数字电路中△I噪声的产生与特点
时间:02-02
来源:互联网
点击:
随着数字电路向高集成度、高性能、高速度、低工作电压、低功耗等方向发展,数字电路中的△I噪声正逐步成为数字系统的主要噪声源之一,因此研究△I噪声的产生过程与基本特点,对认识△I噪声特性进而抑制△I噪声具有实际意义。
反相器是数字设计的核心。本文从反相器入手,分析了TTL和CMOS中△I噪声的产生过程与基本特点。
1 △I噪声的产生
1.1 TTL中△I噪声的产生
TTL反相器的基本电路如图1所示。在稳定状态下,输出Vo分别为高电平VOH和低电平VOL时,电源提供的电流IH和IL是不同的,而且都比较小。取VIL=0.2V、VIH≥3.4V、VBE=0.7V、VCE(sat)=0.1V、VD2=0.7V,根据TTL反相器的工作原理[5],可计算出IH≈1mA、IL≈3.4mA。

在动态情况下,特别是当输出电平由低向高转换过程中,因T5原来工作在深度饱和状态,故T4的导通必然先于T5的截止,这样就出现了短时间内T4和T5同时导通的状态(电源与地之间形成低阻通路),有很大的瞬时电流流经T4和T5,使电源电流出现尖峰脉冲。
若在V1从高跳变为低的瞬间,T5尚未脱离饱和导通状态而T4已饱和导通,则可计算出电源电流尖峰脉冲的峰值IP1≈34.7mA。
由上述分析可得到TTL反相器的电源电流尖峰脉冲的波形如图2所示。

TTL反相器的输出端存在负载电容CL,当反相器的输出电平由低向高转换时,T4导通、T5截止,电源经T4向CL充电,也形成电源电流尖峰脉冲,其幅值IP2≈CL×△Vo/△t,△Vo和△t分别为反相器的典型输出转换电压和转换时间。
当驱动线较长、传输延迟超过脉冲上升时间时,IP2≈△Vo/Zo,Zo为驱动线的特性阻抗。
当反相器输出为高电平时,CL上可充电至接近电源电压;而其输出电平由高向低转换时,T4截止、T5导通,CL通过T5和接地线放电,从而形成地电流尖峰脉冲。
1.2 CMOS中△I噪声的产生
据CMOS反相器的工作原理可知,在稳定状态下,电源提供的电流极小,一般可以忽略不计;而在动态情况下,如果取VDD>VGS(th)N+VGS(th)P,VIH≈VDD,VIL≈0,那么当VI从VIL转换到VIH和从VIH转换到VIL的过程中,都将经过短暂的VGS(th)N〈VI〈VDD-VGS(th)P的状态。在此状态下,TP和TN同时导通,从而在电源与地之间形成瞬时的低阻通路,瞬时电流iT流经TP和TN,形成电源电流尖峰脉冲,如图3所示。
CMOS反相器的输出端也存在负载电容CL。当CMOS反相器的输出电平由低向高转换时,TP导通、TN截止,电源经TP向CL充电,也形成电源电流尖峰脉冲,如图4中的iP所示;当CMOS反相器的输出电平由高向低转换时,TP截止、TN导通,CL通过TN和接地线放电,也形成地电流尖峰脉冲,如图4中的iN所示。
综上所述,无论是TTL反相器,还是CMOS反相器,在动态情况下,都存在三种原因引起的电流尖峰脉冲。前两种原因引起的电流尖峰脉冲通过电源分配网络(Power Distribution Network),而且电流尖峰脉冲会发生叠加,形成更强的电流尖峰脉冲。后一种原因引起的电流尖峰则脉冲则通过接地导线。
在大多数情况下,无论是TTL门还是CMOS门,由负载电容充电较之两管同时导通所引起的电流尖峰脉冲所造成的影响大得多。这些电流尖峰脉冲(典型的噪声源)称为△I噪声电流。由于数字电路的电源分配网络和接地导线存在寄生电感和寄生电阻,所以△I噪声电流流过时,即产生△I噪声电压(自感电势和欧姆电压降)。为简便起见,将△I噪声电流和△I噪声电压都称为△I噪声。
2 △I噪声的基本特点
2.1 △I噪声是固有的
由△I噪声的产生过程可见,△I噪声是由数字电路的电路结构和工作过程决定的,且是固有的。恰当的器件设计,只能在一定程度上减小(而无法消除)△I噪声[6]。
以CMOS反相器为例,电源电流尖峰脉冲的强度,一方面由器件的饱和电流决定,因而直接正比于晶体管的尺寸;另一方面与输入和输出斜率之比密切相关。由于晶体管的尺寸取决于数字IC的工艺,所以下面具体分析后一种因素的影响。

