基于在线手写签名的身份认证技术研究和展望
时间:10-25
来源:互联网
点击:
信息技术的飞速发展在给人们日常生活带来极大便利的同时,也使网络安全问题受到前所未有的挑战。因此,实时准确的个人身份认证十分重要。传统的身份认证基于密码、IC卡等方式,有其固有不足:密码可能被窃取、遗忘,IC卡可能遗失、被盗等;而基于人体生物特征的身份认证方式由于可以从根本上解决上述缺点而得到越来越多的应用。基于生物特征的身份认证技术是指利用人体所固有的生理或行为特征之间的差异,通过计算机来鉴定身份的技术。常用的生理特征有指纹、虹膜、脸像等;常用的行为特征有签名、步态等。与传统鉴定方式相比,生物识别具有防伪性良好、易携带、不易遗失或遗失或遗忘等优点。
签名作为人的一种行为特征,与其它生物特征相比,具有非侵犯性、易为人所接受等特点。随之产生的签名鉴定(也称签名验证)技术在模式识别、信息处理领域都属前沿课题。签名鉴定分为离线签名鉴定和在线签名鉴定两种。前者是通过扫描仪、摄像机等输入设备,将原始的手写签名输入到计算机里,然后进行分析与鉴定;后者是通过手写板实时采集书写人的签名信息,除了可以采集签名位置等静态信息,还可以记录书写时的速度、运笔压力、握笔倾斜度等动态信息。显然,较离线签名鉴定而言,在线签名鉴定可利用的信息量更多,不易伪造,同时难度也更大。

1 在线手写签名验证系统
1.1 算法流程
典型的在线手写签名验证系统包括四个主要的技术环节,其算法流程如图1所示。首先是签名信息的数据获取,就是经输入设备采集实时的手写签名信息后输入计算机。然后是预处理,过程包括去噪、归一化等操作,目的是将采集到的数据变成适宜于进行特片提取的形式。下一步特征提取。从预处理后的数据中提取能充分反映各人书写风格,同时又相对稳定的特征。最后是特征匹配和判决,即采用某种判别规则,将提取的特征信息与标准签名样本进行匹配,得出鉴别结果。经过程是一对一的匹配过程,即验证输入签名人的身份是否属实。
1.2 系统结构
出于网络安全与高效率的考虑,在线签名鉴定系统的设计一般采用C/S结构来实现基于网络的异地鉴定,信息采集端应与验证端分离,信息存储和传输必须是在加密机制基础上实现,系统结构如图2所示。当需要认证时,用户在配备手写板的网络终端签名,客户端获得有效信息并作预处理与特征提取操作后,将所得信息序列经通讯模块加密后通过互联网传输给服务器,进而完成相应的解密、在数据库中的ID检索及匹配判决,并将鉴定结果返回给客户端。这种信息采集模块下传输签名特征信息的方式,极大增强了整个认证系统架构的安全性与灵活性。

2 特征提取与匹配方法
在线签名验证系统的性能如何,主要取决于特征提取方法和分类器设计的好坏,而这一切都由算法的优劣所决定。早期研究较多的方法有基于结构特片的方法和基于相关匹配的方法等。目前鉴别方法主要有两个研究方向:一个是特片函数法,就是包含所有签名采样点的时间序列被看成重要的特片信息,因而被测签名将和模板签名进行相应的时间序列间的匹配比较,具体应用的方法包括动态时间规整算法、签名分段算法、点-点匹配方法等等;另一个是特征参数法,是采用一系列的特征值构成的特征向量,这些特征值一般人为选取以试图表征签名的签名特征信息,具体应用的方法包括隐马尔可夫模型、基于神经网络的方法和小波变换方法等。
2.1 动态时间规整(DTW)
