用于±10 V输入的12位、300 kSPS、单电源、完全隔离式数据采集系统
时间:12-15
来源:互联网
点击:
连接/参考器件
AD8606/ 精密、低噪声、双通道CMOS、轨到轨输入/输出运算放大器
AD7091R/ 1 MSPS、超低功耗、12位ADC
ADuM5401/ 集成DC/DC转换器的四通道2.5 kV隔离器
12位、300 kSPS、单电源、完全隔离式数据采集系统,用于±10 V输入
电路评估板
CN0335电路评估板(EVAL-CN0335-PMDZ)
SDP/PMD转接板(SDP-PMD-IB1Z)
系统演示平台(EVAL-SDP-CB1Z)
电路功能与优势
图1所示电路是只采用了三个有源器件的完全隔离式12位、300 kSPS数据采集系统。
该系统采用3.3 V单电源供电,可处理±10 V输入信号。室温校准后,在±10°C温度变化范围内的总误差不超过±0.1% FSR,是各种工业测量应用的理想之选。
该电路的小巧尺寸使得该组合成为业界领先的数据采集系统解决方案,在这种系统中精度、速度、成本和尺寸极为关键。数据和电源相互隔离,因而该电路具有出色的高电压耐受性,同时还能有效避免恶劣工业环境下常见的接地环路干扰问题。

图1. ±10 V隔离式单电源数据采集系统(未显示所有连接和去耦)
电路描述
该电路由一个输入信号调理级、一个ADC级和一个输出隔离级构成。±10 V输入信号由U1A运算放大器进行电平转换和衰减,该运算放大器是双通道AD8606的一半。该运算放大器的输出为0.1 V至2.4 V,与ADC的输入范围相匹配(0 V至2.5 V),裕量为100 mV用于维持线性度。来自ADC的缓冲基准电压(VREF =2.5 V)用于生成所需失调。可以修改电阻值,以适应本电路笔记后面部分所述的其他常用输入范围。
该电路设计支持单电源供电。AD8606的最小额定输出电压为50 mV(2.7 V电源)和290 mV(5 V电源),负载电流为10 mA,温度范围为-40°C至+125°C。在3.3 V电源、负载电流低于1 mA、温度范围更窄的情况下,保守估计最小输出电压为45 mV至60 mV。
考虑到器件的容差,最小输出电压(范围下限)设为100 mV,以提供安全裕量。输出范围的上限设为2.4 V,以便为ADC输入端的正摆幅提供100 mV的裕量。因此,输入运算放大器的标称输出电压范围为0.1 V至2.4 V。
AD8606 (U1B)的另一半用于缓冲AD7091R (U3) ADC的内部2.5 V基准电压。
本应用中选用AD8606的原因是该器件具有低失调电压(最大值65 μV)、低偏置电流(最大值1 pA)和低噪声(最大值12 nV/√Hz)等特性。在3.3V电源下,功耗仅为9.2 mW。
运算放大器的输出级后接一个单极点RC滤波器(R3/C9),用于降低带外噪声。RC滤波器的截止频率设为664 kHz。可添加一个可选二阶滤波器(R4、C10和R1、R2、C11),以便在出现低频工业噪声的情况下,进一步降低滤波器截止频率。在这类情况下,由于信号带宽较小,因此可以降低AD7091R的采样速率。
选择AD7091R 12位1 MSPS SAR ADC是因为其在3.3 V (1.2 mW)下的功耗超低,仅为349 μA,显著低于当前市场上竞争对手的任何ADC。AD7091R还内置一个2.5 V的基准电压源,其典型漂移为±4.5 ppm/℃。输入带宽为7.5 MHz,且高速串行接口兼容SPI。AD7091R采用小型10引脚MSOP封装。
采用3.3V电源供电时,该电路的总功耗(不包括ADuM5401隔离器)约为10.4 mW。
电流隔离由四通道数字隔离器ADuM5401(C级)提供。除了隔离输出数据以外,ADuM5401还为该电路提供隔离3.3 V电源。除非需要隔离,否则电路正常运行时并不需要ADuM5401。ADuM5401四通道2.5 kV隔离器集成DC/DC转换器,采用小型16引脚SOIC封装。ADuM5401在7 MHz时钟频率下的功耗约为140 mW。
AD7091R需要50 MHz的串行时钟(SCLK),方能实现1 MSPS的采样速率。然而,ADuM5401(C级)隔离器的最大数据速率为25 Mbps,对应的最大串行时钟频率为12.5 MHz。另外,SPI端口要求,SCLK的后沿将输出数据驱动至处理器,因此,ADuM5401的总双向传播延迟(最大值120 ns)将时钟上限限制在1/120 ns = 8.3 MHz。
尽管AD7091R是一款12位ADC,但串行数据同样被格式化为16位字,以便与处理器串行端口要求相兼容。因此,采样周期TS包括AD7091R 650 ns的转换时间加上58 ns(数据手册要求的额外时间,t1延迟 + tQUIET延迟),再加上用于SPI接口数据传输的16个时钟周期。
TS = 650 ns + 58 ns + 16 × 120 ns = 2628 ns
fS = 1/TS = 1/2628 ns = 380 kSPS
为了提供安全裕量,建议将SCLK和采样速率的最大值分别设为7 MHz和300 kSPS。数字SPI接口可以用12引脚且兼容Pmod的连接器(Digilent Pmod规格)连接到微处理器评估板。
电路设计
图2所示电路可将-10 V至+10 V输入信号衰减及电平转换为0.1 V至2.4 V的ADC输入范围。