考虑到CMOS反相器的输入电平由低向高转换,首先假设负载电容很大,所以输出的下降时间明显大于输入的上升时间。在这种情况下,输入在输出开始改变之前就已经通过了过渡区。由于在这一时期CMOS管TP的源-漏电压近似为零,因此TP甚至还没有传导任何电流就断开了。在这种情况下TP的短路电流接近于零;相反,即负载电容CL非常小,因此输出的下降时间明显小于输入的上升时间。TP的源-漏电压在转换期间的大部分时间内等于VDD,从而引起了最大的短路电流(等于TP的饱和电流)。这代表了最不利情况下的条件。
可见,使输出的上升时间/下降时间大于输入的上升/下降时间,可使电源电流尖峰脉冲的强度减小。但是,输出的上升时间/下降时间太大会降低电路的速度并在扇出门中引起短路电流。所以,在数字设计时只能认真权衡后做出折衷。
2.2 △I噪声会发生叠加
数字系统中往往有很多个逻辑门,要对所有逻辑门的工作状态的组合情况进行预测和分析是非常困难的,因而通常考虑最不利的情况,即假设所有的逻辑门在某一固定频率同时向同一方向转换工作状态。由于数字系统中的很多逻辑门一般共用电源,所以当系统中多个逻辑门同时转换工作状态时,它们引起的电流尖峰脉冲将发生叠加,可能引起极强的△I噪声。
假设CMOS电路板上有100个逻辑门,每个逻辑门的负载电容为10pF,转换时间为5ns,则所有负载电容同时充电(最不利的情况)引起的电流峰值为△I=NCL×△V/△t=100×10pF×5V/5ns=1A。
尽管在数字系统中大量的逻辑门同时转换工作状态的可能性较小,但这种可能性确实存在。数字系统的规模越大,这种可能性也越大,一旦出现,引起的后果也越严重。然而,规模越来越大正是数字电路的重要发展趋势之一。
2.3 △I噪声是宽带噪声源
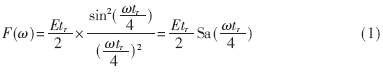
△I噪声是持续时间很短的尖脉冲。为分析其频谱,可以将其近似为三角形脉冲。设E为噪声的强度、tr为逻辑门的上升(或下降)时间,则三角形脉冲的频谱可写为:

由式(1)可知,tr越小(短),频谱越宽。
当逻辑门的上升/下降时间极短(速度很快)时,△I噪声可近似为冲激函数。冲击函数的频谱曲线为平行于频率轴的一条直线。可见,△I噪声是宽带噪声源。
2.4 传导骚扰和辐射骚扰
△I噪声的实质是瞬变电流脉冲。据有关研究结论可以推断,△I噪声同时产生传导骚扰和辐射骚扰。传导骚扰主要通过电源线、信号线、接地线等金属导线传播。电子系统中的很多结构和PCB设计都不可避免地构成各种天线,△I噪声会通过这些天线向外辐射电磁波,形成辐射骚扰。
对△I噪声引起的辐射骚扰,主要是短单极天线(长度小于λ/4,λ为波长)模式和小环天线(周长小于λ/4)模式,相对而言后者更重要。
短单极天线在自由空间的辐射电磁场可近似为:

式中, S为天线的面积。
式(2)和式(3)是削弱辐射骚扰的重要理论依据。
由上述分析可得出如下结论:
(1)△I噪声是由数字电路的电路结构和工作过程决定的,恰当的电路设计只能在一定程度上减小(而不可能消除)△I噪声。
(2)△I噪声是数字电路固有的;数字电路中不同单元产生的△I噪声会发生叠加,电路的规模越大,叠加出现的可能性也越大,造成的电流尖峰脉冲越强;△I噪声是宽带噪声源,频谱宽度主要由电路的速度决定,速度越高,频谱范围越宽;△I噪声同时产生传导骚扰和辐射骚扰,电路的速度越高,辐射发射越强。
本文的结论可作为进一步研究△I噪声危害和抑制△I噪声措施的理论参考。
反相器是数字设计的核心。本文从反相器入手,分析了TTL和CMOS中△I噪声的产生过程与基本特点。
1 △I噪声的产生
1.1 TTL中△I噪声的产生
TTL反相器的基本电路如图1所示。在稳定状态下,输出Vo分别为高电平VOH和低电平VOL时,电源提供的电流IH和IL是不同的,而且都比较小。取VIL=0.2V、VIH≥3.4V、VBE=0.7V、VCE(sat)=0.1V、VD2=0.7V,根据TTL反相器的工作原理[5],可计算出IH≈1mA、IL≈3.4mA。