动态时间规整是一种非线性优化方法,具有概念简单、算法鲁棒的优点,早期广泛应用于语音识别中。对于DTW而言,既使测试序列模式与参考序列模式的时间尽度不能完全一致,只要时间次序约速存在,它仍然较好地完成测试序列和参考序列之间的模式匹配。由于任何人签名都有一定的波动性,所以没有办法对签名数据一对一地进行匹配,由此用到该动态规划方法。
如图3所示,假设有两特征信号人R={r(i) 1≤i≤m}和T={t(j)|1≤i≤n},R为模板特征信号的总帧数,m为参考帧的时序标号,T为用来测试的特征信号的总帧数,n为测试帧的时序标号。而R、T间的时间变化关系可由时间规整函数F={f(k)|≤k≤kf}来表示,其中f(k)=(r,(k),t(k)),代表在作k次特片匹配时,T中第t(k)帧与A中第r(k)帧比较。设d(f(k))表示将模板中的第j帧与测试序列的第帧进行匹配的局部匹配距离。
D(R,T)作为模板A与测试信号B的匹配路径,其算式如下:

其中u(k)为匹配点f(k)匹配距离的加权系数。
此算法的关键就是求解该函数,具体实现可用动态规划的方法。设(r(k),t(k))(即f(k))为规整路径上的一点,则下一点可取为(r(k+1),t(k))r(k),t(k+1))r(k+1),t(k+1)),这将由点r(k),t(k)到这三点的距离确定,取距离最小者为下一点。利用此方法,可从起始点递归求出规整路径,同时也可求出D(R,T)。
文献提出一种非线性局部寻优时间弯曲校正方法,不仅实现了对信息序列不同局部的非等强度校正,而且很好地保证了序列的单调性和连续性,试验的正确率为96%。
2.2 签名笔划分段和点-点匹配方法
该方法先对签名进行分段,然后从签名笔划中提取新的特征,接着每一对相应的笔段中的点经由点-点的映射算法得到最后的匹配映射结果,具体实现方法可参考文献。文献基于对签名图像结构复杂性均衡分解的思想,提出了一种基本于骨架的签名分段算法。该方法首先对签名进行骨架提取,然后依据结构复杂度均衡的原则,对骨架进行分段,最后把所得的骨架分段复原成原始签名中的分段。具体算法为:
(1)从整个签名图像的骨架中提取出并记下所有的交叉点和端点;
(2)从上到下,从左到右搜索第1个端点;
(3)从该端点开始沿骨架进行步进,按方向码(用来描述图像的边沿骨架等图像特征)计算前进中的复杂度。若复杂达到1个给不定期的阈值后,即把刚走过的全部点作为一个分段,抹去刚走过的除交叉点之外的点,直到抹去骨架中所有的点。经实验,该算法既达到了把签名的整体复杂度均衡局部化的目的,又基本上保持了真实签名分段在数量上和结构上的稳定性,降低了各种由于外部因素引起的类内特性之间的差别,突出了类间特性的表现。
2.3 隐马尔可夫模型(HMM)
HMM作为信号的一种统计模型,目前广泛应用于模式识别、图像处理的各个领域。HMM是一个由两种机理构成的随机过程:一个机理是内在的有限状态Markov链,体现为用具有限状态数的Markov链来模拟签名信号统计特征变化的隐含的随机过程,另一个是一系列随机函数所组成的集合,体现为与Markov链的每一个状态相关联的观测序列的随机过程。设有观察序列Q=Q1Q2…Qn和状态集S={s1,s2,…sn},一个有n个状态的隐马尔可夫模型λ可以表示(π,A,B),其中π为初始状态概率矢量;A={aij}为状态转移概率矩阵,其中aij=P{qt+1=sj|qt=st},1≤i,j≤N;B={bj}Qt)}为观察符号概率分布,若B有M个观察值{v1,v2…vm},则bj(Qt)=P{Qt=vk|qt=sj,1≤j≤N,1≤k≤M.