图2. 输入电压信号调理电路
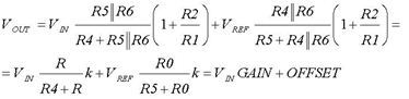
传递函数通过叠加原理求得。

(1)
其中:

(2)
且

(3)
增益、输出失调和电阻值的计算
若输入电压范围为±10 V,则计算如下。
电路的增益为:

(4)
根据传递函数:

(5)
电路的输出失调为:

(6)
根据传递函数:

(7)
由等式4可知,对于k =1.23(该值可变动,具体取决于标准数值电阻R1和R2的值),R4/R的比值可计算如下:
R4 = 9.696R (8)
由等式7可知,若VREF = 2.5V且k =1.23,则R5/R0的比值可计算如下:
R5 = 1.46R0 (9)
由等式2中的电阻R和R0,以及等式8和等式9中的比值可知,R4/R6比值可计算如下:
R4 = 5.346R6 (10)
由等式8、等式9和等式10可知,电阻R4、R5和R6可计算如下。例如,若选择R6 = 10 kΩ,则R4 = 53.46 kΩ,R5 =12.3 kΩ。
在实际电路中,为电阻R4和R5选择了最接近现有标准的电阻值。所选值为R4 = 52.3 kΩ,R5 = 12 kΩ。注意,R1 = R4,R2 = R5。
如果仔细选择这些值,因使用替代标准值电阻导致的总误差可降至几个百分点以下。然而,应通过等式1来重新计算U1A运算放大器在±10 V输入下的输出,以确保维持所需裕量。
这类电路的绝对精度主要取决于电阻,因此,需要进行增益和失调校准,以消除因替代标准值电阻和电阻容差导致的误差。
计算不同输入范围的电阻
对于±10 V以外的输入范围,可完成下列计算步骤。
定义输入范围、输出范围和失调:

(11)

(12)

(13)
计算增益:

(14)
计算失调:

(15)
选择参数k的数值:

(16)
通过下式选择R4/R比值:

(17)
通过下式选择R5/R0比值:

