关于运放的平衡电阻的那些事儿
时间:01-25
来源:互联网
点击:
本文介绍一些关于运放的平衡电阻的知识,感兴趣的朋友可以看看。
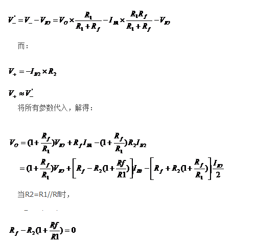
运放输入端所接电阻要平衡,目的是使集成运放两输入端的对地直流电阻相等,运放的偏置电流不会产生附加的失调电压。 但有些电路对失调电压要求并不高,例如交流音频放大器。有些运放偏置电流很小,即使输入端电阻不平衡也不会对失调电压产生什么影响,这些电路就可以不要求 输入端电阻平衡。
以反相放大器来说明平衡电阻的作用。如图所示。
若运放为理想运放,输入为0时,则:

此时由输入偏置电流IIB产生的失调电压为0。
运放输入端所接电阻要平衡,目的是使运放的偏置电流不会产生附加的失调电压。但有些电路对失调电压要求并不高。例如交流音频放大器,有些运放偏置电流很小,即使输入端电阻不平衡也不会对失调电压产生什么影响,这些电路就可以不要求输入端电阻平衡。尤其是现在基于CMOS工艺的运放,输入偏置电流都是几个pA,加不加平衡电阻的影响就微乎其微了。
说明:
1、为了保证输入阻抗匹配一般需要配合适的电阻。
2、为了减小输入电流失调,原则上同相端电阻等于接反相端那两个电阻的并联值。实际应用中,由于闭环的结果,尤其在深负反馈条件下,失调在输出端并不明显,失调不是主要矛盾时,同相接地电阻常省去。从运放工作在最好状态的意义出发,还是要那个电阻。同相接地电阻只对双极运放有作用,对 MOS 型的运放没意义。
3、接地输入端接电阻:阻抗对称,匹配。高频必须用。
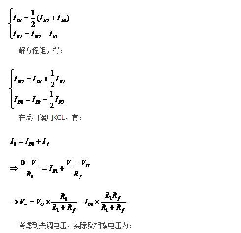
4、理解运放偏置电流与失调电流
运放输入端都会有偏置电流 IB+,IB-,两个偏置电流之均值定义为偏置电流 IB,之差为失调电流 Ios 对于 IB>>Ios 的运放,两个输入电阻 Rs+,Rs-匹配可以减小 IB 流过电阻造成的误差但精密运放往往将IB 补偿到最小,IB,Ios 相近,加匹配电阻反而增加误差。
5、为了输入端存在偏置电流而设置的,其目的是让同相和反相两个输入端看出去的阻抗相等, 以便“预定”两个输入端“相等”的偏置电流在它们产生的压降也相等,起到相互抵消的作用。
运放输入端所接电阻要平衡,目的是使集成运放两输入端的对地直流电阻相等,运放的偏置电流不会产生附加的失调电压。 但有些电路对失调电压要求并不高,例如交流音频放大器。有些运放偏置电流很小,即使输入端电阻不平衡也不会对失调电压产生什么影响,这些电路就可以不要求 输入端电阻平衡。
以反相放大器来说明平衡电阻的作用。如图所示。
若运放为理想运放,输入为0时,则:

此时由输入偏置电流IIB产生的失调电压为0。
运放输入端所接电阻要平衡,目的是使运放的偏置电流不会产生附加的失调电压。但有些电路对失调电压要求并不高。例如交流音频放大器,有些运放偏置电流很小,即使输入端电阻不平衡也不会对失调电压产生什么影响,这些电路就可以不要求输入端电阻平衡。尤其是现在基于CMOS工艺的运放,输入偏置电流都是几个pA,加不加平衡电阻的影响就微乎其微了。
说明:
1、为了保证输入阻抗匹配一般需要配合适的电阻。
2、为了减小输入电流失调,原则上同相端电阻等于接反相端那两个电阻的并联值。实际应用中,由于闭环的结果,尤其在深负反馈条件下,失调在输出端并不明显,失调不是主要矛盾时,同相接地电阻常省去。从运放工作在最好状态的意义出发,还是要那个电阻。同相接地电阻只对双极运放有作用,对 MOS 型的运放没意义。
3、接地输入端接电阻:阻抗对称,匹配。高频必须用。
4、理解运放偏置电流与失调电流
运放输入端都会有偏置电流 IB+,IB-,两个偏置电流之均值定义为偏置电流 IB,之差为失调电流 Ios 对于 IB>>Ios 的运放,两个输入电阻 Rs+,Rs-匹配可以减小 IB 流过电阻造成的误差但精密运放往往将IB 补偿到最小,IB,Ios 相近,加匹配电阻反而增加误差。
5、为了输入端存在偏置电流而设置的,其目的是让同相和反相两个输入端看出去的阻抗相等, 以便“预定”两个输入端“相等”的偏置电流在它们产生的压降也相等,起到相互抵消的作用。
- 什么是权电阻网络DAC(数模转换器)(01-24)
- 倒T型电阻网络D/A转换器(01-24)
- 运放电路设计中无源元件的选择(01-23)
- 电子连接器接触电阻测试程序(07-08)
- 输出电容器的等效串联电阻对滞环控制功率转换器的影响(07-12)
- 电阻器基本常识(07-06)