HMM的使用涉及到训练和分类两个阶段,训练阶段包括指定一个HMM的隐藏状态数,并且优化相应的状态转换和输出概率以便于产生的输出符号与在特定的运动类别之内所观察到的图像特片相匹配。匹配阶段涉及到一个特定的HMM可能产生相应于所观察图像特征的测试符号序列的概率计算。利用HMM进行签名验证同样由两个阶段组成,即利用训练样本估计HMM模型参数和利用HMM评价测试签名。这两个过程目前都有成熟的算法,HMM参数的估计可用Baum-Welch参数估计算法或Segmental K-means算法;对测试样本的评价,可以用Forward-Backward迭代算法估计签名满足模型的概率,或用Viterbi最优状态搜索算法计算签名过程经过的最优状态。因此,利用HMM模型的关键在于HMM类型的选择和一些参数的选择以及阀值的估计。

2.4 基于小波变换的方法
小波变换是国际上公认的最新频率分析工具,由于其“自适应性”和“数学显微镜性质”而成为许多学科共同关注的焦点,在信号处理中起着至关重要的作用。目前小波技术在签名验证的特征撮上用得较多。文献则采用以高斯函数的二阶导数作为小波基的小波变换技术来进行拐点提取,然后以该方法为基础,进行不同签名之间拐点序列的匹配;最后再利用提敢的拐点来对签名进行分段和段-段对应处理。文献采用离散小波变换来分解签名的参数特征,特片提取用到自适应算法,匹配则选择动态规划方法,初步试验取得较好的效果。
另外,在当前的计算机视觉和模式识别中取得成功应用的Gabor变换也和小波变换一样,具有频率和方向选择性,在近年的签名通信班下研究中引起起众多学者的重视。但Gabor变换和小波变换都有着运算量太大的缺点。
2.5 基于神经网络的方法
神经网络是一个非常实用的分类工具,具有适应性,能够实现非线性的分类问题,近十年来有很多学者将此方法用于签名验证中。该方法的优势在于避免了复杂的特片提取工作,可以通过自学习获得其他方法难以实现的关于签名鉴定的规律和规则的隐形表达。因为签名的特片信息数量巨大而签名的训练样本数很少,所以神经网络的节点数不能太大,否则网络将不能训练。
文献从签名识判的不确定性出发,提出了将Bayes网络与前馈神经网络相结合的概率神经网络模型。它的第一层是输入层,其传递函数是线性的;第二层是隐层,该层单元的状态函数是概率密度;第三层是累加层,如果输出结果表示分类,那么,该层便是将属于某类的概率累计,从而得到输入样本属于该类的最大可能性。该网络具有训练时间短和能产生Bayes后验概率的输出的特点。
2.6 其他方法
其他方法还有很多,每种方法各有其优缺点,如AR模型、纹理分析、决策树等。例如纹理分析方法多用于仅拥有静态信息的离线签名验证中,但笔者认为,倘若能将书写速度、运笔压力等动态信息转化为图像中的静态表示,也就是对动态信息作静态化映射表示,那么也可用于在线签名鉴定。经试验,可将运笔压力的等级设为256级,对应为图像像素的灰度变化256级,其后进行图像纹理分析。此方法的实际应用有待深入研究。文献将物理学中的数据场思想引入签名鉴别中,把签名所形成的四个时序序列(压力、压力变化等、速度和加速度)点作为场中的数据点来看待,形成四类数据场,再从场中提取特征,很有新意。
目前,国内有很多企业参与了签名览定技术的研发,但大多数是引进国外签名验证模块进行系统集成,只有少数企业拥有自己的算法,并且产品价格高,性能不稳定。相比之下,国外的签名鉴定技术从数据采集系统到处理、识别算法都比较成熟。许多公司都有专门的机构从事该项技术的研发与应用,包括IBM、Cyber-SIGN、美国智通、日本富士通等,其中美国智能公司在此领域的研究独树一帜。
