软件无线电在一号小卫星多功能地面站中应用
时间:07-01
来源:互联网
点击:
随着A/D/A器件与DSP处理器的迅速发展,使得软件无线电技术广泛地应用于陆上移动通信、卫星移动通信与全球定位系统等。本文利用软件无线电的思路,针对中科院创新一号低轨移动小卫星多功能地面站设计的具体要求,研制了一套基于软件无线电技术的多信道发射机设备。该地面站发射系统数字基带部分采用全软件化设计,核心部件是可编程的DSP及FPGA,可同时处理三路信号。该设备具有以下三个优点:多模工作;无线通信系统可升级;发射配置动态更改。该设备可根据实际需要灵活配置系统,适用范围大大扩展。
1 系统构成
从SDR地面站发射系统如图1所示。该系统的发射速率为2.4kbps窄带、2.4kbps扩频、19.2kbps窄带或它们混合的速率。中频分别为18.45MHz、20MHz、21.85MHz。DAC的采样频率为78.336MHz。发射系统中FPGA实现FIFO、信道编码、扩频、内插滤波、数字上变频、信道合成、DAC预补偿滤波器等功能。这些功能都集成在一片Xilinx VirtexII芯片中。
2 FPGA部分功能模块
2.1 FIFO模块
FIFO完成数据缓存功能。为了节省不必要的资源,设计了一个长度为32、深度为2的FIFO。即当一个寄存器32位取完时发出中断给DSP,同时读、写寄存器指针变换,DSP响应中断向FIFO写数,此时数据还在不断地读出。这样就实现了用最少的资源实现数据缓存。
2.2 信道编码
在实际信道上传输数字信号时,由于信道传输特性不理想及加性噪声的影响,所收到的数字信号不可避免地会发生错误。采用信道编码可以将误码率降低。本系统主要采用性能较优的卷积编码和差分编码等。
对于窄带信号还有扰码(CCITT V.35)。扰码能改善位定时恢复的质量,还能使信号频谱弥散而保持稳恒,能改善帧同步和自适应时域均衡等子系统的性能。
对于扩频信号还有扩频编码。在直扩系统中,用伪随机序列将传输信息扩展,在接收时又用它将信号压缩,并使干扰信号功率扩散,提高了系统的抗干扰能力。
编码过程在DSP的控制下进行,数据从DSP送出,并标识信道特征,FPGA识别后进入相应的编码通道,这样三路信道可以分时进行编码处理。由于硬件速度快的特点,可视为同时处理。
2.3 信道合成
信道合成模块由内插滤波器、数字上变频、信道复接三部分组成。
2.3.1 内插滤波器
各信道滤波器性能指标如表1所示。
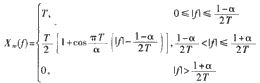
为了以最少的滤波器阶数得到较低的符号间干扰和高阻带衰减,成形滤波器采用一个根升余弦滤波器,滚降系数0.4。其频域表达式为:

式中α为滚降因子,取0.4。
成形滤波器设计采用频率采样技术,这样可以得到阶数较低、性能较好的滤波器。成形滤波器一般采用4倍或8倍的内插系数。先用MATLAB把滤波器阶数和系数确定下来,这样可以用移位加运算代替乘法以节省大量硬件资源。在FPGA实现时,采用DA(Distribute Algorithm)技术。DA技术提出了二十多年,广泛应用于线性时不变信号处理,已被证明不适用于可编程DSP的固定指令系统结构,但是用FPGA实现却是个好的选择--DA电路中没有直接的乘法器,乘法可由查找表得到。
CIC滤波器是一种灵活的无乘法滤波器,适合于硬件实现,并可处理任意大的数据率变换。由此,第二级内插滤波采用CIC滤波器是最佳选择。
在不降低性能的前提下,从节省资源的角度考虑,各信道内插滤波器分为两步实现:第一级FIR成形滤波器,第二级内插滤波器采用五级CIC滤波器。各信道滤波器内插分解为两级,大内插系数滤波器由CIC完成,其结构如图2所示。实验结果表明这样做并不影响性能。
三路信道内插滤波器分别描述如下:
(1)2.4kbps窄带信号:编码后信号采样率为4.8kHz,要用78.336MHz进行采样,必须经过78336/4.8=16320倍内插。第一级采用75阶8倍内插成形FIR滤波器,第二级采用2040倍五级CIC内插滤波器。
(2)19.2kbps窄带信号:编码后信号采样率为38.4kHz,要用78.336MHz进行采样,必须经过2040倍内插。第一级采用75阶8倍内插成形FIR滤波器,第二级采用255倍五级CIC内插滤波器。该路信道所有内插滤波器频率响应如图3所示。
(3)2.4kbps扩频信号:编码后信号采样率为1.224MHz,要用78.336MHz进行采样,必须经过64倍内插。第一级采用25阶4倍内插成形FIR滤波器,第二级采用16倍五级CIC内插滤波器。
2.3.2 数字上变频
数字上变频器的主要功能是对输入数据进行各种调制和频率变换,即在数字域内实现调制和混频。笔者设计了三个单路数据DUC。
在BPSK调制模式中,内插滤波器把数据流采样频率升至时钟频率后,通过载波NCO进行混频。DUC设计取22位累加器,SIN/COS的分辨率为12位。其频率输出调谐精度为18.68Hz。NCO简单结构如图4所示。
2.3.3 信道复接
三路信道分别完成数字上变频后经过一个加法器变为一路信号送至DAC,这样只需要一个RF模块就可完成发射功能。如图5给出了发射机信道复接后的频谱。
2.4 Inverse-SINC预补偿滤波器
Inverse-SINC预补偿滤波器用于补偿发射时由DAC采样保持工作导致的频率响应的失真。该偏差在21.85MHz时为-1.142dB。为了达到性能最优化,采用频率采样的方法设计了一个11阶的补偿滤波器,该滤波器频率响应如图6所示。
