现场总线系统抗干扰的实现与应用
时间:09-14
来源:互联网
点击:
1 引言
由于计算机技术、微电子技术、通讯技术等在自控领域广泛应用,抗干扰技术就更显得尤为重要。实际生产现场环境极其复杂,对自控系统产生的干扰已经成为不可能回避的问题。作为控制系统重要组成部分的现场总线,处在复杂的现场环境中,不可避免地存在各种各样的干扰,因此,提高现场总线的抗干扰能力,是控制系统高效运行的重要因素。
随着根据国际电工委员会IEC1158定义,安装在制造或过程区域的现场装置与控制室内的自动控制装置之间的数字式、串行、多点通信的数据总线称为现场总线。当今全球最流行的现场总线有FF总线(Fieldbus Foundation)、Profibus、Modbus等。不管哪一种现场总线,在介质上传输的都是数字信号,由于干扰噪音的原因,使得“1”变成了“0”,“0”变成了“1”,从而影响到现场总线的性能,甚至于现场总线不能正常工作。不管从理论分析,还是从经验获得,现场总线的抗干扰能力均低于4-20mA模拟电流信号,研究并解决现场总线的抗干扰问题非常重要。
2 现场存在的干扰源
2.1 轧钢厂主要干扰源来源
(1) 传动系统
是现场最大的干扰源。传动系统的总负荷,约占水处理车间总负荷的1/3以上,在系统的整流和逆变中,大功率电力电子元器件不定时的进行高速开和关的转换,产生大量的高频电磁波,污染整个车间,并且产生大量高次谐波,污染工频电网。
(2) 变压器、MCC柜、电力电缆和动力设备
这些设备均为工频,频率较低,干扰一般发生在近场,而近场中随着干扰源的特性不同,电场分量和磁场分量有着很大差别。特别是动力设备启动时,瞬间电流能够达到额定电流的6-11倍,会产生大电流冲击的暂态干扰。
(3) 来自工频电源的干扰
工频电源波形畸变和高次谐波,若未加隔离或滤波,便会通过供电系统而进入控制系统,从而影响整个现场总线。
(4) 导线接触不良产生的火花、电弧等;
(5) 三相供电不平衡产生的地电流、屏蔽层不共地产生的接地环流。
2.2 干扰的传播途径
(1) 由导线来传输,称为传导干扰。说处理车间的现场总线中,主要表现为地线阻抗干扰和来自工频电源的干扰。
(2) 通过空间以辐射的形式来传输,称为辐射干扰。
3 现场总线的抗干扰措施
3.1 抗远离干扰源
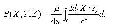
空间中任一点的磁感应强度B,服从毕奥-萨伐定律,见下式:
(1)
式中:
μ:磁导率,H/m;
dv:源点周围处的体积元,m3;
r:dv到场点(x,y,z)的距离,m;
er:源点指向场点的单位矢量。
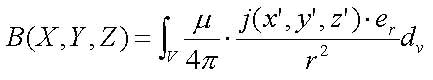
对于线形电流I,由Jdv=Idl,得:
(2)
式中:
dl—源点附近的长度,m
式(1)适用于用电设备周围的磁感应强度,式(2)适用于动力电缆周围的磁感应强度。可见,水处理车间的动力设备和电力电缆对现场总线的干扰,与距离的平方成反比,即随距离的增大,干扰衰减非常快。所以,现场总线设备远离用电设备,现场总线电缆与动力电缆分层桥架布置,都能起到很好的防干扰作用。远离干扰源,是防止辐射干扰的重要措施。
3.2 现场总线设备和电缆的屏蔽
随着现场总线屏蔽的机理,一是外来电磁波在金属表面产生涡流,从而抵消原来的磁场;二是电磁波在金属表面产生反射损耗,另一部分透射波在金属屏蔽层内传播过程中,衰减产生吸收损耗。现场总线的屏蔽是利用由导电材料制成的屏蔽并结合接地,来切断干扰源。
3.3 采用UPS电源或隔离变压器
采用UPS电源或隔离变压器可防止来自工频电源的干扰。
3.4 采用光缆传输信号
随着在现场总线传输速率高、传输距离远、干扰大的情况下,尽可能地采用光缆。采用光缆后,能够解决辐射干扰和传导干扰的众多问题。若在不共地两点之间,或者在接地状况很不好的情况下,采用光缆传输现场总线信号,可有效防止接地环流等干扰。特别是车间的自动控制系统与电机传动、MCC之间,容易存在接地电位差,或接地环流,要特别注意,选用光缆优于选用双绞线。
3.5 正确选择和安装水处理传动系统
水处理车间整流部分采用的是12脉冲整流,传动柜与电机之间的动力电缆,采用了良好屏蔽且三芯对称的电力电缆,有效的消除了5次和7次谐波。
4 现场总线的接地
