数字信号处理技术在电力网无功补偿中的应用
时间:09-01
来源:互联网
点击:
1 系统设计
图1是并联电容器静止补偿器(SVC)系统原理简图。其中检测控制器部分是系统的核心模块。该模块由80C196KC MCU、电压和电流的信号调理电路、输出报警、控制输出电路及为80C196KC工作而扩展的程序及数据存贮器等部分构成。80C196KC为16位单片机,运行速度高,数据处理快,并有很强的中断功能。另外80C196KC上自带8路10位A/D转换器,其分辨率及精度足以满足工业控制的精度要求。

三相电压、电流信号通过电压、电流互感器模块送到检测控制器,通过信号调理电路进入80C196KC的A/D转换通道,A/D转换通道中的6个通道用于三相电压、电流的检测,一个通道用于检测零线的状态,监测电网的三相平衡情况。
80C196KC通过对量化的电压、电流信号的处理,得到电力网各相的峰值、有效值、功率及功率因数后,决策是否进行电容的投、切或报警,并通过电容投、切执行器实现电容的投、切。电容投、切执行器模块负责在电压过零点对补偿电容进行投、切,以降低投、切电容对电网的影响并保证系统电容器组的安全。
2 系统功能的实现
实现系统功能的工作流程如图2所示。80C196KC经初始化后,开始对7个A/D通道进行周期采样。实现原理如下:利用80C196KC的HSO触发T2(定时器2)复位事件,由该事件产生一个软定时器中断, 在该中断服务程序中逐个通道启动A/D转换,并将A/D采样结果存入数组内(HSO触发定时中断的流程图略)。当完成一组可供80C196K CMCU处理的数据后,置采样数据完成标志,接着进行下一轮数据采样。
采样数据要能够实现80C196KC对被监测信号的时域和频域分析的需要。其中包括电压峰值的检测、各相电压、电流有效值的计算、各相电压电流之间相位差的计算,从而计算出各相交流电的无功功率、并对各相电压、电流的谐波谱分析等。设计要求能对15次以下的谐波含有量进行分析,根据奈奎斯特采样定理,采样频率必须大于两倍信号谱的最高频率(Ωs>2Ωh),15次谐波的频率的2倍为 1.5kHz;考虑到利用基-2的FFT算法,每个交流信号周期采样32点,则:

满足采样定理要求。其次是采样数问题,为了提高谱线的分辨率,进行DFT的数组长度愈长愈好,但这是以消耗长时间为代价的。考虑时间因素,DFT的数组长度定在256(8个基波周期)。工作于20MHz的80C196KC进行一次DFT所需时间约为1.3s,可实现 高精度信号谱分析。最后,A/D采样的间隔必须足够准确,这就要求HSO触发定时中断周期不受其他中断的影响。采用如下技术实现:程序中对每个高于HSO的中断源在中断服务程序中都设有进入中断标志位。在启动一个采样周期时,将这些中断标志位清零;在采样周期中,若MCU发现中断标志位不为零,则舍弃已采数据,立即重新开始新一轮采样周期。同时,在7个采样通道轮流采样期间,将所有可屏蔽中断关闭(A/D采样可用查询方式,若采用中断方式则不能关闭A/D中断),以保证采样间隔的一致性。理论和实践证明,对信号整周期的采样,可以最大程度的减小变换运算由于窗口效应带来的计算误差。
峰值和有效值可以用采样数组中任意抽取的32点(1周期数据)计算。有效值的计算式为:


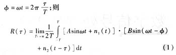
接下来求各相电压和电流的相位差。这里用对基波求解相位差的方法,以消除谐波对计算的影响。由于采样信号中含有谐波成分,首先要对采样数组进行数字滤波,然后再对各相电压和电流进行循环互相关计算,得到两者之间的相位差。采用6阶IIR切比雪夫数字滤波器,截止频率设为60Hz,滤波器用 Labview设计。由于IIR数字滤波器是基于无限长序列的数字滤波器,要达到理想的滤波效果,序列必须有足够长度。通过仿真,序列长度为96(点) 时,提取后32点作为滤波结果,再进行互相关计算,所求电压、电流间的相位差精度可以达到设计要求。利用互相关法计算两个正弦信号相位差的原理为:
设两个信号都是正弦函数,且频率相同;相位差为

