出色模拟工程师必备系列(二):放大器与比较器
时间:01-21
来源:互联网
点击:
比较器是业界应用极其广泛的标准元件。比较器具有外部滞后、锁存、灵活的电源电压和输出配置等多项功能和特性。作为一名出色的模拟工程师,熟练使用比较器是必须的。在实际设计应用的比较器经常用到,偶尔工程师也会将运算放大器来作为比较器使用,那么究竟比较器是什么呢?原理和作用是什么?运算放大器真的可以用作比较器来使用吗?运算放大器和比较器的区别在哪里?在这里小编为大家整理了一些关于运算放大器和比较器的内容,供大家学习和参考。
什么是比较器?比较器原理
我们从工程学教程里了解到,运算放大器需要三个内部级才能发挥出最佳性能,比如实现高输入阻抗、低输出阻抗和高增益等。三个内部级分别是差分输入级、增益级(有或没有内部频率补偿)和输出级。这种基本的体系结构已经沿用了好几十年。早期,运算放大器曾作为数学运算的基本器件,主要以电压和电压信号来作标识。在反馈应用中,通过配置放大器周边的无源或有源器件,可以令系统执行加、减、乘、除和对数等运算。
比较器其实可看成一个能够作逻辑 “决策”的逻辑输出电路。换句话说,它可把输入信号与已定义的参考电平进行比较。比较器的逻辑输出功能可以帮助用户设计具有多样化的额外功能的模拟电路。而且,无论是高速ADC、SAR型ADC还是Sigma-Delta ADC,比较器都是组建集成ADC的内部基本而又关键的模块。
比较器的基本体系结构和大部份的参数属性都与运算放大器类似。因此,运算放大器也可充当比较器。但放大器并不是专门针对比较功能而开发的,而且放大器的数据表一般都不保证这项功能可否正常实现。运算放大器与比较器的最大分别在于比较器是开环设计,没有反馈环节,而且输出会在任何一条电源轨的范围内显示差分输入信号的极性。
此外,比较器一般都会被设计成 “过压驱动”(overdriven),意思是它可经常处理较大的差分输入电压。相反,对于运算放大器而言,它通常被设计成在较小的信号和差分电压下运行,而这里的反馈概念通常都含有 “过驱” 意义,这样会导致开环配置中的输入出现饱和效应。如果将输入的极性倒转,则过驱时产生的输入级的饱和会导致信号的传播具有一定的延迟或相位滞后。
再者,对于较大的差分输入电压来说,运算放大器的输出很容易到达极限输出,从而启动保护功能。保护功能的启动将会导致输入阻抗的量级明显下降,迫使过量的电流涌到输入级,造成过载,甚至过热。如果在设计上没有保护的措施,那便可能导致整个器件损毁。因此,在器件的数据表,通常都会提供器件的最大输入电流的额定值,以帮助设计人员决定用多少附加输入电阻。
比较器通常都不进行频率补偿功能,因此其工作速度相当高,同时开关时间也在某程度上取决于 “过驱”的程度。图1表示出当衡量一个输出状态变化时的差分输入电压。从图中可看出过驱需要高于失调电压才可以保证比较器有效地进行工作。一般来说,较大的过驱可加快开关时间。
比较器一般都以参数值和/或功能来分类,例如:

图1 输入过驱和相关的传播延迟消散
·通用比较器;
·高速比较器(传播延迟少于50毫微秒);
·低压比较器(电源电压VCC低于5V);
·微功率比较器(静态电流低于20微安);
·集成参考的比较器。
比较器的特性取决于其类别,分别为:
·传播延迟—由施加一个差分信号与切换状态的输出级之间的时间延迟 (例如是50%)。
·内部或外部滞后— 滞后是一种介乎低到高开关电压和高到低开关电压之间的设计预算中或需激活的差别。有些比较器具备可调节滞后水平的功能,方法是通过在指定的引脚上施加电压。
·上升及下降时间—一般是输出电压的10%至90%的时间,并且上升和下降缘的时间可以有差别,假如这情况出现,那将会导致输出的周期时间会相对于输入信号而改变。
·触发率—指在某一个频率下,比较器的输出可以跟随输入的状态来变化。
·消散—量度传播延迟变化的参数。
·抖动—可以是随机或事前决定,负责量度信号缘在时间上的不定性。
现代高速比较器
现今业界常用的比较器大多数是经过优化设计的,可为系统带来增值效益。最普遍的比较器应用类别是电平平移。现今,TTL和CMOS逻辑电平均已被广泛采用。对于高速应用而言,还可采用ECL(发射极耦合逻辑)、RSPECL(摆幅削减正发射极耦合逻辑)或LVDS(低压差分信号)。当需要从电缆和线路连接IC和FPGA,或在背板内的信号速度处于由每秒数百兆位至数千兆位的高速范围时,上述方案便会成为首选。LMH7220和 LMH7322便是可用作为高速/超高速电平比较变换的高速比较器件。
图2表示出一个LMH7322双高速比较器,并且以ECL变换到RSPECL的转换器方式实现。ECL高速逻辑已经沿用了很多年,尤其是供军事或测量用以及工业用的高档设置,而且它们属于负电压电平参考信号(-5.2V接地),难以连接到其它分离电源或单电源系统。幸而,LMH7322不单可有效解决上述的问题,与此同时比较起一般的逻辑电平移位器,它可提供给设计人员更大的自由度。该比较器在输入和输出电路上拥有不同的电源引脚,而其电源可以是由2.7V至12V的单一电源,又或是由±6V至±1.35V的分离电源。器件在输入时的共模范围可超出最低的电源电平200mV,从而令能在如此低的输入信号电平下感测到细微的信号。在高边上,共模范围受到1.5V的VCCI的限制,但需配合2.7V的VCCI和VCCO,还是有可能在输出上提供PECL逻辑电平。