良好的接地是现场总线防干扰的重要内容。所谓“地”,一般定义为电路或系统的零电位参考点;所谓接地,就是在两点之间建立传导通路,以便将电子设备或元件连接到“地”。接地的目的,一是保护操作人员和设备的安全,即“保护地”;二是为了抑制电磁干扰,提供电子测量中的电位基准,即“工作地”。图1是“工作地”的接地方法。

图1 接地的方法
单点接地,是指系统中所有电子设备或元件都并联连接到一个接地参考点。这种接地方式的优点是各电子设备或元件的地电位,只与本电子设备或元件的地线阻抗有关,不受其他回路的影响,缺点是此方法增加了地线间的干扰耦合,在高频情况下地线使阻抗大大增加。
多点接地,是指系统中各个需要接地的点都直接连接到距它最近的接地点上,以使接地线的长度最短。由于接地线很短,适用于高频情况,其缺点是易构成各种地回路,造成低频地回路干扰。
一般来说,工作频率在1MHz以下,可采用单点接地方式;工作频率在10MHz以上,可采用多点接地方式;当然,亦可单点接地和多点接地混合使用。接地线太长时,应采用多点接地,以防止接地线阻抗太大,干扰噪声电压太高。
在众多现场总线中,Profibus现场总线的发展尤为迅速,在自动化控制行业应用很广,现以Profibus-DP为例说明。Profibus-DP的通讯速率有9.6kbps、19.2kbps、187.5kbps、0.5Mbps、1.5Mbps、3Mbps、6Mbps、12Mbps,其中最常用的通讯速率为1.5Mbps,此时,Profibus双绞电缆的长度可达200m(使用中继器可延长)。
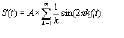
根据傅立叶分析可知,任何信号都可以由各种频率的正弦波组成。数字通讯的1、0信号是矩形波,可用下式表示:

式中:
A为基频振幅;
f1为基频频率。
可见,第k个频率kf1的振幅仅为基频的1/k,当k值很大时,振幅很小,通讯的带宽通常限定在前三个频率成分范围内。因此,当Profibus-DP通讯速率为1.5Mbps时,可认为通讯的频率为k=5时,即基频的5倍,1.5×5=7.5MHz,频率较高,接近10MHz,宜采用多点接地,应最大可能地减小接地阻抗。
随着Profibus-DP电缆采用RS-485双绞屏蔽电缆,由于通讯频率较高,干扰所产生的噪声电流只在屏蔽层外表流过(集肤效应),屏蔽层通常采用多点接地,一般在电缆屏蔽层两端接地,即始端和末端同时接地。若一端接地(始端或末端),仅仅有利于消除低频干扰。但在整个车间没有放置等电位接地板,不能实现等电位接地时,一端接地优于两端接地,一端接地可防止形成地回路。
5 现场总线在水处理控制系统中的抗干扰应用
莱钢大型轧机水处理系统的DCS系统采用国际知名公司提供的先进DCS系统,控制器采用AC450,MCC使用了INSUM系统,DCS与MCC之间采用Profibus-DP通讯连接,通讯速率1.5Mbps。图2为AC124控制器与MCC的连接框图。

图2 AC124控制器与MCC的连接框图
由于INSUM内部通讯使用LONbus,必须通过Gateway网关将LON bus转换为Profibus,控制器侧连接至CI541卡。调试初期,采用Profibus双绞屏蔽电缆,总长约150m,电缆两端通过D型插头接地,很快发现Profibus站点不能全部找到,有时甚至一个站点也找不到,通过实验,排除了其它方面的所有原因。最后发现,DCS侧电缆屏蔽不接地时,所有站点都能找到,于是采用了MCC侧单端接地。当时能够正常运行,但过一段时间就会突然出现某个Gateway运行中死机,复位后正常。分析原因:
(1) Gateway位于MCC柜内,大量电力设备存在,电磁干扰大。
(2) 此部分MCC靠近传动,电机传动产生的干扰影响。
(3) DCS与MCC之间存在接地电位差,以至于电缆屏蔽两端接地时,形成回路,干扰总线信号。
(4) 控制器侧工程师站亦出现大量CI541卡错误信息,怀疑大量误码存在。
随着鉴于以上原因,决定将Profibus屏蔽电缆换为光缆。换后情况改善,Gateway不再死机。
随着总之,在自动化控制系统的设计、安装、调试中,我们要特别注意现场 总线的干扰问题,并采取适当的措施,消除干扰的影响。
