双调制锁相频率合成器的设计与实现
时间:08-03
来源:互联网
点击:
1 引 言
在便携式及车载型电台中,多采用直接调频技术,应用以电压调控的变容二级管,使振荡器的频率产生偏移,由于锁相环环路误差传递函数的高通特性,被搭载的调制信号不能出现阻带内的低频或直流分量,数字调制即表现为长"0"或长"1"的状态,否则会使频偏降低或消失。这对数传电台不利,为此可对基带数据进行扰码,减小长"0"或长"1"的状态,但又会带来误码的传递,为了解决这个问题本文提出采用双调制锁相频率合成器的方法。
2 双调制电路工作原理
双调制锁相频率合成器构成如图1所示,fo一般用高精度和高稳定晶体产生,以达到锁相输出频率和晶振同等级别的性能。这种系统可以被用来直接调频,作为模拟调制或数字调制。一般锁相调制电路只调制VCO,而双调制方法就是既调制VCO,又调制晶体基准源,通过两者互相补偿来实现任意低频调制频偏。
根据环路的线性相位模型,可以分别计算双调制中UF1(t)和Uf2(t)的调制作用,以下均以拉普拉斯变换表示。
式(2)为闭环传递函数,式(3)为误差传递函数。
单独考虑UF1(t)的调制,产生的输出相位为:

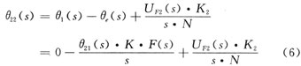
单独考虑UF2(t)的调制时θ1(s)=0,产生的输出相位为:

由式(3)、式(6)可得
He(s)具有高通特性,所以必须使调制频率在他的通带之内才行,进入阻带后调制频偏很小,甚至消失。
若选择G1(s)=G2(s)=1,则总输出相位为:
当K1/M=K2/N=K时

由此可见双调制电路可以使两个调制的效果相互补偿,得到在很宽调制范围内频偏正比于调制信号的FSK调制器,同样也适合模拟的FM调制。
环路中配备了可预置分频器"N分频"和"M分频",软件可控,通过单片机控制可实现任意频率的输出,即:

3 电路设计与实现
双调制的VCO调制部分采用变容二极管组成的西勒振荡[2],电路如图2所示。其中D4用于锁相环路自调节,D3用于FSK调制,Q4及周边的元件构成振荡器的核心电路,产生实际所需的射频信号源,Q5和Q7是缓冲电路,其中Q5输出信号提供给锁相环,作为频率(或相位)反馈信号,Q7是一个反向放大器,输出信号提供给功率放大器。之所以要用Q5,Q7,缓冲,是为了隔离负载效应,避免功放的输入阻抗对压控振荡器的频率产生牵引,影响频率的精度。
另一调制部分采用VCXO实现,该器件为集成有源品振,可使能输出,且有一电压输入控制端,可使VCXO输出频率在±100 ppm左右的范围内调整,如NKG公司的VCXOS1E050。采用此器件,晶振源和相应的调频器就可方便实现,电路简单,体积小。
可预置分频器和鉴相器采用集成电路LMX1602,SPI接口控制,是一个双模锁相环,内部包含2个可独立设置的PLL电路,工作频率可达1 GHz,在这只使用其中一路。
TX DATA为需调制的数据基带信号,一路直接调制VCO,一路反相后通过运放组成的加法器调制VCXO,加法器的另一输入端FCT用于微调载波频率,以保证载频的精度。具体电路如图3所示。
此电路通过单片机设置LMX1602相关寄存器,即可输出1 GHz以内任何载频的FSK调制射频信号,载波的精度和稳定度同晶体的相当。
4 实验结果
在双调制环路中,由式(5)可知1比无调制时多一个
分量,由式(6)可知比无调制时多一个

