围均以幅值3 dB所对应的频率为截止频率,0~10 g量程单元的频率响应范围为0~2 587 Hz,0~10 000 g量程单元的频率响应范围大于4 000 Hz,对比理论和计算结果,两者基本吻合。从相频曲线可看出:随着频率增高,相位滞后也更加明显,与幅频曲线相符。
5 结论
设计一种复合量程微加速度计,首先根据理论分析出其频率响应范同,然后通过对复合量程加速度计动态特性的分析,建立复合量程加速度计动态测试系统,完成复合量程加速度计动态特性的测试,实验结果与理论计算结果基本吻合,0~10 g量程单元的频率响应范围为0~2 587 Hz,0~10000 g量程单元的频率响应范围大于4 000 Hz。
- 陀螺的历史(06-24)
- 基于NI cRIO的多通道强震动监测与报警系统开发(05-11)
- PCI-1711数据采集卡及其应用(06-09)
- 水平定向钻进跟踪/导向仪中地下传感发射探头(07-12)
- 压力传感器原理(07-26)
- 多传感器融合定位在高速铁路的应用(08-18)
