基于MUSIC和LMS算法的智能天线设计
时间:08-12
来源:互联网
点击:
作为当今三大主流标准之一的TD—SCDMA是由中国自主提出使用时分双工方式的第三代移动通信系统标准。TD—SCDMA的核心技术之一是智能天线技术。在TD—SCDMA系统中使用智能天线技术,基站可以利用上行信号信息对下行信号进行波束成形,从而降低对其他移动台的干扰,同时提高接收灵敏度,增加覆盖距离和范围,改善整个通信系统的性能。
传统的切换波束方式只是把空间分成几个固定扇区,当移动台进入扇区时,切换波束系统选择一个收到最强信号的波束用于该用户。由于用户信号并不一定在固定波束的中心处,当用户信号位于波束边缘,干扰信号位于波束中央时,接受效果差,同时也不能实现自适应干扰置零,抑制干扰差。而智能天线通过自适应阵列天线跟踪并提取各用户的空间信息,利用用户位置的不同,使在同一信道中发送和接收各用户的信号不发生相互干扰。
智能天线能够根据信号环境情况自动形成最佳阵列波束,通过在天线中引入自适应信号处理,实现噪声抵消,在干扰入射方向上产生零陷以及主波束跟踪有用信号,从而使天线阵具有智能接收的能力,以解决切换波束方式的不足。文中正是结合多重信号分类算法和最小均方误差的自适应算法来实现智能天线系统。
1 阵列天线信号模型
在基站天线的远场区域,可以认为电磁波以球面波的形式向外辐射,如果接收天线离辐射源足够远,在接收的局部区域可近似为平面波。图1所示为等距线阵,由M个阵元组成,设阵元间距为△x,入射信号s(t)的入射角为θ,即s(t)的波达方向,以原点为信号的参考点,则等距直线阵的方向向量为

其中λ为信号波长。
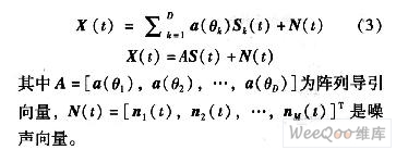
对于来自d个方向的信号入射到阵列天线的M个阵元上,则接收信号写成矩阵形式为

是噪声矢量。在阵列信号处理中,一次采样称为一次快拍,k表示第k次快拍。
2 多重信号分类算法(MUSIC)
DOA(Direction of Arrivdak)估计的基本问题就是确定同时处在空间某一区域内多个感兴趣的信号的空间位置(即多个信号到达阵列参考阵元的方向角)。最经典的超分辨DOA估计方法是MUSIC方法。其算法的基本思想是将阵列输出数据的协方差矩阵进行特征值分解,从而得到与信号分量对应的信号子空间和信号分量相正交的噪声子空间,然后利用这两个子空间的正交性来估计信号参数,它是建立在如下假设基础上的。
(1)阵列形式为线性均匀阵,阵元间距不大于处理最高频率信号波长的二分之一;
(2)处理器的噪声为加性高斯分布,不同阵元间距噪声均为平稳随机过程,且相互独立,空间平稳(各阵元噪声方差相等);
(3)空间信号为零均值平稳随机过程,它与阵元噪声相互独立;
(4)信号源数小于阵列元数,信号取样数大于阵列元数。
如果有D个信号入射到M元阵列上,则阵列接收到的输入数据向量可以表示为D个入射波形与噪声的线性组合。如式(3)和式(4)所示

利用几何描述,可以把接收向量X和导引向量a(θk)看作M维空间的向量。输入协方差矩阵Rx可以表示如式(5)和式(6)所示

因为A是由线性独立的导引向量构成的,因此是列满秩的。信号相关矩阵Rs也是非奇异的(rank(Rs)=D,各信号源两两不相关)。
列满秩的A和非奇异的Rs可以保证,在入射信号数D小于阵元数M时,M×M的矩阵ARsAH是半正定的,且秩为D。
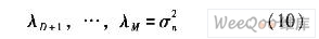
由线性代数的基本知识,这意味着ARsAH的特征值vi中,有M—D个为零特征值。从输入协方差矩阵Rx的角度看,Rx的特征值中有M—D个等于噪声方差σ2n。然后寻找Rx的特征值,使λ1是最大特征值,λM是最小特征值,因此有式(10)

但是实际中是使用有限个数样本估计自相关矩阵Rx的,所有对应于噪声功率的特征值(λD+1…,λM)并不相同,而是一组差别不大的值。随着用以估计Rx的样本数的增加,表征它们离散程度的方差逐渐减小,它们将会转变为一组比较接近的值。最小特征值的重数K一旦确定,利用M=D+K的关系,就可以确定信号的估计个数D^。所以信号的估计个数由式(11)给出