式中n1和n2为信号噪声。由于信号和噪声,噪声和噪声之间是相互独立的,式(1)的计算结果为:

式(2)表明:两相频率相同的信号,其互相关函数与两信号间的相位差成余弦关系。根据上面的分析,实用中采用32点电压和电流信号的循环互相关运算,其算法为:

序列y每与序列x进行一步互相关运算后,将列首的数移到列尾,再进行第下一步互相关运算,直到k到 N-1为止。为加快运算速度,根据互相关函数的性质,具体步骤如下:
① 将电压数组序列取定,电流数组序列移位并与电压序列进行互相关运算,每计算一步,都与上一步的运算值进行比较,如果运算值变化趋势是从小到大,再从大到小,根据最大点处电流序列移位的步数,就可算出电压与电流间的相位差。此种情况电流是落后的(感性负载)。设两序列在第k步互相关运算取得最大值,则电压与电流的相位差为:

② 若k超过8(N/4)互相关运算仍未取得最大值,则应沿相反方向找互相关运算最大值(因为相位差不可能达到π/2)。这时电流数组序列取定,电压数组序列移位并与电流序列进行互相关运算,这种情况下的运算结果是超前的(容性负载)。
③ 若经过①、②两步都找不到互相关运算最大值,则需要在相位差的零点进行分段抛物插值,确定两信号之间的相位差,处理原理及方法见 ④。
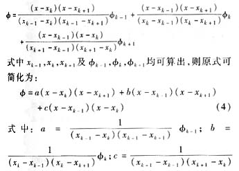
④ 相位差的分辨率问题:由式(3)计算出的相位差,其分辨率为或0.19635(弧度)=11.25(度),这个分辨率是极低的,远不满足设计精度要求。通过增加周期信号的采样点数可提高角度的分辨率,但受A/D采样速度的限制。可行的方法是采用分段插值的方法。由于互相关函数与两信号间的相位差成余弦关系,在极大值附近与抛物线很接近,所以,采用分段抛物插值的方法,能够取得最佳效果。具体做法是:
取三点 xk-1,xk,xk+1,且互相关运算在点xk取得最大值,按下列公式进行插值:

φk+1对式(4)求导并令φ′=0,解出相位差的插值点偏移量:
?

对96个采样点进行数字滤波后,用式(6)对互相关结果进行插值,计算所得两个信号相位差的精度在 0.1°左右,满足设计的精度要求。
根据式(6)可以判定电网各相的容性或感性,确定补偿电容的投、切方向;结合电压、电流有效值的计算公式,就可确定补偿电容的投、切量。
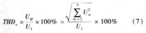
系统总谐波电压畸变率定义为:

式(7)中的Um为各次谐波电压分量的均方根值,U1为基波电压的均方根值。同理可求得总谐波电流畸变率。国标规定,低压电网(<1kV)总谐波电压畸变率(THD)小于5%。
控制器在完成无功功率检测计算后,按时间抽取基-2 FFT算法“分次”对各相电压、电流进行变换,求出基波及各次谐波分量值,进而计算出总谐波电压、电流畸变率,根据上限确定是否报警或投、切补偿电容。
所谓“分次”是指控制器每做一次三相无功功率的计算循环,只对一相电压或电流进行DFT变换,即6个工作循环才完成一次完整的谐波谱分析,目的是提高系统对无功功率判断的速度,更快地对功率因数进行补偿。
图1是并联电容器静止补偿器(SVC)系统原理简图。其中检测控制器部分是系统的核心模块。该模块由80C196KC MCU、电压和电流的信号调理电路、输出报警、控制输出电路及为80C196KC工作而扩展的程序及数据存贮器等部分构成。80C196KC为16位单片机,运行速度高,数据处理快,并有很强的中断功能。另外80C196KC上自带8路10位A/D转换器,其分辨率及精度足以满足工业控制的精度要求。