(18)
用等式2中定义的数值替换等式17和等式18中的R和R0,并求解两个等式,得出R4/R6比值。
选择电阻R6的值。通过R4/R6比值算出R4。得到R4和R6数值,通过等式2和R4/R6比值计算R5。通过等式16计算R2和R1。可适当选择R1 = R4并计算R2。
电阻温度系数对总误差的影响
公式1表明,输出电压与以下五个电阻相关:R1、R2、R4、R5和R6。TP1处的满量程输出电压对这五个电阻中每个阻值的微小变化敏感,其灵敏度通过仿真程序计算。电路的输入电压为+10 V。计算得到的各灵敏度为SR1 = 0.19、SR2 = 0.19、SR4 = 0.39、SR5 = 0.11、SR6 = 0.50。假设各温度系数以和方根(rss)方式组合,则采用100 ppm/°C电阻时,总满量程漂移约为:
满量程漂移 =
= 100 ppm/°C √(SR12 + SR22 + SR42 + SR52 + SR62)
= 100 ppm/°C √(0.192 + 0.192 + 0.392 + 0.112 + 0.502)
= 69 ppm/°C
69 ppm/°C的满量程漂移对应于0.0069% FSR/°C。使用25 ppm/°C电阻可将漂移误差降低至0.25 × 69 ppm/°C = 17 ppm/°C,或者0.0017% FSR/°C。
有源元件温度系数对总误差的影响
AD8606运算放大器和AD7091R ADC的直流失调由校准程序消除。
ADC AD7091R内置基准电压源的失调漂移典型值为4.5 ppm/°C,最大值为25 ppm/°C。
AD8606运算放大器的失调漂移典型值为1μV/°C,最大值为4.5μV/°C。
U1A AD8606输入导致的误差以2.3 V输出范围为基准,因而为2 ppm/°C。U1B基准电压缓冲器导致的误差以2.5 V为基准,同样约为2 ppm/°C。
总漂移误差结如表1所概括。这些误差不包括AD7091R的±1 LSB积分非线性误差。
请注意,如果采用50 ppm/°C或100 ppm/°C电阻,则总漂移的最大来源是电阻漂移,有源元件产生的漂移可忽略。
表 1. 温度漂移导致的误差

两点校准前后的测试数据
为了执行两点校准,先向输入端施加-10 V的电流,并将ADC输出代码记为Code_1。然后,向输入端施加+10 V的电流,再将ADC输出代码记为Code_2。增益系数通过下式计算:

现在,可通过下式计算与任何输出代码Code_x对应的输入电压:

通过比较使用元件标称值计算得到的理想传递函数和未校准实际电路传递函数,可以得到校准前的误差。实测电路所用电阻的容差为±1%。测试结果不包括温度变化。
图3中所示为环境温度下校准前后的百分比误差(FSR)测试结果。如图所示,校准前的最大误差约为0.23% FSR。校准后,误差降至±0.03% FSR,大致相当于ADC的1 LSB误差。

图3. 室温校准前后的电路测试误差
PCB布局考虑
在任何注重精度的电路中,必须仔细考虑电路板上的电源和接地回路布局。PCB应尽可能隔离数字部分和模拟部分。该系统的PCB采用简单的双层板堆叠而成,但采用4层板可以得到更好的EMS性能。有关布局和接地的信息,请参见MT-031指南;有关去耦技术的信息,请参见MT-101指南。AD8606的电源应当用10 μF和0.1 μF电容去耦,以适当抑制噪声并减小纹波。这些电容应尽可能靠近相应器件,0.1 μF电容应具有低ESR值。对于所有高频去耦,建议使用陶瓷电容。电源走线应尽可能宽,以提供低阻抗路径,并减小电源线路上的毛刺效应。
ADuM5401 isoPower集成式DC/DC转换器要求在输入和输出电源引脚上进行电源旁路。请注意,引脚1与引脚2以及引脚15和引脚16之间需要低ESR旁路电容,这些电容应尽可能靠近芯片焊盘。为了抑制噪声并降低纹波,至少需要并联两个电容。针对VDD1和VISO,推荐的电容值是0.1 μF和10 μF。较小的电容必须具有低ESR,建议使用陶瓷电容。低ESR电容末端到输入电源引脚的走线总长不得超过2 mm。如果旁路电容的走线长度超过2 mm,可能会破坏数据。考虑在引脚1与引脚8及引脚9与引脚16之间实现旁路,除非两个公共地引脚靠近封装连在一起。
高电压能力
这款PCB依据2500 V基本绝缘规范而设计。不建议进行2500 V以上的高电压测试。在高电压下使用该评估板时必须谨慎,而且不得依赖该PCB来实现安全功能,因为它未经过高电位测试(也称为高压测试或耐压绝缘测试),也未通过安全认证。
常见变化
经验证,采用图中所示的元件值,该电路能够稳定地工作,并具有良好的精度。可在该配置中采用其他精密运算放大器和其他ADC,以将±10V输入电压范围转换成数字输出,用于本电路的各种其他应用中。
可依据“电路设计”部分的等式,针对±10 V输入电压范围以外进行设计,如图1所示。表2显示针对某些标准电压范围计算电阻。
表2. 标准电压范围元件值