通过寻找与Rx中近似等于σ2n的那些特征值对应的特征向量最接近正交的导引向量,可以估计与接收信号相关的导引向量。
分析表明,协方差矩阵的特征向量属于两个正交子空间之一,称之为特征子空间(信号子空间)和非主特征子空间(噪声子空间)。相应于DOA的导引向量位于信号子空间,因而与噪声子空间正交。通过在所有可能的阵列导引向量中搜寻那些与非主特征向量张成的空间垂直的向量,就可以确定DOA。
为寻找噪声子空间,构造一个包含噪声特征向量的矩阵,如式(19)所示

因为相应于信号分量的导引向量引噪声子空间特征向量正交,即对于θ为多径分量的DOA时,aH(θ)VnVHna(θ)=0。于是多个人射信号DOA可以通过确定MUSIC空间谱的峰值作出估计,这些峰值由式(20)给出

a(θ)和Vn的正交性将使分母达到最小,从而得到定义的MUSIC谱的峰值。MUSIC谱中个最大峰值对应于入射到阵列上的信号的DOA。
3 MUSIC算法的实现
MUSIC算法的实现步骤可以总结如下
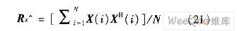
(1)收集输入样本X(i),i=1,…,N,估计输入协方差矩阵,如式(21)所示

(2)对上面得到的协方差矩阵Rx进行特征分解,如式(22)所示

(3)利用最小特征值λmin的重数K估计信号数D^,如式(23)所示
D^=M-K (23)
按特征值的大小顺序,把与信号个数D^相等的特征值和对应的特征向量看作信号子空间,把剩下的M一D^个特征值和对应的特征向量看作噪声子空间,得到噪声矩阵,如式(24)所示

(5)使θ变化,找出PMUSIC^(θ)的D^个最大峰值,得到DOA的估计值。
4 基于LMS算法的自适应波束算法
LMS算法是一种自适应波束赋形算法,通过迭代来求解最小均方误差(MMSE)准则下的最优权重。自适应算法包括两个步骤,具体过程是:
第一步:假设阵列天线所接收到的信号可以表示为x(k)=[x0(k),x2(k),…,xM-1(k)]H,对当前第k次快拍接收信号的加权系数为w=[w0,w1,…,wM-1]H,波束赋形器的输出可以写为y(k)=wH(k)x(k),输出信号y(k)与期望信号s(k)的误差信号为e(k)=s(k)一y(k);
第二步:根据公式w(k+1)=w(k)+2μx(k),求取对k+1次快拍的加权向量值,其中μ为固定步长因子,05 仿真实验和性能*估
智能天线系统实现先根据MUSIC算法得到天线阵列接收端的信号方向,然后选择期望信号,使用LMS算法实现自适应波束成形,使得发射信号方向指向所选择信号的入射方向。
仿真实验一:模拟4个窄带信号分别以20°,40°,60°,80°方向的信号入射到均匀线阵上,阵元间距为入射信号波长的1/2,信号间互不相关,与噪声相互独立,噪声为理想高斯白噪声,天线个数为8,采样快拍次数为l 280。仿真结果,如图2所示,采用MUSIC算法可以很好的估计出入射信号个数和方向。

仿真实验二:由仿真实验一,MUSIC算法可以识别天线接收端的信号的入射方向,而自适应波束成形通过最小二乘算法(LMS)来实现。选择40°的波达方向信号进行波束赋形和对其它方向信号进行干扰抑制的仿真。
仿真条件:天线阵列的个数是8,阵元间距为入射信号波长的l/2,噪声为理想高斯白噪声,信噪比lO dB,采样快拍次数为1 280次,μ取值为0.001,仿真结果,如图3显示,在40°主瓣方向上的幅度响应比其他方向至少大10 dB,对20°和60°方向的干扰信号实现了很好的干扰抑制。

