信号链基础知识2:基本运算--运算放大器
时间:01-25
来源:互联网
点击:
上一篇文章的理论延伸,我们可以实现一个基本应用电路。根据了解利用该模拟信号链的基本构建块所进行的运算。
该具有差动输入的高增益电路的名称起源于模拟计算机时代。每一个数学运算都需要一个放大器来将一个函数与下一个函数隔离。简单来说,可以配置一个运算放大器 (op amp),以用于实现反相或非反相增益(见图 1)。
图 1 基本增益级
该增益方程式表明,当 Ri>Rf 时,反相级可能会有一个小于 1 的闭环增益 (Acl);当 Ri=Rf 时,该增益为 -1(反相),该非反相级绝不可能有一个小于单位增益 (unity) 的增益。当 Ri 为开路时,该电路就会简化为一个单位增益电压跟随器。如果需要一个小于 1 的增益,那么就应该在放大器前面放置一个电压分压器。
由于这是一个线性系统,所以适用线性迭加法则。因此,下面要讲的就是将两个或更多的信号累加起来(见图 2)。
图 2 加权信号求和
为了建立这些关系,首先假设 V2=0,并以 V1 的一个函数写出 Vout 的方程式。然后假设 V1=0,并写出 V2 的方程式。将两项合并就可以得到完整的传输函数。可以用此处所示的部分并联方式添加更多的输入,并且利用该迭加技术可以得出总传输函数。
与刚才的运算相比,这种可添加电压的能力更具价值。在一个设计中,很多时候都必须进行一个电平转换,而这些电路正好可以完成这一任务。通过这些求和的变化,也有可能实现补码运算(也即减法运算)见图 3。
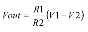
图 3 差动放大器 (diff amp)
如上那样使用线性迭加,该差动放大器的通用输出表达式为:
一种被广泛使用的应用是那些可用信号依存 (ride on) 于干扰信号中的应用(见图 4)。干扰信号被称作共模电压 (Vcm),因为其为两个输入共有,而理想信号为差模电压 (Vdm)。在此情况下,其值为 Vdm1 与 Vdm2 的和。
如图 4 差动放大器应用
如果 R1=R4 且 R2=R3,那么 Vout 可由下式得出:
消除干扰信号的精确度取决于两个变量:电阻器匹配的精确度和运算放大器的参数(被称为共模抑制比 (CMRR))。假设的确存在完美的运算放大器,那么电阻器不匹配导致的输出计算则为一道简单的电子表格计算题。
表 1 电阻器不匹配导致的输出计算
既然我们已经有了一套基本构建块,那么接下来我们就可以开始选择各种可用的转换器了。
该具有差动输入的高增益电路的名称起源于模拟计算机时代。每一个数学运算都需要一个放大器来将一个函数与下一个函数隔离。简单来说,可以配置一个运算放大器 (op amp),以用于实现反相或非反相增益(见图 1)。
图 1 基本增益级
该增益方程式表明,当 Ri>Rf 时,反相级可能会有一个小于 1 的闭环增益 (Acl);当 Ri=Rf 时,该增益为 -1(反相),该非反相级绝不可能有一个小于单位增益 (unity) 的增益。当 Ri 为开路时,该电路就会简化为一个单位增益电压跟随器。如果需要一个小于 1 的增益,那么就应该在放大器前面放置一个电压分压器。
由于这是一个线性系统,所以适用线性迭加法则。因此,下面要讲的就是将两个或更多的信号累加起来(见图 2)。
图 2 加权信号求和
为了建立这些关系,首先假设 V2=0,并以 V1 的一个函数写出 Vout 的方程式。然后假设 V1=0,并写出 V2 的方程式。将两项合并就可以得到完整的传输函数。可以用此处所示的部分并联方式添加更多的输入,并且利用该迭加技术可以得出总传输函数。
与刚才的运算相比,这种可添加电压的能力更具价值。在一个设计中,很多时候都必须进行一个电平转换,而这些电路正好可以完成这一任务。通过这些求和的变化,也有可能实现补码运算(也即减法运算)见图 3。
图 3 差动放大器 (diff amp)
如上那样使用线性迭加,该差动放大器的通用输出表达式为:
一种被广泛使用的应用是那些可用信号依存 (ride on) 于干扰信号中的应用(见图 4)。干扰信号被称作共模电压 (Vcm),因为其为两个输入共有,而理想信号为差模电压 (Vdm)。在此情况下,其值为 Vdm1 与 Vdm2 的和。
如图 4 差动放大器应用
如果 R1=R4 且 R2=R3,那么 Vout 可由下式得出:
消除干扰信号的精确度取决于两个变量:电阻器匹配的精确度和运算放大器的参数(被称为共模抑制比 (CMRR))。假设的确存在完美的运算放大器,那么电阻器不匹配导致的输出计算则为一道简单的电子表格计算题。
表 1 电阻器不匹配导致的输出计算
既然我们已经有了一套基本构建块,那么接下来我们就可以开始选择各种可用的转换器了。
- 整流电路(11-30)
- 单运放构成的单稳延时电路(11-29)
- 直流稳压电源电路(11-30)
- 基于ISP1581型接口电路的USB2.0接口设计(01-18)
- 单电源供电的IGBT驱动电路在铁路辅助电源系统中的应用(01-16)
- 为太阳能灯供电的低损耗电路的设计(01-22)
