基于RFID项目实物期权价值评估
时间:01-18
来源:互联网
点击:
无线射频识别技术(radio frequency identification,RFID)是一种使用射频通信实现的非接触式自动识别技术。RFID技术的发展和广泛应用将对供应链管理(supply chain management,SCM)产生革命性影响。
目前普遍采用3种方法评估RFID项目价值:① 由专家或RFID实际应用者主观推测;②分析RFID应用案例,推算项目价值,如HARD—GRAVE 对应用RFID和没有应用RFID的商店进行了对比研究,许多应用报告或白皮书都用这种方法给出了定量评估结果;③先研究RFID如何影响系统的运行特性,再看运行特性的改变如何增强决策和运作有效性,最后给出评估结果,如MIT的SUBIRANA等 基于详细的时间一动作过程,研究了RFID在仓储管理中的收益。这些研究对RFID项目的价值评估做了有益探索,但目前的研究却大多基于传统的DCF方法,未能充分考虑RFID技术的柔性,也忽视了RFID赋予企业对有价值的增长机会进一步投资的权利,因此有可能会得出错误的评估结论。鉴于此,笔者将实物期权方法引入RFID项目评估,以期为企业决策者提供新的视角。
1 项目不确定性分析
标的资产为非金融资产的期权称为实物期权。实物期权的兴起源于学术界和实业界对传统投资评价技术的置疑,MYERS首先指出,当投资对象是高度不确定项目时,传统净现值理论低估了实际投资的价值。基于RFID技术的供应链管理项目存在如下不确定性。
(1)企业内生的不确定性。这可能是源于下述风险:企业没有能力资助RFID项目后期巨额投资;企业IT基础架构、技术水平和项目实施经验等不足以保证RFID项目顺利实施;员工因工作机会可能被RFID技术剥夺等顾虑而采取不合作态度,甚至引发劳资纠纷,使项目搁浅。此外,还有供应链伙伴不信任、不合作等风险。
(2)竞争的不确定性。如竞争者先发制人,率先引入RFID项目,取得品牌效应提升等先行者优势,而给本企业的RFID项目收益带来影响。
(3)市场的不确定性。它主要包括:①标准不确定性。RFID还没有统一的全球标准。② 消费者态度不确定性。RFID可能带来的对个人隐私权的侵犯及磁场污染和废弃标签处理等环保问题而影响消费者对RFID技术的接受度。③技术不确定性。如RFID设备供应商生产技术、标签封装技术及中间件技术等的不确定性。④数据安全不确定性。RFID系统涉及标签、读写器、互联网和数据库系统等多个对象,除了面临RFID病毒等与计算机网络相同的安全缺陷外,还有标签安全、网络安全等安全问题。⑤RFID软硬件价格不确定性。⑥网络外部不确定性。RFID项目价值随采用RFID的组织数增加而提高,但未来实施RFID项目的组织数具有不确定性。
2 项目嵌入的实物期权类型
进行实物期权评估时,首先必须识别可能嵌入的期权类型。在基于RFID的SCM项目中,可嵌入多重期权。
(1)延迟期权。RFID项目具有较高不确定性,因此在得到更充分的信息前,等待应用RFID技术的价值可能超过立即应用RFID技术的价值。如在RFID标准非常重要的应用上,等待RFID技术成为行业标准有着明显的期权价值。
(2)分阶段投资期权。分阶段投资能显著降低项目开发风险,增加项目价值¨ 。著名IT系统项目论证与决策机构Gartner公司将RFID技术在企业中的应用分成3个阶段:①企业在内部采用RFID技术,以验证RFID技术能够应用于某种企业环境中;②将RFID系统读取的数据整合至传统业务流程,由于是用新技术来适应传统应用,没有业务流程创新,因此很难获得高的投资回报;③以RFID技术为核心设计业务流程,这时才真正体现出RFID技术的商用价值。
(3)改变运营规模期权。企业投资RFID技术,可首先在集装箱或托盘级别使用,然后再扩展到大规模的单品级别,从而使RFID应用从小规模向大规模发展。
(4)增长期权。RFID技术在供应链中的应用可分为闭环应用和开环应用两种,闭环应用是指在企业内部使用,开环应用是指应用于整个供应链。闭环应用可回避行业标准及与外部合作伙伴同步等问题,是较好的入门选择;开环应用则可带来更高收益,但实施难度和成本也大。早期闭环应用可看作是为企业带来未来开环应用的机会,赋予了企业增长期权。
(5)创新期权。RFID技术可带来业务创新、产品创新等创新机会,企业可根据条件的变化,在适当时机决定是否采用RFID技术进行创新活动,从而使之具有了创新期权。
(6)学习期权。RFID系统首先在某些部门实施,可以为将来的全面实施积累宝贵经验,为管理者下一阶段决策提供科学依据。
(7)转换期权。RFID资源重组或转换也有价值。RFID项目实施与企业研发、信息、财务及市场等多个部门相关,可以根据市场需求改变RFID系统的产出或在产出不变的情况下改变系统投入。
(8)放弃期权。根据新的信息变化回撤项目的选择权增加了RFID项目价值。在RFID项目早期决策中,还要考虑和评估出售RFID基础结构的可行性及部分回收投资的可行性。RFID项目不同阶段的主要不确定性有所不同,拥有的主要期权类型也有所不同,基于RFID技术的供应链管理项目嵌入的实物期权如图1所示。