图2 ECL 到 RSPECL 的电平变换
假如典型的上升和下降时间为160ps,而典型的传播延迟则为700ps,那便可促使该比较器为高速至每秒数千兆位的信号进行缓冲和电平平移,从而使电路适合应用在高速数据、时移、缓冲,或是来自电缆或背板的信号恢复。一个可调节的滞后可通过HYST引脚来施行,这做法对于失真信号或DC耦合线路或移动缓慢的信号来说最为受用,因为这可避免出现不必要的开关和触发。图2中的应用电路表示出输入VCCI信号是处于系统接地电平,而VCCO电平和VEE电平则分别处于+5V和-5.2V(这便是ECL驱动器负电源电平)。此外,输出电压将可符合RSPECL的规格。同一个器件可以用来介接到其他的逻辑电平,只需稍为调节VCCI和VCCO及VEE电压电平便可。加入例如是50W的适当线路端接是有可能的,图3所示为一基本端接例子。
图3中的差分输出以一个跟随着电源电流的发射极来实现,并且确保两个输出引脚之间的摆幅差别有400mV。假如这里采用有源端接,那电压便会低于VCCO电平2V,否则每当端接到芯片的最负电源时,便需计算出正确的负载电阻。

图3 LMH7322的输出线路端接例子
此外,上升/下降时间或带有消散的传播延迟等参数均需要慎重考虑,而且它们不是全部都被规定。消散可以因共模、过驱和压摆率的变化而引致,从而影响传播延迟、工作周期和抖动。以LMH7322为例,过驱消散或比较20mV至1V过驱的变化为75ps,在这情况下会大概增加本身的传播延迟约10%。
一个 “新类别”—精度比较器
一般比较器都有约10mV或更大的输入失调电压。精度型比较器的优点很明显,因为它可比较微弱信号。迄今为止,仍有人采用运算放大器作为比较器,就是因为一般的比较器不具有足够的精度。在电池电量监测应用中,当充电/放电的电压梯度相对平坦时,便可采用这些参数。其他特色功能包括低功耗、高精度,及可调整的检测阈值。

图4 具备”低电荷”状态显示的电池监视器
图4是采用LMP7300的电池电压监视器,该器件具有集成式高精度电压参考的微功率比较器。该电路的电池泄漏电流极小,典型为10mA的典型静态电流,并且拥有2.5V至12V的宽阔电压范围,它可在高边(电源线路)感应电流和具备有一个2.048V 55ppm的电压参考和通过两根引脚完成的可调节滞后。开漏输出能够驱动一个LED或触发一个微控制器的输入逻辑引脚。在图4中,R1和R2会为达到低的静态电流而设置成高阻抗。假如要触发一个低电池条件,那下列的公式1和2便可用来决定R1的数值:

那么,如果

若R2已知(例如是1MW),Vref 为2.048V,Vbatt应该是2.7V

190W和5mF的RC组合对于缓冲参考是很重要,因为这组合具有大约1mA的负载驱动能力和它可改善线路的调节能力。

图5 非对称滞后的典型配置
图5表示出可用来提供非对称滞后的内部参考和四个外部电阻器。电路中的跳变点可用下式4和5计算出来,至于滞后输入电压和电流范围以及参考负载电流数值则可从数据表中找到,但这些数值可能会限制了真正的电阻值范围和比率。