6 结束语
文中采用MUSIC和LMS算法实现智能天线系统。由仿真结果可以看出MUSIC算法能够识别出等距线形天线阵列上入射信号的方向,采用LMS算法能够实现自适应波束赋形,对干扰信号进行有效抑制。但是对于MUSIC算法,如果入射信号相关时,相关信号会导致阵列接收数据的协方差矩阵秩的亏缺,从而使得信号特征向量发散到噪声子空间去,导致某些相关源的方向矢量与噪声子空间不完全正交,无法正确估计信号源方向,此时MUSIC算法就会失效,所以这个时候应该考虑先解除信号的相关性。而对于固定步长的LMS算法,虽然算法简单,μ值应为一个保持不变的估计值,且事先须取得输入信号的统计特性。但随着向最优解方向的前进,权值的调整由粗到细,μ值也应该由大到小改变,使收敛迅速趋近最优解,所以未来将采用变步长的LMS算法。但本实现方案对于其它阵列结构,如圆形天线阵列自适应波束成形的有效性和复杂度则有待进一步研究。
传统的切换波束方式只是把空间分成几个固定扇区,当移动台进入扇区时,切换波束系统选择一个收到最强信号的波束用于该用户。由于用户信号并不一定在固定波束的中心处,当用户信号位于波束边缘,干扰信号位于波束中央时,接受效果差,同时也不能实现自适应干扰置零,抑制干扰差。而智能天线通过自适应阵列天线跟踪并提取各用户的空间信息,利用用户位置的不同,使在同一信道中发送和接收各用户的信号不发生相互干扰。
智能天线能够根据信号环境情况自动形成最佳阵列波束,通过在天线中引入自适应信号处理,实现噪声抵消,在干扰入射方向上产生零陷以及主波束跟踪有用信号,从而使天线阵具有智能接收的能力,以解决切换波束方式的不足。文中正是结合多重信号分类算法和最小均方误差的自适应算法来实现智能天线系统。
1 阵列天线信号模型
在基站天线的远场区域,可以认为电磁波以球面波的形式向外辐射,如果接收天线离辐射源足够远,在接收的局部区域可近似为平面波。图1所示为等距线阵,由M个阵元组成,设阵元间距为△x,入射信号s(t)的入射角为θ,即s(t)的波达方向,以原点为信号的参考点,则等距直线阵的方向向量为

其中λ为信号波长。
对于来自d个方向的信号入射到阵列天线的M个阵元上,则接收信号写成矩阵形式为

是噪声矢量。在阵列信号处理中,一次采样称为一次快拍,k表示第k次快拍。
2 多重信号分类算法(MUSIC)
DOA(Direction of Arrivdak)估计的基本问题就是确定同时处在空间某一区域内多个感兴趣的信号的空间位置(即多个信号到达阵列参考阵元的方向角)。最经典的超分辨DOA估计方法是MUSIC方法。其算法的基本思想是将阵列输出数据的协方差矩阵进行特征值分解,从而得到与信号分量对应的信号子空间和信号分量相正交的噪声子空间,然后利用这两个子空间的正交性来估计信号参数,它是建立在如下假设基础上的。
(1)阵列形式为线性均匀阵,阵元间距不大于处理最高频率信号波长的二分之一;
(2)处理器的噪声为加性高斯分布,不同阵元间距噪声均为平稳随机过程,且相互独立,空间平稳(各阵元噪声方差相等);
(3)空间信号为零均值平稳随机过程,它与阵元噪声相互独立;
(4)信号源数小于阵列元数,信号取样数大于阵列元数。
如果有D个信号入射到M元阵列上,则阵列接收到的输入数据向量可以表示为D个入射波形与噪声的线性组合。如式(3)和式(4)所示

利用几何描述,可以把接收向量X和导引向量a(θk)看作M维空间的向量。输入协方差矩阵Rx可以表示如式(5)和式(6)所示

因为A是由线性独立的导引向量构成的,因此是列满秩的。信号相关矩阵Rs也是非奇异的(rank(Rs)=D,各信号源两两不相关)。
列满秩的A和非奇异的Rs可以保证,在入射信号数D小于阵元数M时,M×M的矩阵ARsAH是半正定的,且秩为D。
由线性代数的基本知识,这意味着ARsAH的特征值vi中,有M—D个为零特征值。从输入协方差矩阵Rx的角度看,Rx的特征值中有M—D个等于噪声方差σ2n。然后寻找Rx的特征值,使λ1是最大特征值,λM是最小特征值,因此有式(10)

但是实际中是使用有限个数样本估计自相关矩阵Rx的,所有对应于噪声功率的特征值(λD+1…,λM)并不相同,而是一组差别不大的值。随着用以估计Rx的样本数的增加,表征它们离散程度的方差逐渐减小,它们将会转变为一组比较接近的值。最小特征值的重数K一旦确定,利用M=D+K的关系,就可以确定信号的估计个数D^。所以信号的估计个数由式(11)给出

通过寻找与Rx中近似等于σ2n的那些特征值对应的特征向量最接近正交的导引向量,可以估计与接收信号相关的导引向量。
分析表明,协方差矩阵的特征向量属于两个正交子空间之一,称之为特征子空间(信号子空间)和非主特征子空间(噪声子空间)。相应于DOA的导引向量位于信号子空间,因而与噪声子空间正交。通过在所有可能的阵列导引向量中搜寻那些与非主特征向量张成的空间垂直的向量,就可以确定DOA。
为寻找噪声子空间,构造一个包含噪声特征向量的矩阵,如式(19)所示