3 项目实物期权评估构架
根据实物期权评估思想,建立了基于RFID技术的SCM项目的实物期权评估构架,如图2所示。模型分4个子模块。

模块1。基础数据库建立。建立包含基于RFID技术的供应链管理项目的经济、技术和环境基本数据的数据库模块,其基本结构如图3所示。数据库中的信息可通过对宏观环境和RFID市场的调研得到。
(2)模块2。投资场景设定和模型参数计算。

首先根据未来的不确定性设定可能的投资场景,从而对待选投资方案做出初步设计。如图4所示,分为3个步骤:①定义RFID投资项目,确定投资的目标和要求,并从技术、组织和经济等方面界定投资假设,辨明投资不确定性;②针对不确定性因素,识别相应的实物期权,这些期权经过选择后,最终有可能进入待选投资方案,称之为潜在期权;③识别各阶段主要不确定性因素,并结合对未来收益、成本等的主观估计,确定若干由多个潜在期权组成的期权序列,即待选投资方案。在此基础上,使用基础数据库中的初级数据和经过处理的次级数据来计算和估计价值评估中的各项参数,如RFID项目的投资收益、成本、时间及收益的不确定性等。

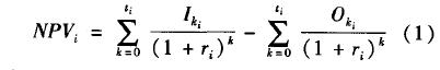
(3)模块3。DCF计算。NPV、ROI等是DCF评价方法中的重要指标。设ⅣP 为第i种待选投资方案的净现值(i=1,2,...,n),n为模块2中设计的待选投资方案总数,NPVi的计算式为:

式中,ti 为第i个投资方案的投资年限;Iki为第i个投资方案第k年的现金流人量;Oki 为第i 个投资方案第k年的现金流出量; ri为第i个投资方案采用的贴现率。
DCF评价的两个关键参数是预期净现金流量和贴现率。RFID项目的未来现金流出量会受RFID软硬件价格波动的影响,可采用蒙特卡罗模拟的价格对此加以反映。贴现率的选取目前还没有通用方法 。可选取无风险投资报酬率或投资企业的加权平均资本成本估算,也可根据资本资产定价模型估算,还可在无风险报酬率上加上风险溢价估算。采用无风险投资报酬率可得到项目最大的投资报酬,采用资金成本可得到中等投资报酬,对风险进行合理推断后得出的必要投资.报酬率则一般给出最小投资报酬。评估者可根据自己的意向和风险偏好,选择乐观法则、悲观法则或最小后悔值法则对RFID项目进行DCF评价。
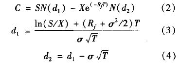
(4)模块4。实物期权计算与决策。与DCF评价常常只考虑一个场景不同,实物期权评价强调多投资场景转换的不确定性。实物期权模型可分为两类:离散时间模型,包括二叉树、三叉树等模型;连续时间模型,包括普通公式类模型、随机微分方程和蒙特卡罗模拟。在普通公式类模型中,布莱克一休斯公式是最早、最著名的解析解,可用于度量延迟、放弃及增长期权。B-S公式为:

式中,s为标的资产的当前价值; 为期权的执行价格;T为期权的到期时间; Rf为无风险利率;为标的资产价值波动的方差;N(·)为累积正态分布函数;e=2.718 3。
在项目的实物期权计算中,S为项目净收益的现值; X为执行期权时的投资成本;T为项目投资有效期。此外,MARGRABE 得到将一项资产和另一项资产进行互换的期权定价公式,GESKE 得到具有确定性执行价格的复合期权定价解析解。需指出的是,RFID项目通常嵌入了复合期权,因此其计算通常会遇到两方面困难:首先,实物期权具有不可加性,组合期权的价值可能会大于、等于或小于其分别计算的期权价值的总和;其次,需要在不同的期权序列中权衡,因为某一个期权序列可能在减少某类风险的同时增加其他风险,如延迟期权会降低市场风险但也会增加竞争风险。对于这类有相互影响作用的复合期权的计算,TRIGEORGIS纠进行了研究。根据实物期权理论,RFID项目最终的真实价值应包括两部分,如式(5)所示:

式中,NPVTi为在第i个投资方案中RFID项目的最终真实价值;NPVT i为第 i 个投资方案中RFID项目的内在价值,即从投资中得到的直接现金流量,由传统净现值方法求得;ROVi为第i个投资方案中RFID项目的实物期权价值,即由嵌入的期权带来的管理柔性的价值大小。
在计算了各待选投资方案中RFID项目的真实价值之后,就可选择满意的方案开始投资,如果没有得到满意的项目价值,可返回模块2,对投资场景进行修订和再设计,直至最终找到合适的投资路径,得到满意的项目价值。
4 项目价值评估示例
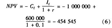
假设某大型零售企业正考虑实施基于RFID技术的供应链管理项目。该公司已建立包含RFID项目的经济、技术和环境基本数据的数据库。根据对数据库中基础数据和次级数据的分析和计算得出,为购置RFID标签、读写器等软硬件产品需要100万美元的初始项目成本c f,假定初始项目的未来现金流量,lf在第一年年末收到,其值估计为60万美元,基于项目风险,折现率r取10%。现在分析求解是否应投资这个初始项目。该公司初始RFID项目的NPV为:

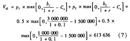
根据DCF法的决策标准,不应接受NPV,值为负的项目,因此这个项目应被拒绝。但现在的情况是,初始项目使企业拥有了在第二年年初投资第二期项目的可能,第二期项目有两种可能结果:若第一期项目成功且消费者反映较好,第二期项目预期会在第二年末带来300万美元的现金流入b。,否则现金流人b:只有100万美元,第二期项目的预期成本C。为150万美元,这两种情况发生的概率P (i=1,2)都为0.5。为简化起见,第二期项目与第一期项目使用相同的折现率。在第二期项目将要开始时,第一期项目结果会显现,使决策者对于第二期项目的收益情况能更容易做出估计。由于在成本超过收入的情况下,管理层不会投资第二期项目,因此在投资第一期项目的情况下,第二年年初第二期项目的价值Va2为:

将第二年年初第二期项目的价值折现到第一年年初,得到第一年年初考虑了管理柔性的第二期项目的价值Vsl为:

因此,初始项目的真实价值NPVT为:
可以看到,此时RFID初始项目的真实价值变为正值,从而使初始项目从不可行变为可行。在这种情况下,该公司RFID项目的主要价值并不是来源于初始项目,而是来源于未来投资。
5 结论
笔者建立了基于RFID技术的供应链管理项目实物期权评估构架,对其中各步骤进行了详细说明。此构架融合了传统DCF方法和实物期权方法,为该项目的价值评估提供了新的视角和思路,也为其他项目的实物期权价值评估提供了参考和借鉴。
目前普遍采用3种方法评估RFID项目价值:① 由专家或RFID实际应用者主观推测;②分析RFID应用案例,推算项目价值,如HARD—GRAVE 对应用RFID和没有应用RFID的商店进行了对比研究,许多应用报告或白皮书都用这种方法给出了定量评估结果;③先研究RFID如何影响系统的运行特性,再看运行特性的改变如何增强决策和运作有效性,最后给出评估结果,如MIT的SUBIRANA等 基于详细的时间一动作过程,研究了RFID在仓储管理中的收益。这些研究对RFID项目的价值评估做了有益探索,但目前的研究却大多基于传统的DCF方法,未能充分考虑RFID技术的柔性,也忽视了RFID赋予企业对有价值的增长机会进一步投资的权利,因此有可能会得出错误的评估结论。鉴于此,笔者将实物期权方法引入RFID项目评估,以期为企业决策者提供新的视角。
1 项目不确定性分析
标的资产为非金融资产的期权称为实物期权。实物期权的兴起源于学术界和实业界对传统投资评价技术的置疑,MYERS首先指出,当投资对象是高度不确定项目时,传统净现值理论低估了实际投资的价值。基于RFID技术的供应链管理项目存在如下不确定性。
(1)企业内生的不确定性。这可能是源于下述风险:企业没有能力资助RFID项目后期巨额投资;企业IT基础架构、技术水平和项目实施经验等不足以保证RFID项目顺利实施;员工因工作机会可能被RFID技术剥夺等顾虑而采取不合作态度,甚至引发劳资纠纷,使项目搁浅。此外,还有供应链伙伴不信任、不合作等风险。
(2)竞争的不确定性。如竞争者先发制人,率先引入RFID项目,取得品牌效应提升等先行者优势,而给本企业的RFID项目收益带来影响。
(3)市场的不确定性。它主要包括:①标准不确定性。RFID还没有统一的全球标准。② 消费者态度不确定性。RFID可能带来的对个人隐私权的侵犯及磁场污染和废弃标签处理等环保问题而影响消费者对RFID技术的接受度。③技术不确定性。如RFID设备供应商生产技术、标签封装技术及中间件技术等的不确定性。④数据安全不确定性。RFID系统涉及标签、读写器、互联网和数据库系统等多个对象,除了面临RFID病毒等与计算机网络相同的安全缺陷外,还有标签安全、网络安全等安全问题。⑤RFID软硬件价格不确定性。⑥网络外部不确定性。RFID项目价值随采用RFID的组织数增加而提高,但未来实施RFID项目的组织数具有不确定性。
2 项目嵌入的实物期权类型
进行实物期权评估时,首先必须识别可能嵌入的期权类型。在基于RFID的SCM项目中,可嵌入多重期权。
(1)延迟期权。RFID项目具有较高不确定性,因此在得到更充分的信息前,等待应用RFID技术的价值可能超过立即应用RFID技术的价值。如在RFID标准非常重要的应用上,等待RFID技术成为行业标准有着明显的期权价值。
(2)分阶段投资期权。分阶段投资能显著降低项目开发风险,增加项目价值¨ 。著名IT系统项目论证与决策机构Gartner公司将RFID技术在企业中的应用分成3个阶段:①企业在内部采用RFID技术,以验证RFID技术能够应用于某种企业环境中;②将RFID系统读取的数据整合至传统业务流程,由于是用新技术来适应传统应用,没有业务流程创新,因此很难获得高的投资回报;③以RFID技术为核心设计业务流程,这时才真正体现出RFID技术的商用价值。
(3)改变运营规模期权。企业投资RFID技术,可首先在集装箱或托盘级别使用,然后再扩展到大规模的单品级别,从而使RFID应用从小规模向大规模发展。
(4)增长期权。RFID技术在供应链中的应用可分为闭环应用和开环应用两种,闭环应用是指在企业内部使用,开环应用是指应用于整个供应链。闭环应用可回避行业标准及与外部合作伙伴同步等问题,是较好的入门选择;开环应用则可带来更高收益,但实施难度和成本也大。早期闭环应用可看作是为企业带来未来开环应用的机会,赋予了企业增长期权。
(5)创新期权。RFID技术可带来业务创新、产品创新等创新机会,企业可根据条件的变化,在适当时机决定是否采用RFID技术进行创新活动,从而使之具有了创新期权。
(6)学习期权。RFID系统首先在某些部门实施,可以为将来的全面实施积累宝贵经验,为管理者下一阶段决策提供科学依据。
(7)转换期权。RFID资源重组或转换也有价值。RFID项目实施与企业研发、信息、财务及市场等多个部门相关,可以根据市场需求改变RFID系统的产出或在产出不变的情况下改变系统投入。
(8)放弃期权。根据新的信息变化回撤项目的选择权增加了RFID项目价值。在RFID项目早期决策中,还要考虑和评估出售RFID基础结构的可行性及部分回收投资的可行性。RFID项目不同阶段的主要不确定性有所不同,拥有的主要期权类型也有所不同,基于RFID技术的供应链管理项目嵌入的实物期权如图1所示。