鉴于目前的研究状况,笔者认为采用单一方法的生物身份鉴别技术因其局限性终将淘汰,未来的发展方向将是多种方法用于签名特征进行数据融合,以及基于多生物特征信息融合的身份认证,目前已有研究表明利用签名和指纹结合、签名和语音结合等方法进行身份认证能显著地提高鉴别的准确性。另外,结合生物特征与数字签名、数字水印的网络商务系统也将纷纷出台。如何进一步改进识别算法,降低系统的误判率,同时缩短识别时间,建立人类书写动力学模型等,这些都是身份认证技术应该追求的目标。
签名作为人的一种行为特征,与其它生物特征相比,具有非侵犯性、易为人所接受等特点。随之产生的签名鉴定(也称签名验证)技术在模式识别、信息处理领域都属前沿课题。签名鉴定分为离线签名鉴定和在线签名鉴定两种。前者是通过扫描仪、摄像机等输入设备,将原始的手写签名输入到计算机里,然后进行分析与鉴定;后者是通过手写板实时采集书写人的签名信息,除了可以采集签名位置等静态信息,还可以记录书写时的速度、运笔压力、握笔倾斜度等动态信息。显然,较离线签名鉴定而言,在线签名鉴定可利用的信息量更多,不易伪造,同时难度也更大。

1 在线手写签名验证系统
1.1 算法流程
典型的在线手写签名验证系统包括四个主要的技术环节,其算法流程如图1所示。首先是签名信息的数据获取,就是经输入设备采集实时的手写签名信息后输入计算机。然后是预处理,过程包括去噪、归一化等操作,目的是将采集到的数据变成适宜于进行特片提取的形式。下一步特征提取。从预处理后的数据中提取能充分反映各人书写风格,同时又相对稳定的特征。最后是特征匹配和判决,即采用某种判别规则,将提取的特征信息与标准签名样本进行匹配,得出鉴别结果。经过程是一对一的匹配过程,即验证输入签名人的身份是否属实。
1.2 系统结构
出于网络安全与高效率的考虑,在线签名鉴定系统的设计一般采用C/S结构来实现基于网络的异地鉴定,信息采集端应与验证端分离,信息存储和传输必须是在加密机制基础上实现,系统结构如图2所示。当需要认证时,用户在配备手写板的网络终端签名,客户端获得有效信息并作预处理与特征提取操作后,将所得信息序列经通讯模块加密后通过互联网传输给服务器,进而完成相应的解密、在数据库中的ID检索及匹配判决,并将鉴定结果返回给客户端。这种信息采集模块下传输签名特征信息的方式,极大增强了整个认证系统架构的安全性与灵活性。

2 特征提取与匹配方法
在线签名验证系统的性能如何,主要取决于特征提取方法和分类器设计的好坏,而这一切都由算法的优劣所决定。早期研究较多的方法有基于结构特片的方法和基于相关匹配的方法等。目前鉴别方法主要有两个研究方向:一个是特片函数法,就是包含所有签名采样点的时间序列被看成重要的特片信息,因而被测签名将和模板签名进行相应的时间序列间的匹配比较,具体应用的方法包括动态时间规整算法、签名分段算法、点-点匹配方法等等;另一个是特征参数法,是采用一系列的特征值构成的特征向量,这些特征值一般人为选取以试图表征签名的签名特征信息,具体应用的方法包括隐马尔可夫模型、基于神经网络的方法和小波变换方法等。
2.1 动态时间规整(DTW)
动态时间规整是一种非线性优化方法,具有概念简单、算法鲁棒的优点,早期广泛应用于语音识别中。对于DTW而言,既使测试序列模式与参考序列模式的时间尽度不能完全一致,只要时间次序约速存在,它仍然较好地完成测试序列和参考序列之间的模式匹配。由于任何人签名都有一定的波动性,所以没有办法对签名数据一对一地进行匹配,由此用到该动态规划方法。
