基于恒流源的航空发动机位置检测电路设计
时间:10-28
来源:互联网
点击:
1 恒流源阻值检测电路
恒流源法是指向电阻Rx(电阻式位置传感器阻值)提供恒定电流Is,通过测量输出端电压Ux可以计算出电阻值Rx的方法,如图1所示。输出电压关系式为


恒流源的产生方法很多,本文利用运算放大器OP07产生,如图2所示,由OP07组成负反馈电路,正相输入端为固定电压Ui,则反相输入端也为Ui,由于OP07的输入阻抗极高,输入端可以认为不吸入电流,因此从R电阻上流过的电流大小固定,而且一定等于OP07输出端流过电阻Rx的电流,由此得出电流Is的关系式为

但实际使用中发现,恒流效果并不理想,究其原因是运算放大器正相输入端电压的稳定性不好造成的。解决的办法是利用高精度的恒压源AD581输出稳定电压作为运算放大器正相输入端电压,有效地提高了恒流效果,最终的电阻值测量电路如图3所示。

2 电压转换电路
为了把电阻式位置传感器输出的电压信号转换成-5V~5V范围送入数据采集卡,以满足计算机检测的需要,还需要利用运算放大器OP07设计电压放大器、电压跟随器和减法器组成调理电路。
根据运算放大器工作原理可知,图4中图3电阻值测量电路

由式(3)得闭环电压放大倍数为:

这样就形成了电压放大器,电压放大倍数与运算放大器本身的参数无关。
式(4)中,当R1→∞(断开)或RF=0时,则

这样就形成了电压跟随器,电压跟随器能有效地提高电压输入信号的阻抗。

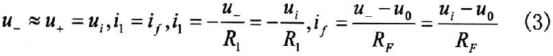
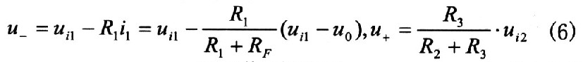
由图5可列出关系式

根据运算放大器工作原理可知u-≈u+,由式(6)可得出

当R1=R2=R3=RF时,式(7)变为

这样就形成了减法器,减法器的输出电压u0等于两个输入电压的差值。
3 位置检测电路
X2位置检测电路如图6所示,AD581输出的+10V稳定电压经过电阻分压产生+1V的基准电压,根据式(4)将电阻(图6中虚线框电阻)选择为250Ω将会形成4mA的恒定电流。若传感器(图6中的X2)的阻值范围是0~2kΩ,所以4mA恒定电流流过传感器产生0~8V的电压,再加上1V的基准电压,送入由运算放大器OP07制作的减法器的正相输入端是1v~9V范围的电压。另外,AD581输出的+10V稳定电压经过电阻分压产生+5V的电压经过电压跟随器送入减法器的负相输入端。根据减法器的原理,其输出电压范围在-4v~4v,该电压通过放大倍数为1.25的放大器最终形成-5V~5V范围的电压信号,经过稳压二极管限压后,送入数据采集卡的7通道。

4 位置检测电路实验
某型发动机位置检测电路的精度要求是±1‰,同时要求输入一输出严格呈线性关系。下面利用精密电阻模拟X2传感器对X2位置检测电路进行实验,在0~2kΩ范围内每隔250Ω模拟X2传感器阻值,同时测量检测电路输出。实验重复进行三次,然后对三次测量数据取平均值作为实际输出值,并与理论输出值比较,如表1所示。

5 结论
本文基于恒流源方法设计了发动机位置检测电路,该电路经实际使用,检测精度达到了±1‰,且输入一输出严格呈线性关系,很好地满足了发动机位置检测的要求,此电路选择不同的电阻(图6中虚线框电阻),可满足不同位置传感器的要求,具有很好的通用性。
恒流源法是指向电阻Rx(电阻式位置传感器阻值)提供恒定电流Is,通过测量输出端电压Ux可以计算出电阻值Rx的方法,如图1所示。输出电压关系式为


恒流源的产生方法很多,本文利用运算放大器OP07产生,如图2所示,由OP07组成负反馈电路,正相输入端为固定电压Ui,则反相输入端也为Ui,由于OP07的输入阻抗极高,输入端可以认为不吸入电流,因此从R电阻上流过的电流大小固定,而且一定等于OP07输出端流过电阻Rx的电流,由此得出电流Is的关系式为

但实际使用中发现,恒流效果并不理想,究其原因是运算放大器正相输入端电压的稳定性不好造成的。解决的办法是利用高精度的恒压源AD581输出稳定电压作为运算放大器正相输入端电压,有效地提高了恒流效果,最终的电阻值测量电路如图3所示。

2 电压转换电路
为了把电阻式位置传感器输出的电压信号转换成-5V~5V范围送入数据采集卡,以满足计算机检测的需要,还需要利用运算放大器OP07设计电压放大器、电压跟随器和减法器组成调理电路。
根据运算放大器工作原理可知,图4中图3电阻值测量电路

由式(3)得闭环电压放大倍数为:

这样就形成了电压放大器,电压放大倍数与运算放大器本身的参数无关。
式(4)中,当R1→∞(断开)或RF=0时,则

这样就形成了电压跟随器,电压跟随器能有效地提高电压输入信号的阻抗。

由图5可列出关系式

根据运算放大器工作原理可知u-≈u+,由式(6)可得出

当R1=R2=R3=RF时,式(7)变为

这样就形成了减法器,减法器的输出电压u0等于两个输入电压的差值。
3 位置检测电路
X2位置检测电路如图6所示,AD581输出的+10V稳定电压经过电阻分压产生+1V的基准电压,根据式(4)将电阻(图6中虚线框电阻)选择为250Ω将会形成4mA的恒定电流。若传感器(图6中的X2)的阻值范围是0~2kΩ,所以4mA恒定电流流过传感器产生0~8V的电压,再加上1V的基准电压,送入由运算放大器OP07制作的减法器的正相输入端是1v~9V范围的电压。另外,AD581输出的+10V稳定电压经过电阻分压产生+5V的电压经过电压跟随器送入减法器的负相输入端。根据减法器的原理,其输出电压范围在-4v~4v,该电压通过放大倍数为1.25的放大器最终形成-5V~5V范围的电压信号,经过稳压二极管限压后,送入数据采集卡的7通道。

4 位置检测电路实验
某型发动机位置检测电路的精度要求是±1‰,同时要求输入一输出严格呈线性关系。下面利用精密电阻模拟X2传感器对X2位置检测电路进行实验,在0~2kΩ范围内每隔250Ω模拟X2传感器阻值,同时测量检测电路输出。实验重复进行三次,然后对三次测量数据取平均值作为实际输出值,并与理论输出值比较,如表1所示。

5 结论
本文基于恒流源方法设计了发动机位置检测电路,该电路经实际使用,检测精度达到了±1‰,且输入一输出严格呈线性关系,很好地满足了发动机位置检测的要求,此电路选择不同的电阻(图6中虚线框电阻),可满足不同位置传感器的要求,具有很好的通用性。
电路 电阻 传感器 电流 电压 放大器 运算放大器 二极管 相关文章:
- 一种新型防伪读码器的设计(01-01)
- 基于ARM与DSP的嵌入式运动控制器设计(04-25)
- 航天器DC/DC变换器的可靠性设计(02-12)
- 基于ARM核的AT75C220及其在指纹识别系统中的应用(05-24)
- 基于nRF2401智能小区无线抄表系统集中器设计(04-30)
- 卫星电源分系统可靠性设计与研究(02-12)