分量,当K1/M=K2/N=K和G1(s)=G2(s)=1同时成立时,两个分量的相减为零,即在环路锁定时,无调制和双调制的θe值是一样的,具体表现为LPF低通输出后的电压值保持不变,所以调试时可通过高精度万用表观察LPF低通输出后的电压来确定参数是否调好。
为了实验其效果,实际制作了一套无线收发器,通过对比直接锁相调频(只调制环路VCO的变容二极管)调制解调的波形来观察双调制锁相调频的补偿效果。设计锁相环的环路带宽为600 Hz左右,调节可调信源,分别用1.2 kHz,600 Hz,300 Hz,150 Hz和75 Hz的方波作为调制信号来观察调制解调的效果,实际波形如图5和图6所示,横坐标为时间,纵坐标为解调信号的幅度,左上角为对应测得的信号频率。调频接收机采用了正交鉴频,输出的幅度大小就代表输入信号频率的大小,即可方便观察发射调制信号产生频偏的大小。其中图6左列为锁相频率合成器采用直接锁相调频解调后的波形,从波形可以看出当频率小于600 Hz(环路带宽)后调制的频偏慢慢消失,到75 Hz时,方波调制产生的频偏只有边沿处有效,电平持续的后续部分慢慢被环路自调整而抵消。
由于测量误差,两个调制很难完全相互补偿,加上收发系统带宽的限制,使得解调的波形并不是完全和接收一样,但对于数字系统,这种微小的误差并不影响接收端对调制信号的判决,实际用于无线收发系统,对于包含有长"0"或长"1"的信号,都能正常接收解调。
5 结 语
双调制电路构成简单,当K1/M=K2/N=K和G1(s)=G2(s)=1同时成立时,既能满足窄带调频,又能满足宽带调频,且不必担心数据长"0"和长"1"的情况。调试时,通过观测LPF输出电压是否变化即可方便判断补偿是否调好,为数传电台提供了一种高性能的实现方案。
在便携式及车载型电台中,多采用直接调频技术,应用以电压调控的变容二级管,使振荡器的频率产生偏移,由于锁相环环路误差传递函数的高通特性,被搭载的调制信号不能出现阻带内的低频或直流分量,数字调制即表现为长"0"或长"1"的状态,否则会使频偏降低或消失。这对数传电台不利,为此可对基带数据进行扰码,减小长"0"或长"1"的状态,但又会带来误码的传递,为了解决这个问题本文提出采用双调制锁相频率合成器的方法。
2 双调制电路工作原理
双调制锁相频率合成器构成如图1所示,fo一般用高精度和高稳定晶体产生,以达到锁相输出频率和晶振同等级别的性能。这种系统可以被用来直接调频,作为模拟调制或数字调制。一般锁相调制电路只调制VCO,而双调制方法就是既调制VCO,又调制晶体基准源,通过两者互相补偿来实现任意低频调制频偏。
根据环路的线性相位模型,可以分别计算双调制中UF1(t)和Uf2(t)的调制作用,以下均以拉普拉斯变换表示。
式(2)为闭环传递函数,式(3)为误差传递函数。
单独考虑UF1(t)的调制,产生的输出相位为:

单独考虑UF2(t)的调制时θ1(s)=0,产生的输出相位为:

由式(3)、式(6)可得
He(s)具有高通特性,所以必须使调制频率在他的通带之内才行,进入阻带后调制频偏很小,甚至消失。
若选择G1(s)=G2(s)=1,则总输出相位为:
当K1/M=K2/N=K时

由此可见双调制电路可以使两个调制的效果相互补偿,得到在很宽调制范围内频偏正比于调制信号的FSK调制器,同样也适合模拟的FM调制。
环路中配备了可预置分频器"N分频"和"M分频",软件可控,通过单片机控制可实现任意频率的输出,即:

3 电路设计与实现
双调制的VCO调制部分采用变容二极管组成的西勒振荡[2],电路如图2所示。其中D4用于锁相环路自调节,D3用于FSK调制,Q4及周边的元件构成振荡器的核心电路,产生实际所需的射频信号源,Q5和Q7是缓冲电路,其中Q5输出信号提供给锁相环,作为频率(或相位)反馈信号,Q7是一个反向放大器,输出信号提供给功率放大器。之所以要用Q5,Q7,缓冲,是为了隔离负载效应,避免功放的输入阻抗对压控振荡器的频率产生牵引,影响频率的精度。
另一调制部分采用VCXO实现,该器件为集成有源品振,可使能输出,且有一电压输入控制端,可使VCXO输出频率在±100 ppm左右的范围内调整,如NKG公司的VCXOS1E050。采用此器件,晶振源和相应的调频器就可方便实现,电路简单,体积小。
可预置分频器和鉴相器采用集成电路LMX1602,SPI接口控制,是一个双模锁相环,内部包含2个可独立设置的PLL电路,工作频率可达1 GHz,在这只使用其中一路。
TX DATA为需调制的数据基带信号,一路直接调制VCO,一路反相后通过运放组成的加法器调制VCXO,加法器的另一输入端FCT用于微调载波频率,以保证载频的精度。具体电路如图3所示。
此电路通过单片机设置LMX1602相关寄存器,即可输出1 GHz以内任何载频的FSK调制射频信号,载波的精度和稳定度同晶体的相当。
4 实验结果
在双调制环路中,由式(5)可知1比无调制时多一个
分量,由式(6)可知比无调制时多一个

分量,当K1/M=K2/N=K和G1(s)=G2(s)=1同时成立时,两个分量的相减为零,即在环路锁定时,无调制和双调制的θe值是一样的,具体表现为LPF低通输出后的电压值保持不变,所以调试时可通过高精度万用表观察LPF低通输出后的电压来确定参数是否调好。
为了实验其效果,实际制作了一套无线收发器,通过对比直接锁相调频(只调制环路VCO的变容二极管)调制解调的波形来观察双调制锁相调频的补偿效果。设计锁相环的环路带宽为600 Hz左右,调节可调信源,分别用1.2 kHz,600 Hz,300 Hz,150 Hz和75 Hz的方波作为调制信号来观察调制解调的效果,实际波形如图5和图6所示,横坐标为时间,纵坐标为解调信号的幅度,左上角为对应测得的信号频率。调频接收机采用了正交鉴频,输出的幅度大小就代表输入信号频率的大小,即可方便观察发射调制信号产生频偏的大小。其中图6左列为锁相频率合成器采用直接锁相调频解调后的波形,从波形可以看出当频率小于600 Hz(环路带宽)后调制的频偏慢慢消失,到75 Hz时,方波调制产生的频偏只有边沿处有效,电平持续的后续部分慢慢被环路自调整而抵消。
由于测量误差,两个调制很难完全相互补偿,加上收发系统带宽的限制,使得解调的波形并不是完全和接收一样,但对于数字系统,这种微小的误差并不影响接收端对调制信号的判决,实际用于无线收发系统,对于包含有长"0"或长"1"的信号,都能正常接收解调。
5 结 语
双调制电路构成简单,当K1/M=K2/N=K和G1(s)=G2(s)=1同时成立时,既能满足窄带调频,又能满足宽带调频,且不必担心数据长"0"和长"1"的情况。调试时,通过观测LPF输出电压是否变化即可方便判断补偿是否调好,为数传电台提供了一种高性能的实现方案。
电压 振荡器 电路 单片机 二极管 射频 放大器 功率放大器 集成电路 万用表 收发器 相关文章:
- 不用软件工具能开展设计吗?(02-28)
- 保护CAN总线收发器不受静电释放和瞬态电压影响的方法(03-22)
- 基于C5509A的功放闭环数字控制系统(01-28)
- HSP3824扩频通信芯片的功能及应用(04-08)
- 通信系统中超高效率Buck变换器设计考虑(05-02)
- 智能化网络家电控制中电力载波模块的设计(03-23)