三相电压、电流信号通过电压、电流互感器模块送到检测控制器,通过信号调理电路进入80C196KC的A/D转换通道,A/D转换通道中的6个通道用于三相电压、电流的检测,一个通道用于检测零线的状态,监测电网的三相平衡情况。
80C196KC通过对量化的电压、电流信号的处理,得到电力网各相的峰值、有效值、功率及功率因数后,决策是否进行电容的投、切或报警,并通过电容投、切执行器实现电容的投、切。电容投、切执行器模块负责在电压过零点对补偿电容进行投、切,以降低投、切电容对电网的影响并保证系统电容器组的安全。
2 系统功能的实现
实现系统功能的工作流程如图2所示。80C196KC经初始化后,开始对7个A/D通道进行周期采样。实现原理如下:利用80C196KC的HSO触发T2(定时器2)复位事件,由该事件产生一个软定时器中断, 在该中断服务程序中逐个通道启动A/D转换,并将A/D采样结果存入数组内(HSO触发定时中断的流程图略)。当完成一组可供80C196K CMCU处理的数据后,置采样数据完成标志,接着进行下一轮数据采样。
采样数据要能够实现80C196KC对被监测信号的时域和频域分析的需要。其中包括电压峰值的检测、各相电压、电流有效值的计算、各相电压电流之间相位差的计算,从而计算出各相交流电的无功功率、并对各相电压、电流的谐波谱分析等。设计要求能对15次以下的谐波含有量进行分析,根据奈奎斯特采样定理,采样频率必须大于两倍信号谱的最高频率(Ωs>2Ωh),15次谐波的频率的2倍为 1.5kHz;考虑到利用基-2的FFT算法,每个交流信号周期采样32点,则:

满足采样定理要求。其次是采样数问题,为了提高谱线的分辨率,进行DFT的数组长度愈长愈好,但这是以消耗长时间为代价的。考虑时间因素,DFT的数组长度定在256(8个基波周期)。工作于20MHz的80C196KC进行一次DFT所需时间约为1.3s,可实现 高精度信号谱分析。最后,A/D采样的间隔必须足够准确,这就要求HSO触发定时中断周期不受其他中断的影响。采用如下技术实现:程序中对每个高于HSO的中断源在中断服务程序中都设有进入中断标志位。在启动一个采样周期时,将这些中断标志位清零;在采样周期中,若MCU发现中断标志位不为零,则舍弃已采数据,立即重新开始新一轮采样周期。同时,在7个采样通道轮流采样期间,将所有可屏蔽中断关闭(A/D采样可用查询方式,若采用中断方式则不能关闭A/D中断),以保证采样间隔的一致性。理论和实践证明,对信号整周期的采样,可以最大程度的减小变换运算由于窗口效应带来的计算误差。
峰值和有效值可以用采样数组中任意抽取的32点(1周期数据)计算。有效值的计算式为:


接下来求各相电压和电流的相位差。这里用对基波求解相位差的方法,以消除谐波对计算的影响。由于采样信号中含有谐波成分,首先要对采样数组进行数字滤波,然后再对各相电压和电流进行循环互相关计算,得到两者之间的相位差。采用6阶IIR切比雪夫数字滤波器,截止频率设为60Hz,滤波器用 Labview设计。由于IIR数字滤波器是基于无限长序列的数字滤波器,要达到理想的滤波效果,序列必须有足够长度。通过仿真,序列长度为96(点) 时,提取后32点作为滤波结果,再进行互相关计算,所求电压、电流间的相位差精度可以达到设计要求。利用互相关法计算两个正弦信号相位差的原理为:
设两个信号都是正弦函数,且频率相同;相位差为

