介观压阻型微压力传感器介绍及设计
时间:08-20
来源:互联网
点击:
压力传感器应用广泛,例如汽车中的多路压力测量(如空气压力测量和轮胎系统、液压系统、供油系统的压力测量)、环境控制(如加热、通风和空气调节)中的压力测量、航空系统中的压力测量以及医学中动脉血液压力测量等。这里将在传统压力传感器中使用一种新原理一介观压阻效应口,即在共振隧穿电压附近,通过4个物理过程,将一个微弱的力学信号转化为一个较强的电学信号。
用基于介观压阻效应的共振隧穿薄膜替代传统的压阻式应变片作为敏感元件,通过理论分析和仿真计算验证了该结构对传感器灵敏度、固有频率的影响,从理论上证明了介观压阻效应原理可以提高压力传感器的灵敏度,扩大其测量频率的范围。
介观压阻效应及GaAs,AlAs/InGaAsDBRT结构薄膜
介观压阻效应的定义为“等效电阻的应力调制”,等效电阻是对共振隧效应的一种具体描述。由4个物理过程组成:①在力学信号下,纳米结构中的应力分布将发生变化;②一定条件下应力变化可引起内建电场的产生;③内建电场将导致纳米带结构中量子能级发生变化;④量子能级变化会引起共振隧穿电流变化。简言之,在共振隧穿附近,通过上述过程,可将一个微弱的力学信号转化。为一个较强的电学信号,体现出较大的压阻系数。这里所用的介观压阻效应元件为GaAs/A1As/InGaAs DBRT结构薄膜纳米级窄带隙材料。随着外部压力引起的拉伸应变的变化(如图1所示),DBRT结构的共振隧穿电流和阻抗显著变化。并且,阻抗应变输出可由外部电压有效调节。其优点是灵敏度高、灵敏度可调、灵敏度随温度变化小。

传感器结构设计及力学分析
所设计的压阻式压力微传感器,其制法是将N型硅腐蚀成厚10~25μm的膜片,并在一面扩散了4个阻值相等的P型电阻。硅膜片周边用硅杯固定,则当膜片两面有压力差时,膜片即发生变形,从而导致电阻变化。用微电路检测出这种电阻变化,通过计算即可得出压力变化如图2所示。

计算时假设:小挠度理论;压力是均匀作用于平膜片表面。由平膜片的应力计算公式可知:

当r0;
同样,当r=0.812R时,σT=0,且σr

这样即可组成差动全桥电路,测出压力P的变化。式中σri,σro分别为内、外电阻上所受径向力的平均值;(△R/R)i,(△R/R)分别为内、外电阻的相对变化。
根据膜的结构与应力计算公式,推出被测压力与应变片测出的应变关系:

式中:μ为硅材料的泊松比,μ=O.35;R,r,h分别为硅膜片的有效半径,计算半径,厚度;E为硅材料的模量,E=8.7Gpa;P为作用于平膜片上的压力;ω为平膜片的挠度;
经过分析,综合考虑设计的要求,初步设定:h=20μm,R=200μm。其固有频率可以按下式计算:

传感器的性能分析与计算
使用介观压阻效应原理代替压阻原理来检测压力,将圆膜片上的的压敏电阻换成GaAs/A1As/InGaAs DBRT结构薄膜。用传递矩阵法计算该薄膜在沿生长方向的应力变化下的输出响应,通过整个结构的隧穿电流密度可表示为:

式中:e为电子电荷的大小,m*为GoAs电子的有效质量,kB为玻尔兹曼常数,T为绝对温度,EF为费米能级,E1为入射电子垂直(纵向)能量。
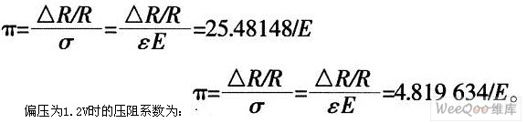
利用公式可计算出不同拉伸应变下隧穿电流随偏压的变化,如图4所示。图中实线、虚线分别表示0和5%的拉伸应变。计算偏压分别为0.75 V和1.2 V时的压阻系数为:


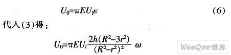
传感器的输出为:

设偏压为0.75 V设偏压为0.75 V,电桥的激励电压为2.5 V的情况下,该传感器的灵敏度S为:

结语
该结构的压力微传感器由于敏感元件与变换元件一体化,尺寸小,其固有频率很高,可以测量频率范围很宽的脉动压力。在不同的偏压下,该传感器的灵敏度不同。说明灵敏度可调节。同样结构的微压力传感器,如果敏感元件是硅或铜镍合金压敏电阻,其灵敏度分别为0.38x104V/m和O.17×104V/m。可见采用共振隧穿二极管做为敏感元件的微压力传感器其灵敏度较之传统的传感器得到了很大的提高。
用基于介观压阻效应的共振隧穿薄膜替代传统的压阻式应变片作为敏感元件,通过理论分析和仿真计算验证了该结构对传感器灵敏度、固有频率的影响,从理论上证明了介观压阻效应原理可以提高压力传感器的灵敏度,扩大其测量频率的范围。
介观压阻效应及GaAs,AlAs/InGaAsDBRT结构薄膜
介观压阻效应的定义为“等效电阻的应力调制”,等效电阻是对共振隧效应的一种具体描述。由4个物理过程组成:①在力学信号下,纳米结构中的应力分布将发生变化;②一定条件下应力变化可引起内建电场的产生;③内建电场将导致纳米带结构中量子能级发生变化;④量子能级变化会引起共振隧穿电流变化。简言之,在共振隧穿附近,通过上述过程,可将一个微弱的力学信号转化。为一个较强的电学信号,体现出较大的压阻系数。这里所用的介观压阻效应元件为GaAs/A1As/InGaAs DBRT结构薄膜纳米级窄带隙材料。随着外部压力引起的拉伸应变的变化(如图1所示),DBRT结构的共振隧穿电流和阻抗显著变化。并且,阻抗应变输出可由外部电压有效调节。其优点是灵敏度高、灵敏度可调、灵敏度随温度变化小。

传感器结构设计及力学分析
所设计的压阻式压力微传感器,其制法是将N型硅腐蚀成厚10~25μm的膜片,并在一面扩散了4个阻值相等的P型电阻。硅膜片周边用硅杯固定,则当膜片两面有压力差时,膜片即发生变形,从而导致电阻变化。用微电路检测出这种电阻变化,通过计算即可得出压力变化如图2所示。

计算时假设:小挠度理论;压力是均匀作用于平膜片表面。由平膜片的应力计算公式可知:

当r0;
同样,当r=0.812R时,σT=0,且σr

这样即可组成差动全桥电路,测出压力P的变化。式中σri,σro分别为内、外电阻上所受径向力的平均值;(△R/R)i,(△R/R)分别为内、外电阻的相对变化。
根据膜的结构与应力计算公式,推出被测压力与应变片测出的应变关系:

式中:μ为硅材料的泊松比,μ=O.35;R,r,h分别为硅膜片的有效半径,计算半径,厚度;E为硅材料的模量,E=8.7Gpa;P为作用于平膜片上的压力;ω为平膜片的挠度;
经过分析,综合考虑设计的要求,初步设定:h=20μm,R=200μm。其固有频率可以按下式计算:

传感器的性能分析与计算
使用介观压阻效应原理代替压阻原理来检测压力,将圆膜片上的的压敏电阻换成GaAs/A1As/InGaAs DBRT结构薄膜。用传递矩阵法计算该薄膜在沿生长方向的应力变化下的输出响应,通过整个结构的隧穿电流密度可表示为:

式中:e为电子电荷的大小,m*为GoAs电子的有效质量,kB为玻尔兹曼常数,T为绝对温度,EF为费米能级,E1为入射电子垂直(纵向)能量。
利用公式可计算出不同拉伸应变下隧穿电流随偏压的变化,如图4所示。图中实线、虚线分别表示0和5%的拉伸应变。计算偏压分别为0.75 V和1.2 V时的压阻系数为:


传感器的输出为:

设偏压为0.75 V设偏压为0.75 V,电桥的激励电压为2.5 V的情况下,该传感器的灵敏度S为:

结语
该结构的压力微传感器由于敏感元件与变换元件一体化,尺寸小,其固有频率很高,可以测量频率范围很宽的脉动压力。在不同的偏压下,该传感器的灵敏度不同。说明灵敏度可调节。同样结构的微压力传感器,如果敏感元件是硅或铜镍合金压敏电阻,其灵敏度分别为0.38x104V/m和O.17×104V/m。可见采用共振隧穿二极管做为敏感元件的微压力传感器其灵敏度较之传统的传感器得到了很大的提高。
传感器 压力传感器 电压 仿真 电阻 电流 电路 电子 二极管 相关文章:
- 多核及虚拟化技术在工业和安全领域的应用(05-23)
- 基于ARM核的AT75C220及其在指纹识别系统中的应用(05-24)
- 基于音频信号的轴承故障诊断方法(03-17)
- 采用信号调理IC驱动应变片电桥传感器(05-26)
- 基于nRF2401智能无线火灾监控系统设计(04-01)
- 家居安防无线监控报警系统(04-02)