放大器和比较器的区别
1.放大器与比较器的主要区别是闭环特性
放大器大都工作在闭环状态,所以要求闭环后不能自激。而比较器大都工作在开环状态更追求速度。对于频率比较低的情况放大器完全可以代替比较器(要主意输出电平),反过来比较器大部分情况不能当作放大器使用。
因为比较器为了提高速度进行优化,这种优化却减小了闭环稳定的范围。而运放专为闭环稳定范围进行优化,故降低了速度。所以相同价位档次的比较器和放大器最好是各司其责。如同放大器可以用作比较器一样,也不能排除比较器也可以用作放大器。但是你为了让它闭环稳定所付出的代价可能超过加一个放大器!
换言之,看一个运放是当作比较器还是放大器就是看电路的负反馈深度。所以,浅闭环的比较器有可能工作在放大器状态并不自激。但是一定要作大量的试验,以保证在产品的所有工作状态下都稳定!这时候你就要成本/风险仔细核算一下了。
2.算放大器和比较器如出一辙,简单的讲,比较器就是运放的开环应用,但比较器的设计是针对电压门限比较而用的,要求的比较门限精确,比较后的输出边沿上升或下降时间要短,输出符合TTL/CMOS电平/或OC等,不要求中间环节的准确度,同时驱动能力也不一样。一般情况:用运放做比较器,多数达不到满幅输出,或比较后的边沿时间过长,因此设计中少用运放做比较器为佳。
比较器和运放虽然在电路图上符号相同,但这两种器件确有非常大的区别,一般不可以互换,区别如下:
1)、比较器的翻转速度快,大约在ns数量级,而运放翻转速度一般为us数量级(特殊的高速运放除外)。
2)、运放可以接入负反馈电路,而比较器则不能使用负反馈,虽然比较器也有同相和反相两个输入端,但因为其内部没有相位补偿电路,所以,如果接入负反馈,电路不能稳定工作。内部无相位补偿电路,这也是比较器比运放速度快很多的主要原因。
3)、运放输出级一般采用推挽电路,双极性输出。而多数比较器输出级为集电极开路结构,所以需要上拉电阻,单极性输出,容易和数字电路连接。
通过以上我们可以看出放大器和比较器还是有比较多的区别的,但是放大器可以替代比较器吗?都有哪些的注意点呢?
运算放大器可以替代比较器吗?
许多人偶尔会把运算放大器当比较器使用。一般而言,当您只需要一个简单的比较器,并且您在四运算放大器封装中还有一个“多余”运算放大器时,这种做法是可行的。稳定运算放大器运行所需的相位补偿意味着把运算放大器用作比较器时其速度会非常的低,但是如果对速度要求不高,则运算放大器可以满足需求。偶尔会有人问到我们运算放大器的这种使用方法。这种方法有时有效,有时却不如人们预期的那样效果好。为什么会出现这种情况呢?
许多运算放大器都在输入端之间有电压钳位,其大多数一般都使用背靠背二极管(有时使用两个或者更多的串联二极管)来实施。这些二极管保护输入晶体管免受其基极结点反向击穿的损害。差动输入为约 6V 时便会出现许多 IC 工艺击穿,这会极大地改变或者损坏晶体管。下图显示了 NPN 输入级,D1 和 D2 提供了这种保护功能。

在大多数常见运算放大器应用中,输入电压均约为零伏,其根本无法开启这些二极管。但是很明显,对于比较器的运行而言,这种保护便成了问题。在一个输入拖拽另一个输入(以一种讨厌的方式拉其电压)以前,差动电压范围(约0.7V)受限。尽管如此,但我们还是可以把运算放大器用作比较器。但是,在我们这样做时必须小心谨慎。在一些电路中,这种做法可能是完全不能接受的。
问题是我们(包括其他运算放大器厂商)并没有总是说明这些钳位的存在。即使有所说明,我们可能也不会做详细的解释或者阐述。也许我们应该说:“用作比较器时,请小心谨慎!”产品说明书的作者们通常也只是假设您肯定会把运算放大器当作运算放大器用。最近,我们在美国亚利桑那州图森产品部召开了一个会议。会议决定,我们以后将会更加清楚地说明这种情况。但是,现在已经生产出来的运算放大器怎么办呢?下列指导建议可能会对您有所帮助:
一般而言,双极 NPN 晶体管运算放大器都有输入钳位,例如:OP07、OPA227 和 OPA277 等。uA741 是一个例外,它具有 NPN 输入晶体管,并且有一些为 NPN 提供固有保护的附加串联横向 PNP。

使用横向 PNP 输入晶体管的通用运算放大器一般没有输入钳位,例如:LM324、LM358、 OPA234、OPA2251 和 OPA244。这些运算放大器一般为“单电源”类型,其意味着它们拥有一个扩展至负电源端(或者稍低)的共模范围。输入偏置电流为一个负数时,表示输入偏置电流自输入引脚流出。这时,我们通常可以认定它们为这类运算放大器。但是,需要注意的是,使用 PNP 输入的高速运算放大器一般有输入钳位,而这些 PNP 是一些具有更低击穿电压的垂直 PNP。

