交流永磁同步电机数字伺服技术
时间:09-27
来源:互联网
点击:
伺服技术是现代工业重要的支柱性技术,随着近年来不断的发展,交流伺服在很多场合逐步取代了以往的直流伺服技术,而三相交流永磁同步电动机(PermanentMagnetSynchronousMotor,简称PMSM)是交流永磁伺服电动机的一种,随着永磁体性能的提高和价格的下降,以及由永磁取代绕线式转子中的励磁绕组所带来的一系列优点如转子无发热问题、控制系统简单、具有较高的运行效率和较高的运行速度等等。在数控机床,机器人等小功率应用场合,已获得了广泛应用。
随着现代工业对精密化、高速化、高性能的要求的不断发展,传统的控制器在高要求的场合已经不能够胜任,在很多要求高实时性,高效率的场合,就必须要用专门的数字信号处理器(DSP)来代替传统的控制器的部分功能。特别是在控制算法复杂或对算法进行改进优化的时候,DSP独特的快速计算的能力就明显的体现出来。
另外,随着集成电路制造技术的进步和电力电子技术的发展,交流伺服也得到了长足的发展。集三相逆变器和保护电路、隔离电路、能耗制动电路等功能为一体的智能功率模块、先进的电力电子器件的出现、使交流伺服控制更方便、功耗更低、开关时间更短、变频范围更宽、性能更优越。这些都使交流伺服相对直流伺服体现出了明显的优越性。
1 系统概述
交流伺服数字化系统的硬件由DSP作为信号处理器,用旋转编码器和电流传感器提供反馈信号,智能功率模块IPM作为逆变器,经传感器出来的信号经过滤波整形等处理后反馈给DSP进行运算,DSP经过对参考信号和反馈信号的处理运算来调节伺服系统的电流环,速度环,和位置环的控制,最后输出PWM信号经过隔离驱动IPM模块实现电机的伺服闭环控制。系统的硬件结构如图1所示。
系统的控制为三环控制方式,位置控制是外环,也是最终目标,速度控制是中环,电流控制是内环。为了保证动态响应速度和定位时不产生震荡,电流环和速度环均采用PID调节,位置调节器采用PI调节。系统的控制框图如图2:
编码器检测的转子位置实际信号与系统给定位置信号进行比较,比较后的差值经位置调节器PI调节后输出转子转速给定信号,给定转速信号再与编码器检测的实际速度信号进行比较,比较后的差值经速度调节器调节后,输出给定电流指令值,在于电流反馈实际值比较后进行PWM控制。
2 矢量控制
在同步电机中,励磁磁场与电枢磁通势间的空间角度不是固定的,因此调节电枢电流就不能直接控制电磁转矩。通过电机的外部控制系统,对电枢磁通势相对励磁磁场进行空间定向控制,控制两者之间的角度保持固定值,同时对电枢电流的幅值也进行控制,这种控制方式就称为矢量控制。
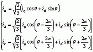
矢量控制也就是通过控制两相的转子参考坐标d-q轴的电流来等效控制电枢的三相电流。通过前面的系统控制框图可以清楚理解这种等效,可以用下面的公式表示:
由电机非负载轴端安装的编码器随时检测转子磁极位置,不断的取得位置角信息,通过检测实时的知道了θ,也就是说能够进行实时的坐标变化,变换后的电流对逆变器进行控制,产生PWM波形去控制电机。
3 位置及速度的检测
交流伺服电机内装有编码器进行位置及速度的测量,大多数情况下,直接从编码器出来的信号波形不规则,还不能直接用于控制,信号处理和远距离传输,所以要对信号进行整形和滤波变成矩形波后再反馈给DSP,处理后的两路相互正交的编码器信号A、B经过电压变换直接送入DSP的QEP引脚,经译码逻辑单元产生转向信号和4倍频的脉冲信号。转向信号是根据两路信号的相位超前滞后决定的。由于存在正反转的问题,要求计数器具有可逆性,所以把通用定时器2设置为定向增减计数模式,把倍频后的正交编码脉冲作为定时器2的输入时钟进行计数,计数的方向由转向信号决定,如果QEP1的输入相位超前,则增计数,反之则减计数。位置和转速由脉冲数和脉冲频率就可以决定。每转的总脉冲数用M表示,T1时刻的脉冲数为m1,则电机转过的角度就可以根据下式计算出来。
如果是多转的情况下,再配合编码器的Z相零位脉冲的计数值和相应定时器2的清零,就可以知道电机轴转了多少圈多少角度了。电机转子转速的计算可以根据MT测速法,确定编码器的速度公式如下:
M1—定时间内计数器记录的编码器脉冲数;
M2—定时间内记录的DSP的时钟脉冲数;
N—编码器线数,也就是倍频前的编码器的脉冲数;
Fclk—DSP的时钟脉冲频率。
4 结语
综上所述,本文研究的数字交流伺服驱动器,实行了模块化设计,硬件结构简单,软件编程容易。可以轻松实现PC机或者PLC与控制器的通信,这样就实现了上位机能够接受控制系统的实时参数和向伺服控制系统传递参数,对伺服系统进行直接的控制。
