大气电场仪中相敏检波器的分析与设计
时间:08-10
来源:互联网
点击:
大气电场为一矢量,晴天时大气中存在着方向垂直向下的负电场,雷雨天时由于雷暴云的影响,大气中为方向垂直向上的正电场。大气电场仪在进行地面大气电场监测时,不仅要测量出被测电场的强度,还要辨别出被测电场的极性。电场的极性通常采用相敏检波的方法来区别,因此需要在电场仪的前置放大电路中加入相敏检波器。常用的相敏检波器有两种:一种由变压器和二极管桥组成,这种电路体积大,稳定性差;另一种则由模拟乘法器构成,性能上得到了很大提高,但价格高,调试麻烦。为此,在研制大气电场仪的过程中,根据大气电场仪探头的结构特点和大气电场测试中对检波器的要求,利用光电开关、四通道模拟开关和运放组合设计一种结构简单,性能稳定的相敏检波器。同时,为了对电场信号的极性进行有效可靠的鉴别,根据相敏检波理论,将通过调整光电开关的设置位置,保证感应电压信号与同步脉冲信号同相,以获得最大整流输出,从而准确辨别被测电场极性。
1 相敏检波电路设计
大气电场仪传感器探头如图1所示,动片与小叶片形状相似,且上下位置对应一致,均固定在电机轴上,由无刷电机带动按一定的频率同时旋转。感应片为分离的四片,相对的两片为一组,分为A,B两组,每组的形状与动片完全相同,动片和感应片均选用黄铜材料制成。

1.1 感应的微弱电压信号与同步脉冲信号
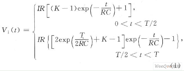
当探头中的电机带动动片和小叶片转动时,感应片上产生了交流感应电流信号,该交流电流信号经I-V转换电路后,得到交流感应电压信号V1(t),在一个周期T内其表达式为:

式中:I为电场仪探头输出的感应电流信号的幅度;R,C分别为I-V转换电路的反馈电阻和反馈电容;T为动片暴露和遮挡感应片A或B一次的时间;VRC为t=T/2时感应电压信号的等效幅度;K为一常数,

在动片转动的同时,小叶片按同样的频率ω周期,通过光电开关的凹槽,发光二极管的光路被周期切断或通过,使光电三极管处于导通和截止两种状态,因此,在第一个周期T内,同步脉冲信号为Vc(t),其表达式为:

经对电路实验证明,此检波电路能很好地滤除谐波成分,同时,通过观察滤波之后直流电压的正负,可以辨别出被测电场极性。实际电路中运放A1,A2均选用的是双电源运放OP07DP。

1.3 相敏检波电路工作原理
假如电场仪探头处于正电场中,探头的感应电压信号V1(t)和同步信号VC(t)分别经图3的检波器输入。
当V1(t)为负半周,VC(t)为低电平时,A点电压为负半周,B点电压为正半周,MC14066BCP中的模拟开关1与开关3断开,模拟开关4导通,则O4引脚输出为V2(t)的负半周,O3引脚输出为高阻状态;当V1(t)为正半周,Vc(t)为高电平时,A点电压为正半周,B点电压为负半周, MC14066BCP中的模拟开关1与开关3导通,模拟开关4断开,则O4引脚输出为高阻状态,O3引脚输出为V2(t)的负半周。在整个信号周期T内,检波输出信号V2(t)始终为负半周,该输出信号经反相滤波器滤波后,得到一正直流电压信号V3(t),因此根据V3(t)的极性,可以得出被测电场为正电场,其工作波形如图3(a)所示。
设在一个周期T内,动片旋转的角度为φ,也即小叶片旋转的角度为φ,则:

由于没有考虑电感对I-V转换电路的影响,在实际的操作中,应通过实验在-φ/(2π)ωRC{ln[1+exp(-π/(ωRC))]/2)~φ/4之间寻找出初始角φ′的最佳值。同时,由于没有考虑模拟开关的误差,在大气电场仪中还需要通过软件进行校准和补偿。

在电场仪设计中,根据式(5)可求得初始角φ′=33.23°,但实际选择φ′=37°。图4为被测电场在-600 V/m情况下,分别选取初始角φ′=0°和φ′=37°时,相敏检波电路的两组对比实验波形。波形1为I-V转换后的感应电压信号,频率为40 Hz,其幅值与被测电场的强度成正比;波形2为从模拟开关输出的全波检波信号即低通滤波器的输入信号,该电压信号的极性与被测电场的极性相反。通过观察两组实验波形可发现,当初始角φ′=O°时,由于微弱感应电压信号V1(t)与同步脉冲信号Vc(t)不同相,全波检波后的波形仍为一交流信号,不具有单一方向,经低通滤波器后将被滤除掉,得不到平稳的直流电压信号,而当初始角φ′设置为37°时,全波检波后为单一正方向脉动直流电压信号,即保证了微弱感应电压信号V1(t)与同步脉冲信号Vc(t)的同相。因此,经低通滤波器后输出一负极性直流电压信号,即可判断出被测电场为负电场,从而实现了被测电场极性的准确鉴别。
3 结 语
设计了一种由光电开关、四通道模拟开关和运放组成的相敏检波器,结合微弱感应电压信号和同步脉冲信号的特点,对其工作原理进行了分析。同时通过实验验证了正确放置光电开关的位置即设置小叶片的初始角φ′,可实现两路输入信号同频同相,从而获得最大的整流输出。所设计的相敏检波器已经在设计的大气电场仪中得到了应用,在实际监测和工作中性能稳定,能很好地鉴别出被测电场极性。
1 相敏检波电路设计
大气电场仪传感器探头如图1所示,动片与小叶片形状相似,且上下位置对应一致,均固定在电机轴上,由无刷电机带动按一定的频率同时旋转。感应片为分离的四片,相对的两片为一组,分为A,B两组,每组的形状与动片完全相同,动片和感应片均选用黄铜材料制成。