更高电压(一般大于 20V)下工作的 JFET 和 CMOS 放大器,可能有也可能没有钳位。这种不确定性,要求您进行更多仔细的检查。所用工艺和晶体管类型的特性,决定了其内部是否存在钳位。
大多数低压 CMOS 运算放大器都没有钳位。自动归零或者斩波器类型是一个特例,其可能具有类似钳位的行为表现。
底线是……如果您考虑把运算放大器用作比较器,请一定小心谨慎。仔细阅读产品说明书,不要漏掉一点信息,包括应用部分的一些注解内容。在电路试验板或者样机中验证其表现,查看一个输入电压对另一个输入电压的影响。不要依赖 SPICE 宏模型。一些宏模型可能并不包括对钳位建模的一些额外组件。另外,当您笨手笨脚地把运算放大器从一个轨移动到另一个轨时可能出现其他一些现象,我们可能无法精确地对这些现象建模。
比较器典型应用电路
这里举两个简单的比较器电路为例来说明其应用。
1.散热风扇自动控制电路
一些大功率器件或模块在工作时会产生较多热量使温度升高,一般采用散热片并用风扇来冷却以保证正常工作。这里介绍一种极简单的温度控制电路,如图7所示。负温度系数(NTC)热敏电阻RT粘贴在散热片上检测功率器件的温度(散热片上的温度要比器件的温度略低一些),当5V电压加在RT及R1电阻上时,在A点有一个电压VA。当散热片上的温度上升时,则热敏电阻RT的阻值下降,使VA上升。RT的温度特性如图8所示。它的电阻与温度变化曲线虽然线性度并不好,但是它是单值函数(即温度一定时,其阻值也是一定的单值)。如果我们设定在80℃时应接通散热风扇,这80℃即设定的阈值温度TTH,在特性曲线上可找到在80℃时对应的RT的阻值。R1的阻值是不变的(它安装在电路板上,在环境温度变化不大时可认为R1值不变),则可以计算出在80℃时的VA值。

图9

图10
R2与RP组成分压器,当5V电源电压是稳定电压时(电压稳定性较好),调节RP可以改变VB的电压(电位器中心头的电压值)。VB值为比较器设定的阈值电压,称为VTH。
设计时希望散热片上的温度一旦超过80℃时接通散热风扇实现散热,则VTH的值应等于80℃时的K值。一旦VA》VTH,则比较器输出低电平,继电器K吸合,散热风扇(直流电机)得电工作,使大功率器件降温。VA、VTH电压变化及比较器输出电压Vout的特性如图9所示。这里要说清楚的是在VA开始大于VTH时,风扇工作,但散热体有较大的热量,要经过一定时问才能把温度降到80℃以下。

图11
从图9可看出,要改变阈值温度TTH十分方便,只要相应地改变VTH值即可。VTH值增大,TTH增大;反之亦然,调整十分方便。只要RT确定,RT的温度特性确定,则R1、R2、RP可方便求出(设流过RT、R1及R2、RP的电流各为0.1~0.5mA)。
2.窗口比较器
窗口比较器常用两个比较器组成(双比较器),它有两个阈值电压VTHH(高阈值电压)及VTHL(低阈值电压),与VTHH及VTHL比较的电压VA输入两个比较器。若VTHL≤VA≤VTHH,Vout输出高电平;若VA《VTHL,VA》VTHH,则Vout输出低电平,如图12所示。图12是一个冰箱报警器电路。冰箱正常工作温度设为0~5℃,(0℃到5℃是一个“窗口”),在此温度范围时比较器输出高电平(表示温度正常);若冰箱温度低于0V或高于5℃,则比较器输出低电平,此低电平信号电压输入微控制器(μC)作报警信号。

图12
温度传感器采用NTC热敏电阻RT,已知RT在0℃时阻值为333.1kΩ;5℃时阻值为258.3kΩ,则按1.5V工作电压及流过R1、RT的电流约1.5 uA,可求出R1的值。R1的值确定后,可计算出0℃时的VA值为0.5V(按图10中R1=665kΩ时),5℃时的VA值为0.42V,则VTHL=0.42V,VTHH=0.5V。若设R2=665kΩ,则按图11,可求出流过R2、R3、R4电阻的电流I=(1.5V-0.5V)/665kΩ=0.0015mA,按R4×I/=0.42V,可求出R4=280kΩ再按0.5V=(R3+R4)0.0015mA, 则可求出R3=53.3kΩ。