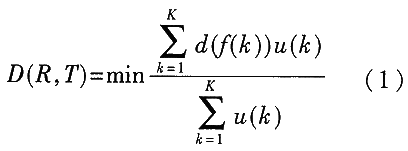
如图3所示,假设有两特征信号人R={r(i) 1≤i≤m}和T={t(j)|1≤i≤n},R为模板特征信号的总帧数,m为参考帧的时序标号,T为用来测试的特征信号的总帧数,n为测试帧的时序标号。而R、T间的时间变化关系可由时间规整函数F={f(k)|≤k≤kf}来表示,其中f(k)=(r,(k),t(k)),代表在作k次特片匹配时,T中第t(k)帧与A中第r(k)帧比较。设d(f(k))表示将模板中的第j帧与测试序列的第帧进行匹配的局部匹配距离。
D(R,T)作为模板A与测试信号B的匹配路径,其算式如下:

其中u(k)为匹配点f(k)匹配距离的加权系数。
此算法的关键就是求解该函数,具体实现可用动态规划的方法。设(r(k),t(k))(即f(k))为规整路径上的一点,则下一点可取为(r(k+1),t(k))r(k),t(k+1))r(k+1),t(k+1)),这将由点r(k),t(k)到这三点的距离确定,取距离最小者为下一点。利用此方法,可从起始点递归求出规整路径,同时也可求出D(R,T)。
文献提出一种非线性局部寻优时间弯曲校正方法,不仅实现了对信息序列不同局部的非等强度校正,而且很好地保证了序列的单调性和连续性,试验的正确率为96%。
2.2 签名笔划分段和点-点匹配方法
该方法先对签名进行分段,然后从签名笔划中提取新的特征,接着每一对相应的笔段中的点经由点-点的映射算法得到最后的匹配映射结果,具体实现方法可参考文献。文献基于对签名图像结构复杂性均衡分解的思想,提出了一种基本于骨架的签名分段算法。该方法首先对签名进行骨架提取,然后依据结构复杂度均衡的原则,对骨架进行分段,最后把所得的骨架分段复原成原始签名中的分段。具体算法为:
(1)从整个签名图像的骨架中提取出并记下所有的交叉点和端点;
(2)从上到下,从左到右搜索第1个端点;
(3)从该端点开始沿骨架进行步进,按方向码(用来描述图像的边沿骨架等图像特征)计算前进中的复杂度。若复杂达到1个给不定期的阈值后,即把刚走过的全部点作为一个分段,抹去刚走过的除交叉点之外的点,直到抹去骨架中所有的点。经实验,该算法既达到了把签名的整体复杂度均衡局部化的目的,又基本上保持了真实签名分段在数量上和结构上的稳定性,降低了各种由于外部因素引起的类内特性之间的差别,突出了类间特性的表现。
2.3 隐马尔可夫模型(HMM)
HMM作为信号的一种统计模型,目前广泛应用于模式识别、图像处理的各个领域。HMM是一个由两种机理构成的随机过程:一个机理是内在的有限状态Markov链,体现为用具有限状态数的Markov链来模拟签名信号统计特征变化的隐含的随机过程,另一个是一系列随机函数所组成的集合,体现为与Markov链的每一个状态相关联的观测序列的随机过程。设有观察序列Q=Q1Q2…Qn和状态集S={s1,s2,…sn},一个有n个状态的隐马尔可夫模型λ可以表示(π,A,B),其中π为初始状态概率矢量;A={aij}为状态转移概率矩阵,其中aij=P{qt+1=sj|qt=st},1≤i,j≤N;B={bj}Qt)}为观察符号概率分布,若B有M个观察值{v1,v2…vm},则bj(Qt)=P{Qt=vk|qt=sj,1≤j≤N,1≤k≤M.