由于计算机技术、微电子技术、通讯技术等在自控领域广泛应用,抗干扰技术就更显得尤为重要。实际生产现场环境极其复杂,对自控系统产生的干扰已经成为不可能回避的问题。作为控制系统重要组成部分的现场总线,处在复杂的现场环境中,不可避免地存在各种各样的干扰,因此,提高现场总线的抗干扰能力,是控制系统高效运行的重要因素。
随着根据国际电工委员会IEC1158定义,安装在制造或过程区域的现场装置与控制室内的自动控制装置之间的数字式、串行、多点通信的数据总线称为现场总线。当今全球最流行的现场总线有FF总线(Fieldbus Foundation)、Profibus、Modbus等。不管哪一种现场总线,在介质上传输的都是数字信号,由于干扰噪音的原因,使得“1”变成了“0”,“0”变成了“1”,从而影响到现场总线的性能,甚至于现场总线不能正常工作。不管从理论分析,还是从经验获得,现场总线的抗干扰能力均低于4-20mA模拟电流信号,研究并解决现场总线的抗干扰问题非常重要。
2 现场存在的干扰源
2.1 轧钢厂主要干扰源来源
(1) 传动系统
是现场最大的干扰源。传动系统的总负荷,约占水处理车间总负荷的1/3以上,在系统的整流和逆变中,大功率电力电子元器件不定时的进行高速开和关的转换,产生大量的高频电磁波,污染整个车间,并且产生大量高次谐波,污染工频电网。
(2) 变压器、MCC柜、电力电缆和动力设备
这些设备均为工频,频率较低,干扰一般发生在近场,而近场中随着干扰源的特性不同,电场分量和磁场分量有着很大差别。特别是动力设备启动时,瞬间电流能够达到额定电流的6-11倍,会产生大电流冲击的暂态干扰。
(3) 来自工频电源的干扰
工频电源波形畸变和高次谐波,若未加隔离或滤波,便会通过供电系统而进入控制系统,从而影响整个现场总线。
(4) 导线接触不良产生的火花、电弧等;
(5) 三相供电不平衡产生的地电流、屏蔽层不共地产生的接地环流。
2.2 干扰的传播途径
(1) 由导线来传输,称为传导干扰。说处理车间的现场总线中,主要表现为地线阻抗干扰和来自工频电源的干扰。
(2) 通过空间以辐射的形式来传输,称为辐射干扰。
3 现场总线的抗干扰措施
3.1 抗远离干扰源
空间中任一点的磁感应强度B,服从毕奥-萨伐定律,见下式:
(1)式中:
μ:磁导率,H/m;
dv:源点周围处的体积元,m3;
r:dv到场点(x,y,z)的距离,m;
er:源点指向场点的单位矢量。
对于线形电流I,由Jdv=Idl,得:
(2)式中:
dl—源点附近的长度,m
式(1)适用于用电设备周围的磁感应强度,式(2)适用于动力电缆周围的磁感应强度。可见,水处理车间的动力设备和电力电缆对现场总线的干扰,与距离的平方成反比,即随距离的增大,干扰衰减非常快。所以,现场总线设备远离用电设备,现场总线电缆与动力电缆分层桥架布置,都能起到很好的防干扰作用。远离干扰源,是防止辐射干扰的重要措施。
3.2 现场总线设备和电缆的屏蔽
随着现场总线屏蔽的机理,一是外来电磁波在金属表面产生涡流,从而抵消原来的磁场;二是电磁波在金属表面产生反射损耗,另一部分透射波在金属屏蔽层内传播过程中,衰减产生吸收损耗。现场总线的屏蔽是利用由导电材料制成的屏蔽并结合接地,来切断干扰源。
3.3 采用UPS电源或隔离变压器
采用UPS电源或隔离变压器可防止来自工频电源的干扰。
3.4 采用光缆传输信号
随着在现场总线传输速率高、传输距离远、干扰大的情况下,尽可能地采用光缆。采用光缆后,能够解决辐射干扰和传导干扰的众多问题。若在不共地两点之间,或者在接地状况很不好的情况下,采用光缆传输现场总线信号,可有效防止接地环流等干扰。特别是车间的自动控制系统与电机传动、MCC之间,容易存在接地电位差,或接地环流,要特别注意,选用光缆优于选用双绞线。
3.5 正确选择和安装水处理传动系统
水处理车间整流部分采用的是12脉冲整流,传动柜与电机之间的动力电缆,采用了良好屏蔽且三芯对称的电力电缆,有效的消除了5次和7次谐波。
4 现场总线的接地
良好的接地是现场总线防干扰的重要内容。所谓“地”,一般定义为电路或系统的零电位参考点;所谓接地,就是在两点之间建立传导通路,以便将电子设备或元件连接到“地”。接地的目的,一是保护操作人员和设备的安全,即“保护地”;二是为了抑制电磁干扰,提供电子测量中的电位基准,即“工作地”。图1是“工作地”的接地方法。