图13
本例中两个比较器采用低工作电压、低功耗、互补输出双比较器LT1017,无需外接上拉电阻。
总结:虽然在某种情况下运算放大器可以作为比较器来使用,但是当你对运算速度的要求较高时,运算放大器就不能满足比较器的需求了。通过这篇文章大家可以充分了解到运算放大器与比较器的不同之处及运算放大器在何种情况下可用作比较器,也让大家对放大器和比较器有了充分的认识与理解。
什么是比较器?比较器原理
我们从工程学教程里了解到,运算放大器需要三个内部级才能发挥出最佳性能,比如实现高输入阻抗、低输出阻抗和高增益等。三个内部级分别是差分输入级、增益级(有或没有内部频率补偿)和输出级。这种基本的体系结构已经沿用了好几十年。早期,运算放大器曾作为数学运算的基本器件,主要以电压和电压信号来作标识。在反馈应用中,通过配置放大器周边的无源或有源器件,可以令系统执行加、减、乘、除和对数等运算。
比较器其实可看成一个能够作逻辑 “决策”的逻辑输出电路。换句话说,它可把输入信号与已定义的参考电平进行比较。比较器的逻辑输出功能可以帮助用户设计具有多样化的额外功能的模拟电路。而且,无论是高速ADC、SAR型ADC还是Sigma-Delta ADC,比较器都是组建集成ADC的内部基本而又关键的模块。
比较器的基本体系结构和大部份的参数属性都与运算放大器类似。因此,运算放大器也可充当比较器。但放大器并不是专门针对比较功能而开发的,而且放大器的数据表一般都不保证这项功能可否正常实现。运算放大器与比较器的最大分别在于比较器是开环设计,没有反馈环节,而且输出会在任何一条电源轨的范围内显示差分输入信号的极性。
此外,比较器一般都会被设计成 “过压驱动”(overdriven),意思是它可经常处理较大的差分输入电压。相反,对于运算放大器而言,它通常被设计成在较小的信号和差分电压下运行,而这里的反馈概念通常都含有 “过驱” 意义,这样会导致开环配置中的输入出现饱和效应。如果将输入的极性倒转,则过驱时产生的输入级的饱和会导致信号的传播具有一定的延迟或相位滞后。
再者,对于较大的差分输入电压来说,运算放大器的输出很容易到达极限输出,从而启动保护功能。保护功能的启动将会导致输入阻抗的量级明显下降,迫使过量的电流涌到输入级,造成过载,甚至过热。如果在设计上没有保护的措施,那便可能导致整个器件损毁。因此,在器件的数据表,通常都会提供器件的最大输入电流的额定值,以帮助设计人员决定用多少附加输入电阻。
比较器通常都不进行频率补偿功能,因此其工作速度相当高,同时开关时间也在某程度上取决于 “过驱”的程度。图1表示出当衡量一个输出状态变化时的差分输入电压。从图中可看出过驱需要高于失调电压才可以保证比较器有效地进行工作。一般来说,较大的过驱可加快开关时间。
比较器一般都以参数值和/或功能来分类,例如:

图1 输入过驱和相关的传播延迟消散
·通用比较器;
·高速比较器(传播延迟少于50毫微秒);
·低压比较器(电源电压VCC低于5V);
·微功率比较器(静态电流低于20微安);
·集成参考的比较器。
比较器的特性取决于其类别,分别为:
·传播延迟—由施加一个差分信号与切换状态的输出级之间的时间延迟 (例如是50%)。
·内部或外部滞后— 滞后是一种介乎低到高开关电压和高到低开关电压之间的设计预算中或需激活的差别。有些比较器具备可调节滞后水平的功能,方法是通过在指定的引脚上施加电压。
·上升及下降时间—一般是输出电压的10%至90%的时间,并且上升和下降缘的时间可以有差别,假如这情况出现,那将会导致输出的周期时间会相对于输入信号而改变。
·触发率—指在某一个频率下,比较器的输出可以跟随输入的状态来变化。
·消散—量度传播延迟变化的参数。
·抖动—可以是随机或事前决定,负责量度信号缘在时间上的不定性。
现代高速比较器
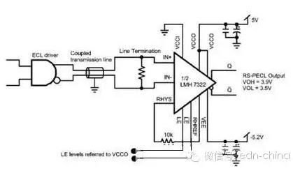
现今业界常用的比较器大多数是经过优化设计的,可为系统带来增值效益。最普遍的比较器应用类别是电平平移。现今,TTL和CMOS逻辑电平均已被广泛采用。对于高速应用而言,还可采用ECL(发射极耦合逻辑)、RSPECL(摆幅削减正发射极耦合逻辑)或LVDS(低压差分信号)。当需要从电缆和线路连接IC和FPGA,或在背板内的信号速度处于由每秒数百兆位至数千兆位的高速范围时,上述方案便会成为首选。LMH7220和 LMH7322便是可用作为高速/超高速电平比较变换的高速比较器件。
图2表示出一个LMH7322双高速比较器,并且以ECL变换到RSPECL的转换器方式实现。ECL高速逻辑已经沿用了很多年,尤其是供军事或测量用以及工业用的高档设置,而且它们属于负电压电平参考信号(-5.2V接地),难以连接到其它分离电源或单电源系统。幸而,LMH7322不单可有效解决上述的问题,与此同时比较起一般的逻辑电平移位器,它可提供给设计人员更大的自由度。该比较器在输入和输出电路上拥有不同的电源引脚,而其电源可以是由2.7V至12V的单一电源,又或是由±6V至±1.35V的分离电源。器件在输入时的共模范围可超出最低的电源电平200mV,从而令能在如此低的输入信号电平下感测到细微的信号。在高边上,共模范围受到1.5V的VCCI的限制,但需配合2.7V的VCCI和VCCO,还是有可能在输出上提供PECL逻辑电平。