式中n1和n2为信号噪声。由于信号和噪声,噪声和噪声之间是相互独立的,式(1)的计算结果为:

式(2)表明:两相频率相同的信号,其互相关函数与两信号间的相位差成余弦关系。根据上面的分析,实用中采用32点电压和电流信号的循环互相关运算,其算法为:

序列y每与序列x进行一步互相关运算后,将列首的数移到列尾,再进行第下一步互相关运算,直到k到 N-1为止。为加快运算速度,根据互相关函数的性质,具体步骤如下:
① 将电压数组序列取定,电流数组序列移位并与电压序列进行互相关运算,每计算一步,都与上一步的运算值进行比较,如果运算值变化趋势是从小到大,再从大到小,根据最大点处电流序列移位的步数,就可算出电压与电流间的相位差。此种情况电流是落后的(感性负载)。设两序列在第k步互相关运算取得最大值,则电压与电流的相位差为:

② 若k超过8(N/4)互相关运算仍未取得最大值,则应沿相反方向找互相关运算最大值(因为相位差不可能达到π/2)。这时电流数组序列取定,电压数组序列移位并与电流序列进行互相关运算,这种情况下的运算结果是超前的(容性负载)。
③ 若经过①、②两步都找不到互相关运算最大值,则需要在相位差的零点进行分段抛物插值,确定两信号之间的相位差,处理原理及方法见 ④。
④ 相位差的分辨率问题:由式(3)计算出的相位差,其分辨率为或0.19635(弧度)=11.25(度),这个分辨率是极低的,远不满足设计精度要求。通过增加周期信号的采样点数可提高角度的分辨率,但受A/D采样速度的限制。可行的方法是采用分段插值的方法。由于互相关函数与两信号间的相位差成余弦关系,在极大值附近与抛物线很接近,所以,采用分段抛物插值的方法,能够取得最佳效果。具体做法是:
取三点 xk-1,xk,xk+1,且互相关运算在点xk取得最大值,按下列公式进行插值:

φk+1对式(4)求导并令φ′=0,解出相位差的插值点偏移量:
?

对96个采样点进行数字滤波后,用式(6)对互相关结果进行插值,计算所得两个信号相位差的精度在 0.1°左右,满足设计的精度要求。
根据式(6)可以判定电网各相的容性或感性,确定补偿电容的投、切方向;结合电压、电流有效值的计算公式,就可确定补偿电容的投、切量。
系统总谐波电压畸变率定义为:

式(7)中的Um为各次谐波电压分量的均方根值,U1为基波电压的均方根值。同理可求得总谐波电流畸变率。国标规定,低压电网(<1kV)总谐波电压畸变率(THD)小于5%。
控制器在完成无功功率检测计算后,按时间抽取基-2 FFT算法“分次”对各相电压、电流进行变换,求出基波及各次谐波分量值,进而计算出总谐波电压、电流畸变率,根据上限确定是否报警或投、切补偿电容。
所谓“分次”是指控制器每做一次三相无功功率的计算循环,只对一相电压或电流进行DFT变换,即6个工作循环才完成一次完整的谐波谱分析,目的是提高系统对无功功率判断的速度,更快地对功率因数进行补偿。
电容 MCU 电压 电流 电路 单片机 电容器 滤波器 仿真 DSP 相关文章:
- 航天器DC/DC变换器的可靠性设计(02-12)
- 基于ARM核的AT75C220及其在指纹识别系统中的应用(05-24)
- 基于nRF2401智能小区无线抄表系统集中器设计(04-30)
- 卫星电源分系统可靠性设计与研究(02-12)
- 采用信号调理IC驱动应变片电桥传感器(05-26)
- 基于nRF2401智能无线火灾监控系统设计(04-01)