HMM的使用涉及到训练和分类两个阶段,训练阶段包括指定一个HMM的隐藏状态数,并且优化相应的状态转换和输出概率以便于产生的输出符号与在特定的运动类别之内所观察到的图像特片相匹配。匹配阶段涉及到一个特定的HMM可能产生相应于所观察图像特征的测试符号序列的概率计算。利用HMM进行签名验证同样由两个阶段组成,即利用训练样本估计HMM模型参数和利用HMM评价测试签名。这两个过程目前都有成熟的算法,HMM参数的估计可用Baum-Welch参数估计算法或Segmental K-means算法;对测试样本的评价,可以用Forward-Backward迭代算法估计签名满足模型的概率,或用Viterbi最优状态搜索算法计算签名过程经过的最优状态。因此,利用HMM模型的关键在于HMM类型的选择和一些参数的选择以及阀值的估计。

2.4 基于小波变换的方法
小波变换是国际上公认的最新频率分析工具,由于其“自适应性”和“数学显微镜性质”而成为许多学科共同关注的焦点,在信号处理中起着至关重要的作用。目前小波技术在签名验证的特征撮上用得较多。文献则采用以高斯函数的二阶导数作为小波基的小波变换技术来进行拐点提取,然后以该方法为基础,进行不同签名之间拐点序列的匹配;最后再利用提敢的拐点来对签名进行分段和段-段对应处理。文献采用离散小波变换来分解签名的参数特征,特片提取用到自适应算法,匹配则选择动态规划方法,初步试验取得较好的效果。
另外,在当前的计算机视觉和模式识别中取得成功应用的Gabor变换也和小波变换一样,具有频率和方向选择性,在近年的签名通信班下研究中引起起众多学者的重视。但Gabor变换和小波变换都有着运算量太大的缺点。
2.5 基于神经网络的方法
神经网络是一个非常实用的分类工具,具有适应性,能够实现非线性的分类问题,近十年来有很多学者将此方法用于签名验证中。该方法的优势在于避免了复杂的特片提取工作,可以通过自学习获得其他方法难以实现的关于签名鉴定的规律和规则的隐形表达。因为签名的特片信息数量巨大而签名的训练样本数很少,所以神经网络的节点数不能太大,否则网络将不能训练。
文献从签名识判的不确定性出发,提出了将Bayes网络与前馈神经网络相结合的概率神经网络模型。它的第一层是输入层,其传递函数是线性的;第二层是隐层,该层单元的状态函数是概率密度;第三层是累加层,如果输出结果表示分类,那么,该层便是将属于某类的概率累计,从而得到输入样本属于该类的最大可能性。该网络具有训练时间短和能产生Bayes后验概率的输出的特点。
2.6 其他方法
其他方法还有很多,每种方法各有其优缺点,如AR模型、纹理分析、决策树等。例如纹理分析方法多用于仅拥有静态信息的离线签名验证中,但笔者认为,倘若能将书写速度、运笔压力等动态信息转化为图像中的静态表示,也就是对动态信息作静态化映射表示,那么也可用于在线签名鉴定。经试验,可将运笔压力的等级设为256级,对应为图像像素的灰度变化256级,其后进行图像纹理分析。此方法的实际应用有待深入研究。文献将物理学中的数据场思想引入签名鉴别中,把签名所形成的四个时序序列(压力、压力变化等、速度和加速度)点作为场中的数据点来看待,形成四类数据场,再从场中提取特征,很有新意。
目前,国内有很多企业参与了签名览定技术的研发,但大多数是引进国外签名验证模块进行系统集成,只有少数企业拥有自己的算法,并且产品价格高,性能不稳定。相比之下,国外的签名鉴定技术从数据采集系统到处理、识别算法都比较成熟。许多公司都有专门的机构从事该项技术的研发与应用,包括IBM、Cyber-SIGN、美国智通、日本富士通等,其中美国智能公司在此领域的研究独树一帜。
鉴于目前的研究状况,笔者认为采用单一方法的生物身份鉴别技术因其局限性终将淘汰,未来的发展方向将是多种方法用于签名特征进行数据融合,以及基于多生物特征信息融合的身份认证,目前已有研究表明利用签名和指纹结合、签名和语音结合等方法进行身份认证能显著地提高鉴别的准确性。另外,结合生物特征与数字签名、数字水印的网络商务系统也将纷纷出台。如何进一步改进识别算法,降低系统的误判率,同时缩短识别时间,建立人类书写动力学模型等,这些都是身份认证技术应该追求的目标。
神经网络 相关文章:
- 基于音频信号的轴承故障诊断方法(03-17)
- 基于DSP的工业缝纫机控制系统设计(09-23)
- 智能门禁报警系统的仿真应用(10-20)
- 光电鼠标传感器的精密测量与控制系统(04-13)
- 基于双处理器的点焊控制系统的硬件设计(07-01)
- 凝气器污脏程度在线监测仪的研制(07-01)