1.1 感应的微弱电压信号与同步脉冲信号
当探头中的电机带动动片和小叶片转动时,感应片上产生了交流感应电流信号,该交流电流信号经I-V转换电路后,得到交流感应电压信号V1(t),在一个周期T内其表达式为:

式中:I为电场仪探头输出的感应电流信号的幅度;R,C分别为I-V转换电路的反馈电阻和反馈电容;T为动片暴露和遮挡感应片A或B一次的时间;VRC为t=T/2时感应电压信号的等效幅度;K为一常数,

在动片转动的同时,小叶片按同样的频率ω周期,通过光电开关的凹槽,发光二极管的光路被周期切断或通过,使光电三极管处于导通和截止两种状态,因此,在第一个周期T内,同步脉冲信号为Vc(t),其表达式为:

经对电路实验证明,此检波电路能很好地滤除谐波成分,同时,通过观察滤波之后直流电压的正负,可以辨别出被测电场极性。实际电路中运放A1,A2均选用的是双电源运放OP07DP。

1.3 相敏检波电路工作原理
假如电场仪探头处于正电场中,探头的感应电压信号V1(t)和同步信号VC(t)分别经图3的检波器输入。
当V1(t)为负半周,VC(t)为低电平时,A点电压为负半周,B点电压为正半周,MC14066BCP中的模拟开关1与开关3断开,模拟开关4导通,则O4引脚输出为V2(t)的负半周,O3引脚输出为高阻状态;当V1(t)为正半周,Vc(t)为高电平时,A点电压为正半周,B点电压为负半周, MC14066BCP中的模拟开关1与开关3导通,模拟开关4断开,则O4引脚输出为高阻状态,O3引脚输出为V2(t)的负半周。在整个信号周期T内,检波输出信号V2(t)始终为负半周,该输出信号经反相滤波器滤波后,得到一正直流电压信号V3(t),因此根据V3(t)的极性,可以得出被测电场为正电场,其工作波形如图3(a)所示。
设在一个周期T内,动片旋转的角度为φ,也即小叶片旋转的角度为φ,则:

由于没有考虑电感对I-V转换电路的影响,在实际的操作中,应通过实验在-φ/(2π)ωRC{ln[1+exp(-π/(ωRC))]/2)~φ/4之间寻找出初始角φ′的最佳值。同时,由于没有考虑模拟开关的误差,在大气电场仪中还需要通过软件进行校准和补偿。

在电场仪设计中,根据式(5)可求得初始角φ′=33.23°,但实际选择φ′=37°。图4为被测电场在-600 V/m情况下,分别选取初始角φ′=0°和φ′=37°时,相敏检波电路的两组对比实验波形。波形1为I-V转换后的感应电压信号,频率为40 Hz,其幅值与被测电场的强度成正比;波形2为从模拟开关输出的全波检波信号即低通滤波器的输入信号,该电压信号的极性与被测电场的极性相反。通过观察两组实验波形可发现,当初始角φ′=O°时,由于微弱感应电压信号V1(t)与同步脉冲信号Vc(t)不同相,全波检波后的波形仍为一交流信号,不具有单一方向,经低通滤波器后将被滤除掉,得不到平稳的直流电压信号,而当初始角φ′设置为37°时,全波检波后为单一正方向脉动直流电压信号,即保证了微弱感应电压信号V1(t)与同步脉冲信号Vc(t)的同相。因此,经低通滤波器后输出一负极性直流电压信号,即可判断出被测电场为负电场,从而实现了被测电场极性的准确鉴别。
3 结 语
设计了一种由光电开关、四通道模拟开关和运放组成的相敏检波器,结合微弱感应电压信号和同步脉冲信号的特点,对其工作原理进行了分析。同时通过实验验证了正确放置光电开关的位置即设置小叶片的初始角φ′,可实现两路输入信号同频同相,从而获得最大的整流输出。所设计的相敏检波器已经在设计的大气电场仪中得到了应用,在实际监测和工作中性能稳定,能很好地鉴别出被测电场极性。
电路 变压器 二极管 电压 传感器 电流 电阻 电容 发光二极管 三极管 滤波器 电感 低通滤波器 相关文章:
- 一种新型防伪读码器的设计(01-01)
- 基于ARM与DSP的嵌入式运动控制器设计(04-25)
- 航天器DC/DC变换器的可靠性设计(02-12)
- 基于ARM核的AT75C220及其在指纹识别系统中的应用(05-24)
- 基于nRF2401智能小区无线抄表系统集中器设计(04-30)
- 卫星电源分系统可靠性设计与研究(02-12)
