一种轨至轨输入的低压低功耗运放的设计
时间:10-28
来源:互联网
点击:
电源电压逐步下降,晶体管的阈值电压并没有减小,但是运放的共模输入范围越来越小,这使设计出符合低压低功耗要求,输入动态幅度达到全摆幅的运放成为一种必须。本文所设计的具有轨至轨(R-R)输入功能的低压低功耗CMOS运算放大电路,在各种共模输入电平下有着几乎恒定的跨导,使频率补偿更容易实现,适合应用于VLSI库单元及其相关技术领域。
理论模型
基本的轨至轨输入结构
在较低的电源电压下,运算放大器的输 入级设计是非常重要的。传统的PMOS差动输入级的共模输入电压范围 VCM可表示为:
(1)
式中,VSS为负电源电压, VCM为共模输入电压,VDsat为源漏饱和压降,VGSP为PMOS的栅源电压。同理,NMOS差动输入级的共模输入电压范围可表示为:
(2)
式中,VGSN为NMOS的栅源电压。如果将PMOS和NMOS差分对互补连接使用,就可以使运放的输入共模范围变为:
(3)
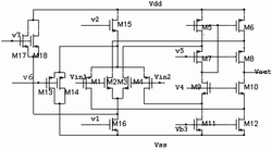
从而实现了轨至轨的共模输入。图1为轨至轨输入结构的电路示意图。


图1 基本轨至轨输入电路图2 低压低功耗运算放大器电路
跨导恒定结构
图1所示的轨至轨输入级电路采用互补折叠式结构,使共模输入电压可以在整个从地到电源电压的范围内工作,如果输入级工作在饱和区,电路的跨导由下面的公式确定:

或者
(4)
式中mn和mp分别代表NMOS和PMOS的迁移率。从上面的公式可以看出,输入级的跨导会随栅源电压和便置电流的变化而变化。因此,当共模输入电平从VDD到VSS变 化时,轨至轨输入差分对的跨导从PMOS差分对的跨导变化到PMOS +NMOS差分对的跨导之和,再变化到NMOS差分对的跨导。中间部分跨导gm几乎是其它部分的一倍,这种跨导的变化会使运放的增益误差发生变化,从而使频率特性变差,因此,需要设计一种电路,使轨至轨输入电路具有恒定的跨导。
目前,可保证R-R输入级的gm恒定不变的设计方法主要有以下几种:1. 采用双极(BJT)线性互补差分对形式的输入级。 2. 由齐纳二极管将P、N差分对的偏置电流连起来实现。 3. 采用冗余的差分对来实现。4. 用电流镜技术,使偏置电流的大小随输入共模电压的变化而变化。
上述第4种方法的电路不仅结构简单,而且对gm的控制也易于实现。因此,本文运用了对输入跨导的控制原理,采用了一种 全新的保持R-R输入级gm为常数的电路结构。
电路设计
本文所设计的电路如图2所示,该电路由输入互补差分对、恒定gm电路、共源共栅求和电路组成。M1"M4构成了输入互补差分对。当低共模输入时,P输入差分对M1、M4处于工作状态,N输入差分对M2、M3截止,开关管M17 、M18开启,抽取M16上的电流;M13、M14截止。M15的电流全部流入P差分对,则此区间的等效差分跨导为:
(5)
当共模输入电压在中间值附近时, P差分对M1、M4与N差分对M2、M3均导通,控制开关M17、M18、M13、M14开启,分别调节它们的栅电压,使其从M15、M16均抽取3/4的电流,则此区间的等效差分跨导为:
(6)
当在高共模输入区时,N差分对M2、M3工作,P差分对M1、M4截止。开关管M13、M14开启,抽取M15上的电流,开关管M17、M18截止,M16的电流全部流入N差分对,则此区间的等效差分跨导为:
(7)
从上面的分析可知,只要合理选择四个输入管子的长宽比,满足如下关系:
(8)
gm就会保持恒定。
M5"M12为共源共栅求和电路。这种结构的输出阻抗和电压增益比较高,并且有很好的频率特性和电源抑制比。经过分析可知,该电路结构在互补差分对交替工作的时候,当M1,M4与M2、M3不能同时处于饱和状态时,引起求和电路M5"M12的静态电流发生变化,使电路的输出电阻和极点发生少许改变,从而可能会在过渡区出现大跨导尖峰,但是,由于这个过渡区很窄,估计这种大的尖峰不会出现,在整个共模范围内,输入跨导基本保持恒定。