3 项目实物期权评估构架
根据实物期权评估思想,建立了基于RFID技术的SCM项目的实物期权评估构架,如图2所示。模型分4个子模块。

模块1。基础数据库建立。建立包含基于RFID技术的供应链管理项目的经济、技术和环境基本数据的数据库模块,其基本结构如图3所示。数据库中的信息可通过对宏观环境和RFID市场的调研得到。
(2)模块2。投资场景设定和模型参数计算。

首先根据未来的不确定性设定可能的投资场景,从而对待选投资方案做出初步设计。如图4所示,分为3个步骤:①定义RFID投资项目,确定投资的目标和要求,并从技术、组织和经济等方面界定投资假设,辨明投资不确定性;②针对不确定性因素,识别相应的实物期权,这些期权经过选择后,最终有可能进入待选投资方案,称之为潜在期权;③识别各阶段主要不确定性因素,并结合对未来收益、成本等的主观估计,确定若干由多个潜在期权组成的期权序列,即待选投资方案。在此基础上,使用基础数据库中的初级数据和经过处理的次级数据来计算和估计价值评估中的各项参数,如RFID项目的投资收益、成本、时间及收益的不确定性等。

(3)模块3。DCF计算。NPV、ROI等是DCF评价方法中的重要指标。设ⅣP 为第i种待选投资方案的净现值(i=1,2,...,n),n为模块2中设计的待选投资方案总数,NPVi的计算式为:

式中,ti 为第i个投资方案的投资年限;Iki为第i个投资方案第k年的现金流人量;Oki 为第i 个投资方案第k年的现金流出量; ri为第i个投资方案采用的贴现率。
DCF评价的两个关键参数是预期净现金流量和贴现率。RFID项目的未来现金流出量会受RFID软硬件价格波动的影响,可采用蒙特卡罗模拟的价格对此加以反映。贴现率的选取目前还没有通用方法 。可选取无风险投资报酬率或投资企业的加权平均资本成本估算,也可根据资本资产定价模型估算,还可在无风险报酬率上加上风险溢价估算。采用无风险投资报酬率可得到项目最大的投资报酬,采用资金成本可得到中等投资报酬,对风险进行合理推断后得出的必要投资.报酬率则一般给出最小投资报酬。评估者可根据自己的意向和风险偏好,选择乐观法则、悲观法则或最小后悔值法则对RFID项目进行DCF评价。
(4)模块4。实物期权计算与决策。与DCF评价常常只考虑一个场景不同,实物期权评价强调多投资场景转换的不确定性。实物期权模型可分为两类:离散时间模型,包括二叉树、三叉树等模型;连续时间模型,包括普通公式类模型、随机微分方程和蒙特卡罗模拟。在普通公式类模型中,布莱克一休斯公式是最早、最著名的解析解,可用于度量延迟、放弃及增长期权。B-S公式为:

式中,s为标的资产的当前价值; 为期权的执行价格;T为期权的到期时间; Rf为无风险利率;为标的资产价值波动的方差;N(·)为累积正态分布函数;e=2.718 3。
在项目的实物期权计算中,S为项目净收益的现值; X为执行期权时的投资成本;T为项目投资有效期。此外,MARGRABE 得到将一项资产和另一项资产进行互换的期权定价公式,GESKE 得到具有确定性执行价格的复合期权定价解析解。需指出的是,RFID项目通常嵌入了复合期权,因此其计算通常会遇到两方面困难:首先,实物期权具有不可加性,组合期权的价值可能会大于、等于或小于其分别计算的期权价值的总和;其次,需要在不同的期权序列中权衡,因为某一个期权序列可能在减少某类风险的同时增加其他风险,如延迟期权会降低市场风险但也会增加竞争风险。对于这类有相互影响作用的复合期权的计算,TRIGEORGIS纠进行了研究。根据实物期权理论,RFID项目最终的真实价值应包括两部分,如式(5)所示:

式中,NPVTi为在第i个投资方案中RFID项目的最终真实价值;NPVT i为第 i 个投资方案中RFID项目的内在价值,即从投资中得到的直接现金流量,由传统净现值方法求得;ROVi为第i个投资方案中RFID项目的实物期权价值,即由嵌入的期权带来的管理柔性的价值大小。
在计算了各待选投资方案中RFID项目的真实价值之后,就可选择满意的方案开始投资,如果没有得到满意的项目价值,可返回模块2,对投资场景进行修订和再设计,直至最终找到合适的投资路径,得到满意的项目价值。
4 项目价值评估示例
假设某大型零售企业正考虑实施基于RFID技术的供应链管理项目。该公司已建立包含RFID项目的经济、技术和环境基本数据的数据库。根据对数据库中基础数据和次级数据的分析和计算得出,为购置RFID标签、读写器等软硬件产品需要100万美元的初始项目成本c f,假定初始项目的未来现金流量,lf在第一年年末收到,其值估计为60万美元,基于项目风险,折现率r取10%。现在分析求解是否应投资这个初始项目。该公司初始RFID项目的NPV为:

根据DCF法的决策标准,不应接受NPV,值为负的项目,因此这个项目应被拒绝。但现在的情况是,初始项目使企业拥有了在第二年年初投资第二期项目的可能,第二期项目有两种可能结果:若第一期项目成功且消费者反映较好,第二期项目预期会在第二年末带来300万美元的现金流入b。,否则现金流人b:只有100万美元,第二期项目的预期成本C。为150万美元,这两种情况发生的概率P (i=1,2)都为0.5。为简化起见,第二期项目与第一期项目使用相同的折现率。在第二期项目将要开始时,第一期项目结果会显现,使决策者对于第二期项目的收益情况能更容易做出估计。由于在成本超过收入的情况下,管理层不会投资第二期项目,因此在投资第一期项目的情况下,第二年年初第二期项目的价值Va2为:

将第二年年初第二期项目的价值折现到第一年年初,得到第一年年初考虑了管理柔性的第二期项目的价值Vsl为:

因此,初始项目的真实价值NPVT为:
可以看到,此时RFID初始项目的真实价值变为正值,从而使初始项目从不可行变为可行。在这种情况下,该公司RFID项目的主要价值并不是来源于初始项目,而是来源于未来投资。
5 结论
笔者建立了基于RFID技术的供应链管理项目实物期权评估构架,对其中各步骤进行了详细说明。此构架融合了传统DCF方法和实物期权方法,为该项目的价值评估提供了新的视角和思路,也为其他项目的实物期权价值评估提供了参考和借鉴。
- WCDMA与TD-SCDMA终端射频测试差异性分析(01-04)
- 可以应对移动电话的设计挑战的GPS导航系统(01-11)
- 无线射频技术应用大有作为(02-19)
- 直放站的指标调试及整体测试(03-02)
- 无线电发射设备杂散发射的测试方法探讨(03-12)
- 基于CC1020的无线通信模块设计(03-24)