图2 ECL 到 RSPECL 的电平变换
假如典型的上升和下降时间为160ps,而典型的传播延迟则为700ps,那便可促使该比较器为高速至每秒数千兆位的信号进行缓冲和电平平移,从而使电路适合应用在高速数据、时移、缓冲,或是来自电缆或背板的信号恢复。一个可调节的滞后可通过HYST引脚来施行,这做法对于失真信号或DC耦合线路或移动缓慢的信号来说最为受用,因为这可避免出现不必要的开关和触发。图2中的应用电路表示出输入VCCI信号是处于系统接地电平,而VCCO电平和VEE电平则分别处于+5V和-5.2V(这便是ECL驱动器负电源电平)。此外,输出电压将可符合RSPECL的规格。同一个器件可以用来介接到其他的逻辑电平,只需稍为调节VCCI和VCCO及VEE电压电平便可。加入例如是50W的适当线路端接是有可能的,图3所示为一基本端接例子。
图3中的差分输出以一个跟随着电源电流的发射极来实现,并且确保两个输出引脚之间的摆幅差别有400mV。假如这里采用有源端接,那电压便会低于VCCO电平2V,否则每当端接到芯片的最负电源时,便需计算出正确的负载电阻。

图3 LMH7322的输出线路端接例子
此外,上升/下降时间或带有消散的传播延迟等参数均需要慎重考虑,而且它们不是全部都被规定。消散可以因共模、过驱和压摆率的变化而引致,从而影响传播延迟、工作周期和抖动。以LMH7322为例,过驱消散或比较20mV至1V过驱的变化为75ps,在这情况下会大概增加本身的传播延迟约10%。
一个 “新类别”—精度比较器
一般比较器都有约10mV或更大的输入失调电压。精度型比较器的优点很明显,因为它可比较微弱信号。迄今为止,仍有人采用运算放大器作为比较器,就是因为一般的比较器不具有足够的精度。在电池电量监测应用中,当充电/放电的电压梯度相对平坦时,便可采用这些参数。其他特色功能包括低功耗、高精度,及可调整的检测阈值。

图4 具备”低电荷”状态显示的电池监视器
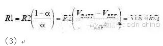
图4是采用LMP7300的电池电压监视器,该器件具有集成式高精度电压参考的微功率比较器。该电路的电池泄漏电流极小,典型为10mA的典型静态电流,并且拥有2.5V至12V的宽阔电压范围,它可在高边(电源线路)感应电流和具备有一个2.048V 55ppm的电压参考和通过两根引脚完成的可调节滞后。开漏输出能够驱动一个LED或触发一个微控制器的输入逻辑引脚。在图4中,R1和R2会为达到低的静态电流而设置成高阻抗。假如要触发一个低电池条件,那下列的公式1和2便可用来决定R1的数值:

那么,如果

若R2已知(例如是1MW),Vref 为2.048V,Vbatt应该是2.7V

190W和5mF的RC组合对于缓冲参考是很重要,因为这组合具有大约1mA的负载驱动能力和它可改善线路的调节能力。

图5 非对称滞后的典型配置
图5表示出可用来提供非对称滞后的内部参考和四个外部电阻器。电路中的跳变点可用下式4和5计算出来,至于滞后输入电压和电流范围以及参考负载电流数值则可从数据表中找到,但这些数值可能会限制了真正的电阻值范围和比率。