随着现代工业对精密化、高速化、高性能的要求的不断发展,传统的控制器在高要求的场合已经不能够胜任,在很多要求高实时性,高效率的场合,就必须要用专门的数字信号处理器(DSP)来代替传统的控制器的部分功能。特别是在控制算法复杂或对算法进行改进优化的时候,DSP独特的快速计算的能力就明显的体现出来。
另外,随着集成电路制造技术的进步和电力电子技术的发展,交流伺服也得到了长足的发展。集三相逆变器和保护电路、隔离电路、能耗制动电路等功能为一体的智能功率模块、先进的电力电子器件的出现、使交流伺服控制更方便、功耗更低、开关时间更短、变频范围更宽、性能更优越。这些都使交流伺服相对直流伺服体现出了明显的优越性。
1 系统概述
交流伺服数字化系统的硬件由DSP作为信号处理器,用旋转编码器和电流传感器提供反馈信号,智能功率模块IPM作为逆变器,经传感器出来的信号经过滤波整形等处理后反馈给DSP进行运算,DSP经过对参考信号和反馈信号的处理运算来调节伺服系统的电流环,速度环,和位置环的控制,最后输出PWM信号经过隔离驱动IPM模块实现电机的伺服闭环控制。系统的硬件结构如图1所示。

图1硬件结构图
系统的控制为三环控制方式,位置控制是外环,也是最终目标,速度控制是中环,电流控制是内环。为了保证动态响应速度和定位时不产生震荡,电流环和速度环均采用PID调节,位置调节器采用PI调节。系统的控制框图如图2:
图2控制系统框图
编码器检测的转子位置实际信号与系统给定位置信号进行比较,比较后的差值经位置调节器PI调节后输出转子转速给定信号,给定转速信号再与编码器检测的实际速度信号进行比较,比较后的差值经速度调节器调节后,输出给定电流指令值,在于电流反馈实际值比较后进行PWM控制。
2 矢量控制
在同步电机中,励磁磁场与电枢磁通势间的空间角度不是固定的,因此调节电枢电流就不能直接控制电磁转矩。通过电机的外部控制系统,对电枢磁通势相对励磁磁场进行空间定向控制,控制两者之间的角度保持固定值,同时对电枢电流的幅值也进行控制,这种控制方式就称为矢量控制。
矢量控制也就是通过控制两相的转子参考坐标d-q轴的电流来等效控制电枢的三相电流。通过前面的系统控制框图可以清楚理解这种等效,可以用下面的公式表示:
(1)
由电机非负载轴端安装的编码器随时检测转子磁极位置,不断的取得位置角信息,通过检测实时的知道了θ,也就是说能够进行实时的坐标变化,变换后的电流对逆变器进行控制,产生PWM波形去控制电机。
3 位置及速度的检测
交流伺服电机内装有编码器进行位置及速度的测量,大多数情况下,直接从编码器出来的信号波形不规则,还不能直接用于控制,信号处理和远距离传输,所以要对信号进行整形和滤波变成矩形波后再反馈给DSP,处理后的两路相互正交的编码器信号A、B经过电压变换直接送入DSP的QEP引脚,经译码逻辑单元产生转向信号和4倍频的脉冲信号。转向信号是根据两路信号的相位超前滞后决定的。由于存在正反转的问题,要求计数器具有可逆性,所以把通用定时器2设置为定向增减计数模式,把倍频后的正交编码脉冲作为定时器2的输入时钟进行计数,计数的方向由转向信号决定,如果QEP1的输入相位超前,则增计数,反之则减计数。位置和转速由脉冲数和脉冲频率就可以决定。每转的总脉冲数用M表示,T1时刻的脉冲数为m1,则电机转过的角度就可以根据下式计算出来。
(2)
如果是多转的情况下,再配合编码器的Z相零位脉冲的计数值和相应定时器2的清零,就可以知道电机轴转了多少圈多少角度了。电机转子转速的计算可以根据MT测速法,确定编码器的速度公式如下:
(3)
M1—定时间内计数器记录的编码器脉冲数;
M2—定时间内记录的DSP的时钟脉冲数;
N—编码器线数,也就是倍频前的编码器的脉冲数;
Fclk—DSP的时钟脉冲频率。
4 结语
综上所述,本文研究的数字交流伺服驱动器,实行了模块化设计,硬件结构简单,软件编程容易。可以轻松实现PC机或者PLC与控制器的通信,这样就实现了上位机能够接受控制系统的实时参数和向伺服控制系统传递参数,对伺服系统进行直接的控制。
电动机 机器人 DSP 集成电路 电力电子 逆变器 电路 电子 编码器 电流 传感器 PWM 电压 PLC 相关文章:
- 基于DSP高精度伺服位置环设计(06-21)
- 基于DSP的工业缝纫机控制系统设计(09-23)
- 无传感器交流电动机控制技术提高了运行效率(10-15)
- 一种变频调速系统的SVPWM控制设计(02-03)
- FPGA在步进电机控制中的应用(03-07)
- 用C8051F构成的采集与控制系统(03-09)
