电子电路基础:晶振电路设计方案及建议
时间:12-26
来源:互联网
点击:
该文将讨论晶振电路设计方案,并解释电路中的各个元器件的具体作用,并且在元器件数值的选择上提供指导。最后,就消除晶振不稳定和起振问题,最后文章还将给出了一些建议措施。
1 晶振的等效电气特性
(1) 概念
[1] 晶片,石英晶体或晶体、晶振、石英晶体谐振器
从一块石英晶体上按一定方位角切下薄片。
[2] 晶体振荡器
在封装内部添加IC组成振荡电路的晶体元件称为晶体振荡器。
(2) 晶振等效电路

图1. 晶振的等效电路
图1 展示了晶振等效的电路。R是ESR串联等效阻抗,L和C分别是晶振等效电感和等效电容。Cp是晶振的伴身电容,其极性取决于晶振的极性。
图2 是晶振的电抗频谱线。

图2. 晶振的电抗频谱线
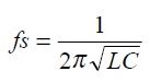
根据图 2,当晶振工作在串联谐振状态下时,电路就似一个纯电阻电路,感抗等于容抗(XL=XC)。串联谐振的频率为:

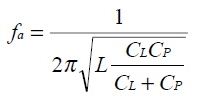
当晶振工作在并联谐振模式时,晶振表现为感性。该模式的工作频率由晶振的负载决定。对于并联谐振状态的晶振,晶振制造商应该指定负载电容CL。在这种模式下,振动频率由下式给出

在并联谐振模式下,电抗线中fs到fa的斜线区域内,通过调整晶振的负载,如图2,晶振都可以振荡起来。
2 晶振电路的设计
图3所示为推荐的晶振振荡电路图。这样的组成可以使晶振处于并联谐振模式。反相器在芯片内体现为一个AB型放大器,它将输入的电量相移大约180°后输出;并且由晶振,R1,C1和C2组成的π型网络产生另外180°的相移。所以整个环路的相移为360°。这满足了保持振荡的一个条件。其它的条件,比如正确起振和保持振荡,则要求闭环增益应≥1。

图3. 晶振振荡器设计电路
反相器附近的电阻Rf产生负反馈,它将反相器设定在中间补偿区附近,使反相器工作在高增益线性区域。电阻值很高,范围通常在500KΩ ~2MΩ内。
图示的C1,C2就是为晶振工作在并联谐振状态下得到加载电容CL的电容。关于最优的加载电容CL的计算公式为:

这里CS是PCB的漂移电容(stray capacitance),用于计算目的时,典型值为5pf。现在C1和C2选择出来满足上面等式。通常选择的C1和C2是大致相等的。C1和/或C2的数值较大,这提高了频率的稳定性,但减小了环路增益,可能引发起振问题。
R1是驱动限流电阻,主要功能是限制反相器输出,这样晶振不会被过驱动(over driven)。R1、C1组构成分压电路,这些元器件的数值是以这样的方式进行计算的:反相器的输出接近rail-to-rail值,输入到晶振的信号是rail-to-rail的60%,通常实际是令R1的电阻值和的C1容抗值相等,即R1 ≈ XC1。这使晶振只取得反相器输出信号的一半。要一直保证晶振消耗的功率在厂商说明书规定范围内。过驱动会损坏晶振。
理想情况下,反相器提供180°相移。但是,反相器的内在延迟会产生额外相移,而这个额外相移与内在延迟成比例。为保证环路全相移为n360°,π 型网络应根据反相器的延迟情况,提供小于180°的相移。R1的调整可以满足这一点。使用固定大小的C1和C2,闭环增益和相位可随R1变化。如果上述两个条件均得到了满足,在一些应用中,R1可以忽略掉。
一些芯片内置了全部这些外部器件(Rf, R1, C1, and C2),因此消除了电路设计师的烦恼。这种情况下,只要把晶振连接在XTAL和XTAL引脚上即可。
提示:
选择ESR小的晶振,有利于解决起振问题。较小的ESR可以增加环路增益。
在PCB板上缩短线路可以减小漂移电容。这也有利于解决晶振起振和振荡频率的问题。
在工作的温度下和工作的电压范围内经常性测试一下电路,以确保晶振起振和持续振荡。必要的时候调整元器件的数值。
为了取得最好效果,晶振的设计,用至少0.4 Vdd(峰峰值)的电平驱动时钟反相器。调节晶振不能满足要求。为了获得进一步的设计协助,请联系晶振制造商。
为了优化R1,我们推荐先计算C1和C2(前面已经解释过如何计算)。将R1替换成电位计,将其初始值设置到大约XC1。如果需要,调节电位计的设置,直到晶振起振并在稳态条件下保持振荡。
电路 振荡器 电感 电容 电阻 电路图 放大器 PCB 电压 相关文章:
- 整流电路(11-30)
- 单运放构成的单稳延时电路(11-29)
- 直流稳压电源电路(11-30)
- 基于ISP1581型接口电路的USB2.0接口设计(01-18)
- 单电源供电的IGBT驱动电路在铁路辅助电源系统中的应用(01-16)
- 为太阳能灯供电的低损耗电路的设计(01-22)