图1 接地的方法
单点接地,是指系统中所有电子设备或元件都并联连接到一个接地参考点。这种接地方式的优点是各电子设备或元件的地电位,只与本电子设备或元件的地线阻抗有关,不受其他回路的影响,缺点是此方法增加了地线间的干扰耦合,在高频情况下地线使阻抗大大增加。
多点接地,是指系统中各个需要接地的点都直接连接到距它最近的接地点上,以使接地线的长度最短。由于接地线很短,适用于高频情况,其缺点是易构成各种地回路,造成低频地回路干扰。
一般来说,工作频率在1MHz以下,可采用单点接地方式;工作频率在10MHz以上,可采用多点接地方式;当然,亦可单点接地和多点接地混合使用。接地线太长时,应采用多点接地,以防止接地线阻抗太大,干扰噪声电压太高。
在众多现场总线中,Profibus现场总线的发展尤为迅速,在自动化控制行业应用很广,现以Profibus-DP为例说明。Profibus-DP的通讯速率有9.6kbps、19.2kbps、187.5kbps、0.5Mbps、1.5Mbps、3Mbps、6Mbps、12Mbps,其中最常用的通讯速率为1.5Mbps,此时,Profibus双绞电缆的长度可达200m(使用中继器可延长)。
根据傅立叶分析可知,任何信号都可以由各种频率的正弦波组成。数字通讯的1、0信号是矩形波,可用下式表示:

式中:
A为基频振幅;
f1为基频频率。
可见,第k个频率kf1的振幅仅为基频的1/k,当k值很大时,振幅很小,通讯的带宽通常限定在前三个频率成分范围内。因此,当Profibus-DP通讯速率为1.5Mbps时,可认为通讯的频率为k=5时,即基频的5倍,1.5×5=7.5MHz,频率较高,接近10MHz,宜采用多点接地,应最大可能地减小接地阻抗。
随着Profibus-DP电缆采用RS-485双绞屏蔽电缆,由于通讯频率较高,干扰所产生的噪声电流只在屏蔽层外表流过(集肤效应),屏蔽层通常采用多点接地,一般在电缆屏蔽层两端接地,即始端和末端同时接地。若一端接地(始端或末端),仅仅有利于消除低频干扰。但在整个车间没有放置等电位接地板,不能实现等电位接地时,一端接地优于两端接地,一端接地可防止形成地回路。
5 现场总线在水处理控制系统中的抗干扰应用
莱钢大型轧机水处理系统的DCS系统采用国际知名公司提供的先进DCS系统,控制器采用AC450,MCC使用了INSUM系统,DCS与MCC之间采用Profibus-DP通讯连接,通讯速率1.5Mbps。图2为AC124控制器与MCC的连接框图。

图2 AC124控制器与MCC的连接框图
由于INSUM内部通讯使用LONbus,必须通过Gateway网关将LON bus转换为Profibus,控制器侧连接至CI541卡。调试初期,采用Profibus双绞屏蔽电缆,总长约150m,电缆两端通过D型插头接地,很快发现Profibus站点不能全部找到,有时甚至一个站点也找不到,通过实验,排除了其它方面的所有原因。最后发现,DCS侧电缆屏蔽不接地时,所有站点都能找到,于是采用了MCC侧单端接地。当时能够正常运行,但过一段时间就会突然出现某个Gateway运行中死机,复位后正常。分析原因:
(1) Gateway位于MCC柜内,大量电力设备存在,电磁干扰大。
(2) 此部分MCC靠近传动,电机传动产生的干扰影响。
(3) DCS与MCC之间存在接地电位差,以至于电缆屏蔽两端接地时,形成回路,干扰总线信号。
(4) 控制器侧工程师站亦出现大量CI541卡错误信息,怀疑大量误码存在。
随着鉴于以上原因,决定将Profibus屏蔽电缆换为光缆。换后情况改善,Gateway不再死机。
随着总之,在自动化控制系统的设计、安装、调试中,我们要特别注意现场 总线的干扰问题,并采取适当的措施,消除干扰的影响。
电子 总线 电流 电力电子 变压器 电路 电压 自动化 相关文章:
- 一种新型防伪读码器的设计(01-01)
- 基于ARM与DSP的嵌入式运动控制器设计(04-25)
- 航天器DC/DC变换器的可靠性设计(02-12)
- 我国科学家人脸与笔迹识别领域获突破(04-29)
- 基于ARM核的AT75C220及其在指纹识别系统中的应用(05-24)
- 基于nRF2401智能小区无线抄表系统集中器设计(04-30)