在动态情况下,特别是当输出电平由低向高转换过程中,因T5原来工作在深度饱和状态,故T4的导通必然先于T5的截止,这样就出现了短时间内T4和T5同时导通的状态(电源与地之间形成低阻通路),有很大的瞬时电流流经T4和T5,使电源电流出现尖峰脉冲。
若在V1从高跳变为低的瞬间,T5尚未脱离饱和导通状态而T4已饱和导通,则可计算出电源电流尖峰脉冲的峰值IP1≈34.7mA。
由上述分析可得到TTL反相器的电源电流尖峰脉冲的波形如图2所示。

TTL反相器的输出端存在负载电容CL,当反相器的输出电平由低向高转换时,T4导通、T5截止,电源经T4向CL充电,也形成电源电流尖峰脉冲,其幅值IP2≈CL×△Vo/△t,△Vo和△t分别为反相器的典型输出转换电压和转换时间。
当驱动线较长、传输延迟超过脉冲上升时间时,IP2≈△Vo/Zo,Zo为驱动线的特性阻抗。
当反相器输出为高电平时,CL上可充电至接近电源电压;而其输出电平由高向低转换时,T4截止、T5导通,CL通过T5和接地线放电,从而形成地电流尖峰脉冲。
1.2 CMOS中△I噪声的产生
据CMOS反相器的工作原理可知,在稳定状态下,电源提供的电流极小,一般可以忽略不计;而在动态情况下,如果取VDD>VGS(th)N+VGS(th)P,VIH≈VDD,VIL≈0,那么当VI从VIL转换到VIH和从VIH转换到VIL的过程中,都将经过短暂的VGS(th)N〈VI〈VDD-VGS(th)P的状态。在此状态下,TP和TN同时导通,从而在电源与地之间形成瞬时的低阻通路,瞬时电流iT流经TP和TN,形成电源电流尖峰脉冲,如图3所示。
CMOS反相器的输出端也存在负载电容CL。当CMOS反相器的输出电平由低向高转换时,TP导通、TN截止,电源经TP向CL充电,也形成电源电流尖峰脉冲,如图4中的iP所示;当CMOS反相器的输出电平由高向低转换时,TP截止、TN导通,CL通过TN和接地线放电,也形成地电流尖峰脉冲,如图4中的iN所示。
综上所述,无论是TTL反相器,还是CMOS反相器,在动态情况下,都存在三种原因引起的电流尖峰脉冲。前两种原因引起的电流尖峰脉冲通过电源分配网络(Power Distribution Network),而且电流尖峰脉冲会发生叠加,形成更强的电流尖峰脉冲。后一种原因引起的电流尖峰则脉冲则通过接地导线。
在大多数情况下,无论是TTL门还是CMOS门,由负载电容充电较之两管同时导通所引起的电流尖峰脉冲所造成的影响大得多。这些电流尖峰脉冲(典型的噪声源)称为△I噪声电流。由于数字电路的电源分配网络和接地导线存在寄生电感和寄生电阻,所以△I噪声电流流过时,即产生△I噪声电压(自感电势和欧姆电压降)。为简便起见,将△I噪声电流和△I噪声电压都称为△I噪声。
2 △I噪声的基本特点
2.1 △I噪声是固有的
由△I噪声的产生过程可见,△I噪声是由数字电路的电路结构和工作过程决定的,且是固有的。恰当的器件设计,只能在一定程度上减小(而无法消除)△I噪声[6]。
以CMOS反相器为例,电源电流尖峰脉冲的强度,一方面由器件的饱和电流决定,因而直接正比于晶体管的尺寸;另一方面与输入和输出斜率之比密切相关。由于晶体管的尺寸取决于数字IC的工艺,所以下面具体分析后一种因素的影响。

