电流反馈放大器如何为我所用?
时间:12-15
来源:互联网
点击:
电流反馈 (CFB) 放大器大部分归属高速放大器范畴。近年来所推出的大量良好应用指南主要用来介绍应用电流反馈放大器的工作以及其中所遇到的主要问题。这里我们将通过简短的文字加以总结。
CFB 放大器具有一个高阻抗输入(非反相输入)、一个低阻抗输入(反相输入)以及一个输出低阻抗,如下图所示。注意:为了便于讨论,我会忽略电源引脚及禁用功能。
~

图 1:CFB 内部组件
只要不加载输入,非反相输入端电压便可看到高输入阻抗。非反相输入端电压在通过缓冲器时会出现在反相输入端。由于缓冲器不太理想,因此它会具有随频率变化的增益 a(s),DC 幅度非常接近 1V/V,通常为 0.996V/V。此外,缓冲器在理想情况下,输出阻抗为 0W。实际上,输出阻抗介于几欧姆到几十欧姆之间。目前我会忽略阻抗的电感分量。
缓冲器的作用有两个:
1) 迫使反相节点电压跟随非反相输入;
2) 提供一个用于疏导误差电流的低阻抗路径。
误差电流通过缓冲器后,会通过高跨阻抗增益级传输至输出端。关闭反馈环路可将误差电流降到几乎等于零,这种方式与电压反馈放大器中将误差电压降至零的方式类似。
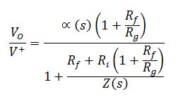
剩下的工作就是写出如下方程并对其进行求解。


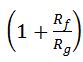
是噪声增益,在所示的非反相配置情况下也是信号增益。
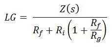
环路增益可表示为:

这对于理想的 CFB [Ri = 0]来说,是一个非常重要的公式,因为它表明了环路增益与反馈电阻的比例关系,因此反馈电阻可作为 CFB 的主要补偿。事实上,增加反馈电阻及带宽 (BW),不仅会降低反馈电阻,同时还可增大带宽。实际上,不可能将反馈电阻降低到特定值以下,否则放大器会发生振荡。
只要[Ri = 0],带宽就与增益不成比例,而且 CFB 可看作与增益带宽结果无关。实际上,这在Ri ≠ 0时,对一阶而言是成立。
CFB 还具备固有的高压摆率和低偏置电流。输入级是一个缓冲器,可提供尽可能多的电流,直到内部晶体管饱和为止。该饱和的发生时间比传统差分对输入电压反馈放大器 (VFB) 要晚得多。该特性十分重要,其可转化成更高的全功率带宽。
最后,CFB 并不适合所有应用。它们最适合那些受噪声增益增加影响最大以及仅需有限带宽(几百 MHz)但需要高增益的应用。CFB 不太可能作为前端放大器使用,因为 VFB 支持更低噪声,可带来更好的效果。但作为二阶,CFB 确实具备比任何 VFB 都要好得多的带宽-静态电流比。此外,CFB 还适合需要多个输入的求和应用。在这类应用中,VFB 的带宽会受到噪声增益的限制。最后,最适合使用 CFB 的最新应用就是线路驱动器,该应用中一般同时需要高增益和高带宽,而且具有高输出电流与高压摆率。
- ECL电源开关的应用研究(11-30)
- 电流源电路(01-23)
- 什么是权电流型DAC(数模转换器)(01-24)
- 高速应用中电流反馈运放电路设计分析(01-06)
- 线性光电耦合器在开关电源中的应用(01-15)
- 可对储能器件进行安全且快速充电的通用型电流源(03-13)