放大器和比较器的区别
1.放大器与比较器的主要区别是闭环特性
放大器大都工作在闭环状态,所以要求闭环后不能自激。而比较器大都工作在开环状态更追求速度。对于频率比较低的情况放大器完全可以代替比较器(要主意输出电平),反过来比较器大部分情况不能当作放大器使用。
因为比较器为了提高速度进行优化,这种优化却减小了闭环稳定的范围。而运放专为闭环稳定范围进行优化,故降低了速度。所以相同价位档次的比较器和放大器最好是各司其责。如同放大器可以用作比较器一样,也不能排除比较器也可以用作放大器。但是你为了让它闭环稳定所付出的代价可能超过加一个放大器!
换言之,看一个运放是当作比较器还是放大器就是看电路的负反馈深度。所以,浅闭环的比较器有可能工作在放大器状态并不自激。但是一定要作大量的试验,以保证在产品的所有工作状态下都稳定!这时候你就要成本/风险仔细核算一下了。
2.算放大器和比较器如出一辙,简单的讲,比较器就是运放的开环应用,但比较器的设计是针对电压门限比较而用的,要求的比较门限精确,比较后的输出边沿上升或下降时间要短,输出符合TTL/CMOS电平/或OC等,不要求中间环节的准确度,同时驱动能力也不一样。一般情况:用运放做比较器,多数达不到满幅输出,或比较后的边沿时间过长,因此设计中少用运放做比较器为佳。
比较器和运放虽然在电路图上符号相同,但这两种器件确有非常大的区别,一般不可以互换,区别如下:
1)、比较器的翻转速度快,大约在ns数量级,而运放翻转速度一般为us数量级(特殊的高速运放除外)。
2)、运放可以接入负反馈电路,而比较器则不能使用负反馈,虽然比较器也有同相和反相两个输入端,但因为其内部没有相位补偿电路,所以,如果接入负反馈,电路不能稳定工作。内部无相位补偿电路,这也是比较器比运放速度快很多的主要原因。
3)、运放输出级一般采用推挽电路,双极性输出。而多数比较器输出级为集电极开路结构,所以需要上拉电阻,单极性输出,容易和数字电路连接。
通过以上我们可以看出放大器和比较器还是有比较多的区别的,但是放大器可以替代比较器吗?都有哪些的注意点呢?
运算放大器可以替代比较器吗?
许多人偶尔会把运算放大器当比较器使用。一般而言,当您只需要一个简单的比较器,并且您在四运算放大器封装中还有一个“多余”运算放大器时,这种做法是可行的。稳定运算放大器运行所需的相位补偿意味着把运算放大器用作比较器时其速度会非常的低,但是如果对速度要求不高,则运算放大器可以满足需求。偶尔会有人问到我们运算放大器的这种使用方法。这种方法有时有效,有时却不如人们预期的那样效果好。为什么会出现这种情况呢?
许多运算放大器都在输入端之间有电压钳位,其大多数一般都使用背靠背二极管(有时使用两个或者更多的串联二极管)来实施。这些二极管保护输入晶体管免受其基极结点反向击穿的损害。差动输入为约 6V 时便会出现许多 IC 工艺击穿,这会极大地改变或者损坏晶体管。下图显示了 NPN 输入级,D1 和 D2 提供了这种保护功能。

在大多数常见运算放大器应用中,输入电压均约为零伏,其根本无法开启这些二极管。但是很明显,对于比较器的运行而言,这种保护便成了问题。在一个输入拖拽另一个输入(以一种讨厌的方式拉其电压)以前,差动电压范围(约0.7V)受限。尽管如此,但我们还是可以把运算放大器用作比较器。但是,在我们这样做时必须小心谨慎。在一些电路中,这种做法可能是完全不能接受的。
问题是我们(包括其他运算放大器厂商)并没有总是说明这些钳位的存在。即使有所说明,我们可能也不会做详细的解释或者阐述。也许我们应该说:“用作比较器时,请小心谨慎!”产品说明书的作者们通常也只是假设您肯定会把运算放大器当作运算放大器用。最近,我们在美国亚利桑那州图森产品部召开了一个会议。会议决定,我们以后将会更加清楚地说明这种情况。但是,现在已经生产出来的运算放大器怎么办呢?下列指导建议可能会对您有所帮助:
一般而言,双极 NPN 晶体管运算放大器都有输入钳位,例如:OP07、OPA227 和 OPA277 等。uA741 是一个例外,它具有 NPN 输入晶体管,并且有一些为 NPN 提供固有保护的附加串联横向 PNP。

使用横向 PNP 输入晶体管的通用运算放大器一般没有输入钳位,例如:LM324、LM358、 OPA234、OPA2251 和 OPA244。这些运算放大器一般为“单电源”类型,其意味着它们拥有一个扩展至负电源端(或者稍低)的共模范围。输入偏置电流为一个负数时,表示输入偏置电流自输入引脚流出。这时,我们通常可以认定它们为这类运算放大器。但是,需要注意的是,使用 PNP 输入的高速运算放大器一般有输入钳位,而这些 PNP 是一些具有更低击穿电压的垂直 PNP。

