有源滤波电路设计总结
时间:10-29
来源:互联网
点击:
1. 一阶有源滤波电路

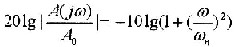
电路设计图如图1所示,通带电压增益A0等于同相比例放大电路的电压增益Avf,即:A0=Avf=l+Rf/Rl,而从对RC低通电路的分析可知Vp(s)=Vi(s)/(1+sRC),故可导出电路的传递函数为:A(s)=V0(s)/Vi(s)=Avf/(1+s/ωn),式中ωn=l/(RC),ωn是特征角频率。令s=jω可得:

。当ω=ωn时就是-3dB截止频率,当ω=1Oωn时衰减率是20dB/十倍频程,可见一阶滤波器的滤波效果还不够好,若要求滤波响应以更高的衰减率衰减,则需采用高阶次滤波。
在图1中将R和C交换位置即是一阶高通滤波电路,如图2所示,对应的幅频响应为

当ω=ωn时就是-3dB截止频率,当ω=ωn/10时衰减率是20dB/十倍频程。
2 二阶有源滤波电路
电路设计图如图3所示,如前所述,同相比例放大电路的电压增益就是低通滤波器的通带电压增益,即A0=Avf=1+Rf/R1。
运放的同相输入端电压关系为:

联立上述三个方程可得到计算电路的传递函数表达式:

很显然这是低通滤波电路的基本幅频特性。当Q>O.707时,幅频响应图像将出现峰值,当Q≤0.707时,幅频响应比较平坦。令Q=O.707,当ω/ωn=1时,20lg|A(jω)/AVF|=3dB:当ω/ωn=10时,20lg|A(jω)/AVF|=-40dB。将二阶低通滤波特性与一阶低通滤波特性相比较,不难发现,二阶比一阶低通滤波电路的滤波效果要好很多。由此推断,若阶数越高,幅频响应特性曲线越接近理想状况。
若将图3中的R和C互换,就可得到二阶有源高通滤波电路,如图4所示。

由于二阶高通和低通电路在结构上存在对偶关系,它们的传递函数和幅频响应也存在对偶关系,用1/(sRC)替换sRC可得二阶高通滤波电路的传递函数为:

3 二阶带通滤波电路
由理想滤波电路图可知,将低通与高通滤波电路相串联就可构成带通滤波电路,前提条件是低通滤波电路的截止频率大于高通滤波电路的截止频率。带通滤波电路如图5所示。

通过以上类似计算可得带通滤波电路的传递函数为:

这就是带通滤波电路的通带电压增益。

电路设计图如图1所示,通带电压增益A0等于同相比例放大电路的电压增益Avf,即:A0=Avf=l+Rf/Rl,而从对RC低通电路的分析可知Vp(s)=Vi(s)/(1+sRC),故可导出电路的传递函数为:A(s)=V0(s)/Vi(s)=Avf/(1+s/ωn),式中ωn=l/(RC),ωn是特征角频率。令s=jω可得:

。当ω=ωn时就是-3dB截止频率,当ω=1Oωn时衰减率是20dB/十倍频程,可见一阶滤波器的滤波效果还不够好,若要求滤波响应以更高的衰减率衰减,则需采用高阶次滤波。
在图1中将R和C交换位置即是一阶高通滤波电路,如图2所示,对应的幅频响应为

当ω=ωn时就是-3dB截止频率,当ω=ωn/10时衰减率是20dB/十倍频程。
2 二阶有源滤波电路
电路设计图如图3所示,如前所述,同相比例放大电路的电压增益就是低通滤波器的通带电压增益,即A0=Avf=1+Rf/R1。
运放的同相输入端电压关系为:

联立上述三个方程可得到计算电路的传递函数表达式:

很显然这是低通滤波电路的基本幅频特性。当Q>O.707时,幅频响应图像将出现峰值,当Q≤0.707时,幅频响应比较平坦。令Q=O.707,当ω/ωn=1时,20lg|A(jω)/AVF|=3dB:当ω/ωn=10时,20lg|A(jω)/AVF|=-40dB。将二阶低通滤波特性与一阶低通滤波特性相比较,不难发现,二阶比一阶低通滤波电路的滤波效果要好很多。由此推断,若阶数越高,幅频响应特性曲线越接近理想状况。
若将图3中的R和C互换,就可得到二阶有源高通滤波电路,如图4所示。

由于二阶高通和低通电路在结构上存在对偶关系,它们的传递函数和幅频响应也存在对偶关系,用1/(sRC)替换sRC可得二阶高通滤波电路的传递函数为:

3 二阶带通滤波电路
由理想滤波电路图可知,将低通与高通滤波电路相串联就可构成带通滤波电路,前提条件是低通滤波电路的截止频率大于高通滤波电路的截止频率。带通滤波电路如图5所示。

通过以上类似计算可得带通滤波电路的传递函数为:

这就是带通滤波电路的通带电压增益。
- 整流电路(11-30)
- 单运放构成的单稳延时电路(11-29)
- 直流稳压电源电路(11-30)
- 基于ISP1581型接口电路的USB2.0接口设计(01-18)
- 单电源供电的IGBT驱动电路在铁路辅助电源系统中的应用(01-16)
- 为太阳能灯供电的低损耗电路的设计(01-22)