在下限为零且上限高于基准电压时,转换不需增益(k = 1),并且可简化电路。图4显示输入范围为0 V至10 V的一个例子。

图4. 0 V至10 V隔离式单电源模数转换(未显示所有连接和去耦)
AD7091与AD7091R类似,但没有基准电压输出,而且输入范围等于电源电压。AD7091可与2.5 V ADR391基准电压源配合使用。ADR391不需要缓冲,因此可在电路中使用一个AD8605。
ADR391是一款精密2.5 V带隙基准电压源,具有低功耗、高精度(温度漂移为9 ppm/°C)等特性,采用微型TSOT封装。
AD8608是AD8605的四通道版本,在需要额外的精密运算放大器时,可以替代AD8606。
AD8601、AD8602和AD8604分别为单通道、双通道和四通道轨到轨、输入和输出、单电源放大器,具有超低失调电压和宽信号带宽等特性,可以替代AD8605、AD8606和AD8608。
AD7457是一款12位、100 kSPS、低功耗SAR ADC,在不需要300 kSPS吞吐速率的情况下,可以与ADR391基准电压源相配合,用于代替AD7091R。
电路评估与测试
本电路采用EVAL-CN0335-PMDZ电路板、SDP-PMD-IB1Z和EVAL-SDP-CB1Z系统演示平台(SDP)评估板。转接板SDP-PMD-IB1Z和SDP板EVAL-SDP-CB1Z采用120引脚对接连接器。转接板和EVAL-CN0335-PMDZ板采用12引脚Pmod对接连接器,可快速进行设置和评估电路性能。EVAL-CN0335-PMDZ板包含要评估的电路(如本笔记所述),SDP评估板与CN0335评估软件配合使用,以捕获来自EVAL-CN0335-PMDZ电路板的数据。
设备要求
· 带USB端口的Windows XP、Windows Vista(32位)或Windows 7/8(64位或32位)PC
· EVAL-CN0335-PMDZ电路评估板
· EVAL-SDP-CB1Z SDP评估板
· SDP-PMD-IB1Z转接板
· CN0335评估软件
· 精密电压源
开始使用
将CN0335评估软件光盘放进PC的光盘驱动器,加载评估软件。也可以从CN0335评估软件中下载最新版的评估软件。打开“我的电脑”,找到包含评估软件光盘的驱动器,打开setup.exe。按照屏幕上的提示完成安装。建议将所有软件安装在默认位置。
功能框图
图5所示为测试设置的功能框图。
设置
1. 通过直流管式插孔将EVAL-CFTL-6V-PWRZ(+6 V直流电源)连接到SDP-PMD-IB1Z转接板。
2. 通过120引脚ConA连接器将SDP-PMD-IB1Z(转接板)连接到EVAL-SDP-CB1Z SDP板。
3. 通过USB电缆将EVAL-SDP-CB1Z(SDP板)连接到PC。
4. 通过12引脚接头Pmod连接器将EVAL-CN0335-PMDZ评估板连接到SDP-PMD-IB1Z转接板。
5. 通过端子板J2将电压源(电压生成器)连接到EVAL-CN0335-PMDZ评估板。
测试
启动评估软件。如果“设备管理器”中出现“Analog Devices System Development Platform(ADI系统开发平台)”驱动器,软件便能与SDP板通信。一旦USB通信建立,就可以使用SDP板来发送、接收、捕捉来自EVAL-CN0335-PMDZ板的串行数据。可将各种输入电压值保存到电脑中。有关如何使用评估软件来捕捉数据的详细信息,请参阅CN0335软件用户指南。
EVAL-CN0335-PMDZ板照片如图6所示。

图5. 测试设置功能框图

图 6. EVAL-CN0335-PMDZ板的照片
CMOS 放大器 ADC 电路 电压 运算放大器 电阻 电流 滤波器 连接器 仿真 PCB 电容 USB ADI 相关文章:
- 德州仪器高性能模拟运放产品系列介绍集锦(11-13)
- CMOS求和比较器在PWM开关电源控制中的应用(11-27)
- 如何将CMOS LDO应用于便携式产品中(01-15)
- 2.5 Gb/s 0.35μmCMOS光接收机前置放大器设计(01-22)
- 用于下一代移动电话的电源管理划分(08-28)
- 不同电源供电的器件间的桥接(04-27)
