直流电机伺服驱动开关电源的EMI滤波器设计
时间:07-17
来源:互联网
点击:
引言
直流电机专用伺服驱动电源,已不仅仅是传统意义上的开关电源,它直接参与了直流电机的控制工作,其特有的微机接口控制和上电时序控制功能尤其适合直流电机驱动系统,相对传统的通用型大功率电源有着明显的的技术优势,其多功能的技术特点,符合电机驱动电源系统的发展方向。然而,随着电子设计、计算机与家用电器的大量涌现和广泛普及,电网噪声干扰日益严重并形成一种公害。特别是瞬态噪声干扰,其上升速度快、持续时间短、电压振幅度高(几百伏至几千伏)、随机性强,尤其会对微机和伺服驱动系统易产生严重干扰,常使人防不胜防。
电磁干扰滤波器(EMI Filter)是近年来被推广应用的一种新型组合器件。它能有效地抑制电网噪声,提高伺服系统和电子设备的抗干扰能力及系统的可靠性,可广泛用于电子测量仪器、计算机机房设备、开关电源、测控系统等领域。本文介绍的就是一种直流电机伺服驱动开关电源的EMI滤波器设计。
滤波器设计
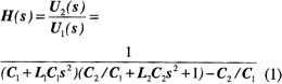
根据直流电机伺服驱动开关电源系统的特点,本设计中的EMI滤波器采用双级LC网络设计,双级LC网络插入开关电源电路中的位置如图1所示。
由于LC网络谐振时,会产生很大的电流(压)峰值,这个网络有3个频率点的谐振峰值是必须限制,否则,会产生更大的EMI。限制这3个频率点的峰值是设计这个滤波器的主要指导思想。这3个频率点分别是:
第一级滤波器的谐振频率:
下面具体讨论滤波器设计方法,即选取LC网络中元件参数的方法:
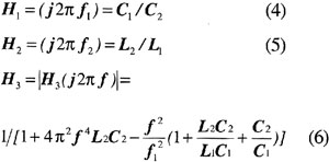
由上面3个式子,3个频率点对应的传递函数的幅值分别为:
为了限箭f1点的谐振峰值,要求插入衰减
zollogH1=zologC1/C2<0,即C1<C2<1。根据经验,它们的比值范围为
(1) 由(7)~(9)式确定了比值,这样只有二个参数是独立的;
(2) 由于滤波器负载侧(开关电流i(t)侧)谐波分量较大,C2应选一个大容量电容器。
(3) 由(1)、(2)步结果代入(9)式,就可以确定另一个独立参数。
(4) 由直流侧电源Us确定电容器额定电压值Uce≥2Us。
例如:若开关电源开关频率f=50kHz,Us=24V,由上述参数选取原则,选取二组参数见表1。
EMI滤波器的技术参数及测试方法
主要技术参数
EMI滤波器的主要技术参数有:额定电压、额定电流、漏电流、测试电压、绝缘电阻、直流电阻、使用温度范围、工作温升Tr、插入损耗AdB、外形尺寸、重量等。上述参数中最重要的是插入损耗(亦称插入衰减),它是评价电磁干扰滤波器性能优劣的主要指标。
插入损耗(AdB)是频率的函数,用dB表示。设电磁干扰滤波器插入前后传输到负载上的噪声功率分别为P1、P2,有公式:
AdB=101g(P1/P2) (10)
假定负载阻抗在插入前后始终保持不变,则P1=V12/Z,P2=V22/Z。式中V1是噪声源直接加到负载上的电压,V2是在噪声源与负载之间插入电磁干扰滤波器后负载上的噪声电压,且V1<<V2。代入(10)式中得到:
AdB=201g(V1/V2) (11)
插入损耗的测量方法
插入损耗用分贝(dB)表示,分贝值愈大,说明抑制噪声干扰的能力愈强。测量插入损耗的电路如图3所示。US是噪声信号发生器,Zi是信号源的内部阻抗,ZL是负载阻抗,一般取50Ω。噪声频率范围可选10kHZ~30MHz。首先要在不同频率下分别测出插入前后负载上的噪声压降V1、V2,再代入(11)式中计算出每个频率点的AdB值,最后绘出插入损耗曲线。
实验结果表明本文设计的LC双级滤波器具有滤波效果好、结构简单、价格便宜、实用性强等特点。
直流电机专用伺服驱动电源,已不仅仅是传统意义上的开关电源,它直接参与了直流电机的控制工作,其特有的微机接口控制和上电时序控制功能尤其适合直流电机驱动系统,相对传统的通用型大功率电源有着明显的的技术优势,其多功能的技术特点,符合电机驱动电源系统的发展方向。然而,随着电子设计、计算机与家用电器的大量涌现和广泛普及,电网噪声干扰日益严重并形成一种公害。特别是瞬态噪声干扰,其上升速度快、持续时间短、电压振幅度高(几百伏至几千伏)、随机性强,尤其会对微机和伺服驱动系统易产生严重干扰,常使人防不胜防。
电磁干扰滤波器(EMI Filter)是近年来被推广应用的一种新型组合器件。它能有效地抑制电网噪声,提高伺服系统和电子设备的抗干扰能力及系统的可靠性,可广泛用于电子测量仪器、计算机机房设备、开关电源、测控系统等领域。本文介绍的就是一种直流电机伺服驱动开关电源的EMI滤波器设计。
滤波器设计
根据直流电机伺服驱动开关电源系统的特点,本设计中的EMI滤波器采用双级LC网络设计,双级LC网络插入开关电源电路中的位置如图1所示。



