宽频带低噪声放大器设计
时间:12-15
来源:互联网
点击:
宽频带低噪声放大器(Broadband Low Noise Amplitier,BBLNA)是通信、测控等接收系统的关键部件,它的噪声系数、增益及频响特性等指标直接影响着接收系统的主要性能。因此在宽频带接收系统领域,宽频带低噪声放大器的设计将具有非常广阔的市场前景。各种低噪声器件的功率增益都是随着频率的升高而降低,以每倍频程大约3~5 dB规律下降。为获得较宽又较平坦的频响特性,就必须对增益滚降进行补偿。可是有意降低低频段的增益必然使输入、输出驻波比变坏,同时噪声系数也将变大。但是对于宽频带低噪声放大器来说,一般不可能使用隔离器来改善驻波比。另外,低噪声器件的输入、输出阻抗也随频率有较大变化,更增加了匹配电路的复杂性。尽管宽频带低噪声放大器的电路结构有多种形式,但采用Lange耦合器设计的平衡式放大器有噪声方面的优点,其噪声系数与单端低噪声放大器差不多,而在设计匹配电路时,可以完全按照最佳噪声匹配设计,不必兼顾输入、输出驻波比。因此选择平衡式电路结构来进行宽频带低噪声放大器的设计。
1 设计原理
平衡式宽频带低噪声放大器由两只低噪声器件和两个Lange耦合器组成,其中两支低噪声器件及其匹配电路网络完全一致,减小了匹配电路计算的复杂性,输入、输出驻波比好,噪声小,工作频带可达1~2倍频程。
2 Lange耦合器
Lange耦合器又称90°三分贝电桥,其结构示意图如图1所示,在宽频带和紧耦合特性上比其他耦合器有非常突出的优势。设计思路是利用几条耦合线彼此平行,使得线的两边都产生耦合从而实现紧耦合,并通过补偿相速达到改善带宽。常用的微波电路仿真软件几乎都建有典型模型,以便于辅助设计。

图1 Lange耦合器结构示意图
3 放大器原理
平衡式宽频带低噪声放大器原理图见图2,若输入射频信号fin的功率和相位分别为P和0°,经Lange耦合器等分为P1,P2两部分。P1相位为 -90°,P2相位为-180°,分别由两只经过配对的低噪声器件放大。由于匹配电路一致,增益G相同,传输相移皆改变180°,放大后的两路信号分别为 GP1,GP2,GP1相位为-270°,GP2相位为0°。两路信号再经耦合器合成后,在B4端口GP1,GP2大小相等,相位相差180°,没有功率输出;在B1端口GP1,GP2相位相同,两部分功率叠加输出fout,其大小为GP1+GP2=G(P1+P2)=GP.即在理想状态下,平衡式宽频带低噪声放大器的增益等于单只低噪声器件的增益。

图2 平衡式宽频带低噪声放大器原理图
采用平衡式电路结构具有以下优点:
(1)由于每只低噪声器件只承担一半功率放大,则放大器输出功率1 dB压缩点将增大3 dB,相应动态范围也增大3 dB,三阶交调约改善6 dB.
(2)端口驻波比得到很大改善,现假设V1,V2的反射系数相等,射频信号fin由耦合器A1端口输入,等分成两部分由A2,A3端口输出,A2端口的反射功率再回到A1端口,总路径相移为-180°;A3端口的反射功率再回到A1端口,总路径相移为-360°,显然两部分反射功率大小相等,相位相反而抵消,因此在A1端口没有反射功率。另外,V1,V2的反射功率在A4端口相叠加,需要加50 Ω匹配负载RL进行吸收。通过耦合器的移相作用,理想情况下端口驻波比恒为1.
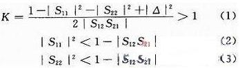
(3)提高了放大器工作的稳定性,放大器稳定性的判定条件如下:

式中:△=S11S22-S12S21,K为稳定因子。当同时满足上面三个条件时,放大器绝对稳定。可以证明平衡式放大器的稳定性判别系数K恒大于1. 在图2中,A1端口和B1端口理论上是无反射的,不存在由于信号源或者负载的反射可能造成的自激振荡。尽管单只低噪声器件本身在低频段存在潜在不稳定性,然而只要匹配电路设计良好,A1端口和B1端口之间就是绝对稳定的。这个特性在宽频带接收系统中很重要,特别在天线与放大器匹配时,效果将更加明显。
(4)平衡放大器最低噪声系数和单端放大器基本相同,但在设计匹配电路时,可以完全按照最佳噪声匹配设计,以获得理想最小噪声匹配,不必兼顾驻波比。
在窄频带低噪声放大器中,直流偏压供电引入线的常用结构是λg/4高阻抗微带线,其终端采用扇形线或电容对高频短路,这种结构可用的工作频带最高不过 40%~50%带宽。因此在宽频带低噪声放大器电路中,不可能再用这种形式的偏压引入线,可采用微带线中心跳线型式的偏压引入线,即把跳线焊接在微带中心轴线上,在理想状态下微带线中心正上方空间处没有电场分布。跳线外端焊点对微带边沿的距离至少要大于基片厚度,以保证焊接点在电场之外。由于跳线直径对电感量影响较弱,长度对电感量影响较大,需准确控制。跳线可适当离开基片表面,以减小地板对电感量的影响。另外还需考虑电源的低频滤波和级间低频去耦电容,去耦和旁路电路要足够大,以免出现低频振荡。微带电路中的隔直电容尽量采用高Q值、高稳定温度系数、无谐振及低损耗的宽频带表贴电容,如美国DLI公司 C06系列产品。屏蔽盒体横向宽度应小于最高工作频率的半波长,以避免盒体内部空间产生波导传输效应。微带基片应保持良好接地,固定螺钉的数量要相对多一点,最好螺钉孔的孔壁金属化接地。调试时在盒体的上盖板内表面贴敷相应频段吸波材料,以减小空间耦合所引起的带内增益起伏。
宽频带低噪声放大器还需要进行电磁兼容设计,首先对进入屏蔽盒的电源线使用带馈通滤波器的穿芯电容进行滤波,减小通过电源线所带来的串扰问题;其次需要解决好放大器的端口匹配,确保集成到接收系统时能兼容工作;最后还需对盒体采取电磁屏蔽措施,减小因电磁辐射所带来的干扰问题。在研发阶段加强电磁兼容工作,有利于产品通过相应标准电磁兼容测试。
4 设计实例仿真
根据某任务研制要求,需要设计一个工作于L/S频段的低噪声放大器,主要技术指标包括:工作频率为1.2~2.5 GHz
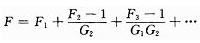
-1dB≥10 dBmW;增益G≥32 dB;噪声系数Nf≤1.1 dB;输入、输出驻波比不大于1.5.依据以往工程经验,选用两只NEC公司生产的NE42484A低噪声器件进行平衡式电路设计,此电路增益明显满足不了指标要求,需要增加一级高增益且噪声较低的带内匹配电路的放大器,如Stanford公司生产的SAN-386内匹配晶体管。根据多级放大器噪声计算公式:
式中:F为两级放大器总的噪声系数,F1,F2分别为第一、二级的噪声系数,G1,G2分别为第一、二级的增益。通过该公式可以明显看出,级联后的噪声系数主要取决于第一级放大器的噪声系数,且第一级增益越大,后级对总噪声系数的贡献就越小。
两只NE42484A场效应管的S参数尽量选择一致,微带基片选用介电常数为9.2、厚度为1 mm的复合介质基板,利用ADS软件建立仿真电路拓扑结构,匹配电路的形式选择微带阻抗变换型匹配法,该匹配法在形式上相当于若干条微带线相互串联而成。根据NE42484A场效应管和SAN-386晶体管的S参数进行仿真优化设计,常用的优化方式分为随机优化和梯度优化,随机法通常用于大范围搜索,梯度法则用于局域收敛。优化时可设定少量的可变参数,对放大器的各个指标分步骤进行优化,先用100~200步的随机法进行优化,后用20~30步的梯度法进行优化,一般可达最优结果。
仿真结果见图3.在1.2~2.5 GHz的工作频带内,输出功率1 dB压缩点在器件的选择时已经保证;带内增益在35~37 dB之间;噪声系数不大于0.8 dB;输入、输出驻波比均小于1.5.仿真分析结果表明,采取这种设计方案可以满足研制要求。通过仿真优化后的电路拓扑结构绘制微带电路板,注意要在匹配微带线加入隔离小岛,以方便调试时更改微带线的尺寸,获得更好的性能;在电路的四周大面积附铜,并留下较密集的金属化接地过孔,增强电路的接地性能,如图 4所示。图中标有V1,V2处是待焊接的两只NE42484A场效应管,V3处是待焊接的SAN-386晶体管。

图3 仿真优化结果
在放大器的生产调试过程中发现有两个重要环节需要注意,一个是的加工工艺保证;另一个是供电偏置电感的调试。Lange耦合器的耦合线间需要粘结跳线,如图1所示,试验证明微带电路板镀金后采用金丝压焊工艺可以保证可靠性和精度,且耦合线问采用单根跳线或多根跳线性能指标基本不变,因此建议在实际使用时采用两根以上并行跳线以提高可靠性。如果工艺条件上无金丝焊接技术,还可以采用同样拓扑结构,选择专业厂家生产的Lange耦合器,例如Anaren公司的小型化表贴器件。供电偏置电感需要手工成形,调试时通过微调线圈间距来改变电感大小,实现电路的最佳匹配,调试完成后采取硅橡胶加固,从而提高可靠性。

图4 微带电路图
在完成放大器的调试后对所要求的各项指标进行了实际测试,在1.2~2.5 GHz的工作频带内,增益在33~35 dB之间,比仿真结果小2 dB左右;噪声系数不大于1dB,比仿真结果偏大0.2dB左右;输入、输出驻波比跟仿真结果基本一致。因此该宽频带低噪声放大器各项指标均满足研制任务要求。
5 结语
采用Lange耦合器的宽频带特性设计平衡式宽频带低噪声放大器,可以获得理想的噪声匹配,不必兼顾驻波比,且放大器的可靠性和稳定性也比较好,并通过设计实例的仿真和测试结果对相应指标进行了验证。
放大器 电路 仿真 射频 电容 电感 滤波器 场效应管 电路图 相关文章:
- 使用简化电路的高压放大器(11-21)
- 无需调谐的“砖墙式”低通音频滤波器(11-20)
- 对数放大器的技术指标(11-26)
- 一种增大放大器增益的方法(11-28)
- 对数放大器的典型应用 (11-26)
- AGC中频放大器的设计 (11-29)