图3 运放的跨导仿真结果
仿真结果
本文采用TSMC公司的0.35mm工艺器件的HSpice参数模型进行仿真,得到下面的结果。图3是运放的总跨导,从图中可以看出,当共模输入电压从0V到2V变化时,整个跨导在5%以内变化,跨导在中部的变化正如上面所述,是由于 差动对交替工作时,静态电流的变化所引起的。
结语
本文所设计的运算放大器具有2V的电源电压,150mW的功耗和75°的相位裕度,在整个共模范围内,输入级的跨导基本保持恒定,提高了运放的性能指数。且结构简单,特别适合作为VLSI的库单元。
理论模型
基本的轨至轨输入结构
在较低的电源电压下,运算放大器的输 入级设计是非常重要的。传统的PMOS差动输入级的共模输入电压范围 VCM可表示为:
(1)式中,VSS为负电源电压, VCM为共模输入电压,VDsat为源漏饱和压降,VGSP为PMOS的栅源电压。同理,NMOS差动输入级的共模输入电压范围可表示为:
(2)式中,VGSN为NMOS的栅源电压。如果将PMOS和NMOS差分对互补连接使用,就可以使运放的输入共模范围变为:
(3)从而实现了轨至轨的共模输入。图1为轨至轨输入结构的电路示意图。


图1 基本轨至轨输入电路图2 低压低功耗运算放大器电路
跨导恒定结构
图1所示的轨至轨输入级电路采用互补折叠式结构,使共模输入电压可以在整个从地到电源电压的范围内工作,如果输入级工作在饱和区,电路的跨导由下面的公式确定:

或者
(4)式中mn和mp分别代表NMOS和PMOS的迁移率。从上面的公式可以看出,输入级的跨导会随栅源电压和便置电流的变化而变化。因此,当共模输入电平从VDD到VSS变 化时,轨至轨输入差分对的跨导从PMOS差分对的跨导变化到PMOS +NMOS差分对的跨导之和,再变化到NMOS差分对的跨导。中间部分跨导gm几乎是其它部分的一倍,这种跨导的变化会使运放的增益误差发生变化,从而使频率特性变差,因此,需要设计一种电路,使轨至轨输入电路具有恒定的跨导。
目前,可保证R-R输入级的gm恒定不变的设计方法主要有以下几种:1. 采用双极(BJT)线性互补差分对形式的输入级。 2. 由齐纳二极管将P、N差分对的偏置电流连起来实现。 3. 采用冗余的差分对来实现。4. 用电流镜技术,使偏置电流的大小随输入共模电压的变化而变化。
上述第4种方法的电路不仅结构简单,而且对gm的控制也易于实现。因此,本文运用了对输入跨导的控制原理,采用了一种 全新的保持R-R输入级gm为常数的电路结构。
电路设计
本文所设计的电路如图2所示,该电路由输入互补差分对、恒定gm电路、共源共栅求和电路组成。M1"M4构成了输入互补差分对。当低共模输入时,P输入差分对M1、M4处于工作状态,N输入差分对M2、M3截止,开关管M17 、M18开启,抽取M16上的电流;M13、M14截止。M15的电流全部流入P差分对,则此区间的等效差分跨导为:
(5)当共模输入电压在中间值附近时, P差分对M1、M4与N差分对M2、M3均导通,控制开关M17、M18、M13、M14开启,分别调节它们的栅电压,使其从M15、M16均抽取3/4的电流,则此区间的等效差分跨导为:
(6)当在高共模输入区时,N差分对M2、M3工作,P差分对M1、M4截止。开关管M13、M14开启,抽取M15上的电流,开关管M17、M18截止,M16的电流全部流入N差分对,则此区间的等效差分跨导为:
(7)从上面的分析可知,只要合理选择四个输入管子的长宽比,满足如下关系:
(8)gm就会保持恒定。
M5"M12为共源共栅求和电路。这种结构的输出阻抗和电压增益比较高,并且有很好的频率特性和电源抑制比。经过分析可知,该电路结构在互补差分对交替工作的时候,当M1,M4与M2、M3不能同时处于饱和状态时,引起求和电路M5"M12的静态电流发生变化,使电路的输出电阻和极点发生少许改变,从而可能会在过渡区出现大跨导尖峰,但是,由于这个过渡区很窄,估计这种大的尖峰不会出现,在整个共模范围内,输入跨导基本保持恒定。

图3 运放的跨导仿真结果
仿真结果
本文采用TSMC公司的0.35mm工艺器件的HSpice参数模型进行仿真,得到下面的结果。图3是运放的总跨导,从图中可以看出,当共模输入电压从0V到2V变化时,整个跨导在5%以内变化,跨导在中部的变化正如上面所述,是由于 差动对交替工作时,静态电流的变化所引起的。
结语
本文所设计的运算放大器具有2V的电源电压,150mW的功耗和75°的相位裕度,在整个共模范围内,输入级的跨导基本保持恒定,提高了运放的性能指数。且结构简单,特别适合作为VLSI的库单元。
电压 CMOS 电路 放大器 电路图 运算放大器 电流 二极管 电阻 仿真 相关文章:
- 选择最佳的电压基准源(11-29)
- 对电压参考进行滤波以获得低噪声性能(01-16)
- 可编程快速充电管理芯片MAX712/ MAX713及其应用(01-23)
- 改进型全桥移相ZVS-PWMDC/DC变换器(01-23)
- 负输出罗氏变换器实用性剖析(01-09)
- 通信电源设备对杂音电压的控制要求(02-13)