因为相应于信号分量的导引向量引噪声子空间特征向量正交,即对于θ为多径分量的DOA时,aH(θ)VnVHna(θ)=0。于是多个人射信号DOA可以通过确定MUSIC空间谱的峰值作出估计,这些峰值由式(20)给出

a(θ)和Vn的正交性将使分母达到最小,从而得到定义的MUSIC谱的峰值。MUSIC谱中个最大峰值对应于入射到阵列上的信号的DOA。
3 MUSIC算法的实现
MUSIC算法的实现步骤可以总结如下
(1)收集输入样本X(i),i=1,…,N,估计输入协方差矩阵,如式(21)所示

(2)对上面得到的协方差矩阵Rx进行特征分解,如式(22)所示

(3)利用最小特征值λmin的重数K估计信号数D^,如式(23)所示
D^=M-K (23)
按特征值的大小顺序,把与信号个数D^相等的特征值和对应的特征向量看作信号子空间,把剩下的M一D^个特征值和对应的特征向量看作噪声子空间,得到噪声矩阵,如式(24)所示

(5)使θ变化,找出PMUSIC^(θ)的D^个最大峰值,得到DOA的估计值。
4 基于LMS算法的自适应波束算法
LMS算法是一种自适应波束赋形算法,通过迭代来求解最小均方误差(MMSE)准则下的最优权重。自适应算法包括两个步骤,具体过程是:
第一步:假设阵列天线所接收到的信号可以表示为x(k)=[x0(k),x2(k),…,xM-1(k)]H,对当前第k次快拍接收信号的加权系数为w=[w0,w1,…,wM-1]H,波束赋形器的输出可以写为y(k)=wH(k)x(k),输出信号y(k)与期望信号s(k)的误差信号为e(k)=s(k)一y(k);
第二步:根据公式w(k+1)=w(k)+2μx(k),求取对k+1次快拍的加权向量值,其中μ为固定步长因子,05 仿真实验和性能*估
智能天线系统实现先根据MUSIC算法得到天线阵列接收端的信号方向,然后选择期望信号,使用LMS算法实现自适应波束成形,使得发射信号方向指向所选择信号的入射方向。
仿真实验一:模拟4个窄带信号分别以20°,40°,60°,80°方向的信号入射到均匀线阵上,阵元间距为入射信号波长的1/2,信号间互不相关,与噪声相互独立,噪声为理想高斯白噪声,天线个数为8,采样快拍次数为l 280。仿真结果,如图2所示,采用MUSIC算法可以很好的估计出入射信号个数和方向。

仿真实验二:由仿真实验一,MUSIC算法可以识别天线接收端的信号的入射方向,而自适应波束成形通过最小二乘算法(LMS)来实现。选择40°的波达方向信号进行波束赋形和对其它方向信号进行干扰抑制的仿真。
仿真条件:天线阵列的个数是8,阵元间距为入射信号波长的l/2,噪声为理想高斯白噪声,信噪比lO dB,采样快拍次数为1 280次,μ取值为0.001,仿真结果,如图3显示,在40°主瓣方向上的幅度响应比其他方向至少大10 dB,对20°和60°方向的干扰信号实现了很好的干扰抑制。

6 结束语
文中采用MUSIC和LMS算法实现智能天线系统。由仿真结果可以看出MUSIC算法能够识别出等距线形天线阵列上入射信号的方向,采用LMS算法能够实现自适应波束赋形,对干扰信号进行有效抑制。但是对于MUSIC算法,如果入射信号相关时,相关信号会导致阵列接收数据的协方差矩阵秩的亏缺,从而使得信号特征向量发散到噪声子空间去,导致某些相关源的方向矢量与噪声子空间不完全正交,无法正确估计信号源方向,此时MUSIC算法就会失效,所以这个时候应该考虑先解除信号的相关性。而对于固定步长的LMS算法,虽然算法简单,μ值应为一个保持不变的估计值,且事先须取得输入信号的统计特性。但随着向最优解方向的前进,权值的调整由粗到细,μ值也应该由大到小改变,使收敛迅速趋近最优解,所以未来将采用变步长的LMS算法。但本实现方案对于其它阵列结构,如圆形天线阵列自适应波束成形的有效性和复杂度则有待进一步研究。
仿真 相关文章:
- 一种基于OPNET的小型网络仿真及分析(04-08)
- APOX软件在A+B频段无线网络规划中的应用(06-26)
- 基于GUI的跳频OFDM系统仿真设计(03-03)
- 基于CPLD的RS-232串口通信实现(04-23)
- 2.5 Gbps收发器中1∶2解复用电路的设计(09-17)
- 填补网络 SoC 设计前端与后端验证的差距(09-19)