更高电压(一般大于 20V)下工作的 JFET 和 CMOS 放大器,可能有也可能没有钳位。这种不确定性,要求您进行更多仔细的检查。所用工艺和晶体管类型的特性,决定了其内部是否存在钳位。
大多数低压 CMOS 运算放大器都没有钳位。自动归零或者斩波器类型是一个特例,其可能具有类似钳位的行为表现。
底线是……如果您考虑把运算放大器用作比较器,请一定小心谨慎。仔细阅读产品说明书,不要漏掉一点信息,包括应用部分的一些注解内容。在电路试验板或者样机中验证其表现,查看一个输入电压对另一个输入电压的影响。不要依赖 SPICE 宏模型。一些宏模型可能并不包括对钳位建模的一些额外组件。另外,当您笨手笨脚地把运算放大器从一个轨移动到另一个轨时可能出现其他一些现象,我们可能无法精确地对这些现象建模。
比较器典型应用电路
这里举两个简单的比较器电路为例来说明其应用。
1.散热风扇自动控制电路
一些大功率器件或模块在工作时会产生较多热量使温度升高,一般采用散热片并用风扇来冷却以保证正常工作。这里介绍一种极简单的温度控制电路,如图7所示。负温度系数(NTC)热敏电阻RT粘贴在散热片上检测功率器件的温度(散热片上的温度要比器件的温度略低一些),当5V电压加在RT及R1电阻上时,在A点有一个电压VA。当散热片上的温度上升时,则热敏电阻RT的阻值下降,使VA上升。RT的温度特性如图8所示。它的电阻与温度变化曲线虽然线性度并不好,但是它是单值函数(即温度一定时,其阻值也是一定的单值)。如果我们设定在80℃时应接通散热风扇,这80℃即设定的阈值温度TTH,在特性曲线上可找到在80℃时对应的RT的阻值。R1的阻值是不变的(它安装在电路板上,在环境温度变化不大时可认为R1值不变),则可以计算出在80℃时的VA值。

图9

图10
R2与RP组成分压器,当5V电源电压是稳定电压时(电压稳定性较好),调节RP可以改变VB的电压(电位器中心头的电压值)。VB值为比较器设定的阈值电压,称为VTH。
设计时希望散热片上的温度一旦超过80℃时接通散热风扇实现散热,则VTH的值应等于80℃时的K值。一旦VA》VTH,则比较器输出低电平,继电器K吸合,散热风扇(直流电机)得电工作,使大功率器件降温。VA、VTH电压变化及比较器输出电压Vout的特性如图9所示。这里要说清楚的是在VA开始大于VTH时,风扇工作,但散热体有较大的热量,要经过一定时问才能把温度降到80℃以下。

图11
从图9可看出,要改变阈值温度TTH十分方便,只要相应地改变VTH值即可。VTH值增大,TTH增大;反之亦然,调整十分方便。只要RT确定,RT的温度特性确定,则R1、R2、RP可方便求出(设流过RT、R1及R2、RP的电流各为0.1~0.5mA)。
2.窗口比较器
窗口比较器常用两个比较器组成(双比较器),它有两个阈值电压VTHH(高阈值电压)及VTHL(低阈值电压),与VTHH及VTHL比较的电压VA输入两个比较器。若VTHL≤VA≤VTHH,Vout输出高电平;若VA《VTHL,VA》VTHH,则Vout输出低电平,如图12所示。图12是一个冰箱报警器电路。冰箱正常工作温度设为0~5℃,(0℃到5℃是一个“窗口”),在此温度范围时比较器输出高电平(表示温度正常);若冰箱温度低于0V或高于5℃,则比较器输出低电平,此低电平信号电压输入微控制器(μC)作报警信号。

图12
温度传感器采用NTC热敏电阻RT,已知RT在0℃时阻值为333.1kΩ;5℃时阻值为258.3kΩ,则按1.5V工作电压及流过R1、RT的电流约1.5 uA,可求出R1的值。R1的值确定后,可计算出0℃时的VA值为0.5V(按图10中R1=665kΩ时),5℃时的VA值为0.42V,则VTHL=0.42V,VTHH=0.5V。若设R2=665kΩ,则按图11,可求出流过R2、R3、R4电阻的电流I=(1.5V-0.5V)/665kΩ=0.0015mA,按R4×I/=0.42V,可求出R4=280kΩ再按0.5V=(R3+R4)0.0015mA, 则可求出R3=53.3kΩ。

图13
本例中两个比较器采用低工作电压、低功耗、互补输出双比较器LT1017,无需外接上拉电阻。
总结:虽然在某种情况下运算放大器可以作为比较器来使用,但是当你对运算速度的要求较高时,运算放大器就不能满足比较器的需求了。通过这篇文章大家可以充分了解到运算放大器与比较器的不同之处及运算放大器在何种情况下可用作比较器,也让大家对放大器和比较器有了充分的认识与理解。
比较器 电压 放大器 运算放大器 电路 模拟电路 ADC 电流 电阻 CMOS FPGA LED 电路图 二极管 PIC 继电器 传感器 相关文章:
- 建立比较器的外部滞回电压(11-28)
- 比较器的合理选择(06-09)
- 采用新型放大器实现高性能的电流检测(05-10)
- 适用于SAR ADC的CMOS比较器的设计(01-02)
- 利用低功耗比较器自动检测音频附件(05-11)
- 高性能CMOS集成电压比较器设计(10-07)