考虑到CMOS反相器的输入电平由低向高转换,首先假设负载电容很大,所以输出的下降时间明显大于输入的上升时间。在这种情况下,输入在输出开始改变之前就已经通过了过渡区。由于在这一时期CMOS管TP的源-漏电压近似为零,因此TP甚至还没有传导任何电流就断开了。在这种情况下TP的短路电流接近于零;相反,即负载电容CL非常小,因此输出的下降时间明显小于输入的上升时间。TP的源-漏电压在转换期间的大部分时间内等于VDD,从而引起了最大的短路电流(等于TP的饱和电流)。这代表了最不利情况下的条件。
可见,使输出的上升时间/下降时间大于输入的上升/下降时间,可使电源电流尖峰脉冲的强度减小。但是,输出的上升时间/下降时间太大会降低电路的速度并在扇出门中引起短路电流。所以,在数字设计时只能认真权衡后做出折衷。
2.2 △I噪声会发生叠加
数字系统中往往有很多个逻辑门,要对所有逻辑门的工作状态的组合情况进行预测和分析是非常困难的,因而通常考虑最不利的情况,即假设所有的逻辑门在某一固定频率同时向同一方向转换工作状态。由于数字系统中的很多逻辑门一般共用电源,所以当系统中多个逻辑门同时转换工作状态时,它们引起的电流尖峰脉冲将发生叠加,可能引起极强的△I噪声。
假设CMOS电路板上有100个逻辑门,每个逻辑门的负载电容为10pF,转换时间为5ns,则所有负载电容同时充电(最不利的情况)引起的电流峰值为△I=NCL×△V/△t=100×10pF×5V/5ns=1A。
尽管在数字系统中大量的逻辑门同时转换工作状态的可能性较小,但这种可能性确实存在。数字系统的规模越大,这种可能性也越大,一旦出现,引起的后果也越严重。然而,规模越来越大正是数字电路的重要发展趋势之一。
2.3 △I噪声是宽带噪声源
△I噪声是持续时间很短的尖脉冲。为分析其频谱,可以将其近似为三角形脉冲。设E为噪声的强度、tr为逻辑门的上升(或下降)时间,则三角形脉冲的频谱可写为:

由式(1)可知,tr越小(短),频谱越宽。
当逻辑门的上升/下降时间极短(速度很快)时,△I噪声可近似为冲激函数。冲击函数的频谱曲线为平行于频率轴的一条直线。可见,△I噪声是宽带噪声源。
2.4 传导骚扰和辐射骚扰
△I噪声的实质是瞬变电流脉冲。据有关研究结论可以推断,△I噪声同时产生传导骚扰和辐射骚扰。传导骚扰主要通过电源线、信号线、接地线等金属导线传播。电子系统中的很多结构和PCB设计都不可避免地构成各种天线,△I噪声会通过这些天线向外辐射电磁波,形成辐射骚扰。
对△I噪声引起的辐射骚扰,主要是短单极天线(长度小于λ/4,λ为波长)模式和小环天线(周长小于λ/4)模式,相对而言后者更重要。
短单极天线在自由空间的辐射电磁场可近似为:

式中, S为天线的面积。
式(2)和式(3)是削弱辐射骚扰的重要理论依据。
由上述分析可得出如下结论:
(1)△I噪声是由数字电路的电路结构和工作过程决定的,恰当的电路设计只能在一定程度上减小(而不可能消除)△I噪声。
(2)△I噪声是数字电路固有的;数字电路中不同单元产生的△I噪声会发生叠加,电路的规模越大,叠加出现的可能性也越大,造成的电流尖峰脉冲越强;△I噪声是宽带噪声源,频谱宽度主要由电路的速度决定,速度越高,频谱范围越宽;△I噪声同时产生传导骚扰和辐射骚扰,电路的速度越高,辐射发射越强。
本文的结论可作为进一步研究△I噪声危害和抑制△I噪声措施的理论参考。
电路 电压 CMOS 电流 电容 电感 电阻 电子 PCB 相关文章:
- 整流电路(11-30)
- 单运放构成的单稳延时电路(11-29)
- 直流稳压电源电路(11-30)
- 基于ISP1581型接口电路的USB2.0接口设计(01-18)
- 单电源供电的IGBT驱动电路在铁路辅助电源系统中的应用(01-16)
- 为太阳能灯供电的低损耗电路的设计(01-22)