1 系统构成
从SDR地面站发射系统如图1所示。该系统的发射速率为2.4kbps窄带、2.4kbps扩频、19.2kbps窄带或它们混合的速率。中频分别为18.45MHz、20MHz、21.85MHz。DAC的采样频率为78.336MHz。发射系统中FPGA实现FIFO、信道编码、扩频、内插滤波、数字上变频、信道合成、DAC预补偿滤波器等功能。这些功能都集成在一片Xilinx VirtexII芯片中。
|
2 FPGA部分功能模块
2.1 FIFO模块
FIFO完成数据缓存功能。为了节省不必要的资源,设计了一个长度为32、深度为2的FIFO。即当一个寄存器32位取完时发出中断给DSP,同时读、写寄存器指针变换,DSP响应中断向FIFO写数,此时数据还在不断地读出。这样就实现了用最少的资源实现数据缓存。
2.2 信道编码
在实际信道上传输数字信号时,由于信道传输特性不理想及加性噪声的影响,所收到的数字信号不可避免地会发生错误。采用信道编码可以将误码率降低。本系统主要采用性能较优的卷积编码和差分编码等。
对于窄带信号还有扰码(CCITT V.35)。扰码能改善位定时恢复的质量,还能使信号频谱弥散而保持稳恒,能改善帧同步和自适应时域均衡等子系统的性能。
对于扩频信号还有扩频编码。在直扩系统中,用伪随机序列将传输信息扩展,在接收时又用它将信号压缩,并使干扰信号功率扩散,提高了系统的抗干扰能力。
编码过程在DSP的控制下进行,数据从DSP送出,并标识信道特征,FPGA识别后进入相应的编码通道,这样三路信道可以分时进行编码处理。由于硬件速度快的特点,可视为同时处理。
2.3 信道合成
信道合成模块由内插滤波器、数字上变频、信道复接三部分组成。
2.3.1 内插滤波器
各信道滤波器性能指标如表1所示。
|
为了以最少的滤波器阶数得到较低的符号间干扰和高阻带衰减,成形滤波器采用一个根升余弦滤波器,滚降系数0.4。其频域表达式为:

式中α为滚降因子,取0.4。
成形滤波器设计采用频率采样技术,这样可以得到阶数较低、性能较好的滤波器。成形滤波器一般采用4倍或8倍的内插系数。先用MATLAB把滤波器阶数和系数确定下来,这样可以用移位加运算代替乘法以节省大量硬件资源。在FPGA实现时,采用DA(Distribute Algorithm)技术。DA技术提出了二十多年,广泛应用于线性时不变信号处理,已被证明不适用于可编程DSP的固定指令系统结构,但是用FPGA实现却是个好的选择--DA电路中没有直接的乘法器,乘法可由查找表得到。
CIC滤波器是一种灵活的无乘法滤波器,适合于硬件实现,并可处理任意大的数据率变换。由此,第二级内插滤波采用CIC滤波器是最佳选择。
在不降低性能的前提下,从节省资源的角度考虑,各信道内插滤波器分为两步实现:第一级FIR成形滤波器,第二级内插滤波器采用五级CIC滤波器。各信道滤波器内插分解为两级,大内插系数滤波器由CIC完成,其结构如图2所示。实验结果表明这样做并不影响性能。
|
三路信道内插滤波器分别描述如下:
(1)2.4kbps窄带信号:编码后信号采样率为4.8kHz,要用78.336MHz进行采样,必须经过78336/4.8=16320倍内插。第一级采用75阶8倍内插成形FIR滤波器,第二级采用2040倍五级CIC内插滤波器。
(2)19.2kbps窄带信号:编码后信号采样率为38.4kHz,要用78.336MHz进行采样,必须经过2040倍内插。第一级采用75阶8倍内插成形FIR滤波器,第二级采用255倍五级CIC内插滤波器。该路信道所有内插滤波器频率响应如图3所示。
|
(3)2.4kbps扩频信号:编码后信号采样率为1.224MHz,要用78.336MHz进行采样,必须经过64倍内插。第一级采用25阶4倍内插成形FIR滤波器,第二级采用16倍五级CIC内插滤波器。
2.3.2 数字上变频
数字上变频器的主要功能是对输入数据进行各种调制和频率变换,即在数字域内实现调制和混频。笔者设计了三个单路数据DUC。
在BPSK调制模式中,内插滤波器把数据流采样频率升至时钟频率后,通过载波NCO进行混频。DUC设计取22位累加器,SIN/COS的分辨率为12位。其频率输出调谐精度为18.68Hz。NCO简单结构如图4所示。
2.3.3 信道复接
三路信道分别完成数字上变频后经过一个加法器变为一路信号送至DAC,这样只需要一个RF模块就可完成发射功能。如图5给出了发射机信道复接后的频谱。
2.4 Inverse-SINC预补偿滤波器
Inverse-SINC预补偿滤波器用于补偿发射时由DAC采样保持工作导致的频率响应的失真。该偏差在21.85MHz时为-1.142dB。为了达到性能最优化,采用频率采样的方法设计了一个11阶的补偿滤波器,该滤波器频率响应如图6所示。
DSP 无线电 FPGA DAC 滤波器 Xilinx 电路 相关文章:
- 基于ARM与DSP的嵌入式运动控制器设计(04-25)
- 基于ARM核的AT75C220及其在指纹识别系统中的应用(05-24)
- 智能视频多媒体技术的应用(05-31)
- 提高实时系统数据采集质量的研究(04-09)
- 2009视频监控:网络化及其推动的几大趋势(06-03)
- 高清化:视频监控领域的下一个里程碑(06-04)