由于LC网络谐振时,会产生很大的电流(压)峰值,这个网络有3个频率点的谐振峰值是必须限制,否则,会产生更大的EMI。限制这3个频率点的峰值是设计这个滤波器的主要指导思想。这3个频率点分别是:
第一级滤波器的谐振频率:


下面具体讨论滤波器设计方法,即选取LC网络中元件参数的方法:
由上面3个式子,3个频率点对应的传递函数的幅值分别为:

为了限箭f1点的谐振峰值,要求插入衰减
zollogH1=zologC1/C2<0,即C1<C2<1。根据经验,它们的比值范围为

(1) 由(7)~(9)式确定了比值,这样只有二个参数是独立的;
(2) 由于滤波器负载侧(开关电流i(t)侧)谐波分量较大,C2应选一个大容量电容器。
(3) 由(1)、(2)步结果代入(9)式,就可以确定另一个独立参数。
(4) 由直流侧电源Us确定电容器额定电压值Uce≥2Us。
例如:若开关电源开关频率f=50kHz,Us=24V,由上述参数选取原则,选取二组参数见表1。

EMI滤波器的技术参数及测试方法
主要技术参数
EMI滤波器的主要技术参数有:额定电压、额定电流、漏电流、测试电压、绝缘电阻、直流电阻、使用温度范围、工作温升Tr、插入损耗AdB、外形尺寸、重量等。上述参数中最重要的是插入损耗(亦称插入衰减),它是评价电磁干扰滤波器性能优劣的主要指标。
插入损耗(AdB)是频率的函数,用dB表示。设电磁干扰滤波器插入前后传输到负载上的噪声功率分别为P1、P2,有公式:
AdB=101g(P1/P2) (10)
假定负载阻抗在插入前后始终保持不变,则P1=V12/Z,P2=V22/Z。式中V1是噪声源直接加到负载上的电压,V2是在噪声源与负载之间插入电磁干扰滤波器后负载上的噪声电压,且V1<<V2。代入(10)式中得到:
AdB=201g(V1/V2) (11)
插入损耗的测量方法
插入损耗用分贝(dB)表示,分贝值愈大,说明抑制噪声干扰的能力愈强。测量插入损耗的电路如图3所示。US是噪声信号发生器,Zi是信号源的内部阻抗,ZL是负载阻抗,一般取50Ω。噪声频率范围可选10kHZ~30MHz。首先要在不同频率下分别测出插入前后负载上的噪声压降V1、V2,再代入(11)式中计算出每个频率点的AdB值,最后绘出插入损耗曲线。

实验结果表明本文设计的LC双级滤波器具有滤波效果好、结构简单、价格便宜、实用性强等特点。
开关电源 电子 电压 滤波器 电路 电流 电容 电容器 电阻 信号发生器 相关文章:
- 开关电源的开关损耗(11-25)
- 数字技术在开关电源控制中的应用和发展(11-27)
- 几种实用的直流开关电源保护电路(11-27)
- 一种高压开关电源的设计(11-27)
- 平面变压器在开关电源中应用的优越性分析(11-27)
- DC-DC开关变换器中混沌现象的研究综述(11-27)
