农用超声波发生器的设计
合成方波以便于后面与门对波的进一步处理。只要工作电压达到非门的开启电压经过这样的处理就可将输入波整合成方波,如图6所示。

由5倍频放大器输出的信号频率即在A3点或A4点(0.15 MHz)经由两个非门后(即在A5点或A6点)输出的信号应为方波,仿真结果如图7所示。
2.4 和频电路的设计
在本实验中运用的是CD4081集成与门电路,与门主要是将输入的两列方波信号相互作用后再输出,而后进入后面的5倍频电路进行进一步的处理。在本实验中与门起到了乘法器的作用,并且可以减少杂波的干扰,使实验效果更加良好。
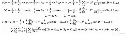
其中与门实现和频的原理是实验中的关键,下面就对此做出讨论:设两列占空比为1;1幅值为1的方波b(t)和x(t)的频率分别为f0和f1= f0+△,其中f0为标准频率,f1为待测频率,设f1≥f0且1≤f1/f0<2(同理可证明f0≥f1且1≤f0/fl<2的情况),△max=max{△}

根据傅里叶有关定理知:设周期为2l周期函数f(x)满足收敛定理条件,则它的傅里叶级数展开式为:

假设有两列波:
方波1可表示为:
sinω1t+(1/3)sin3ω1t+(1/5)sin5ω1t+…
方波2可表示为:
sinω2t+(1/3)sin3ω2t+(1/5)sin5ω2t+…
方波1乘以方波2就为ω1+ω2波。
本实验中方波1(0.15 MHz)与方波2(0.15 MHz)经过与门后就变成0.3 MHz(0.15MHz+0.15MHz)的方波,如图8所示。

由非门输出的信号频率即在A5点(0.15MHz)或A6点(0.15MHz)经由与门后输出的信号应为频率为O.3 MHz的方波(即在A7点),仿真结果如图9所示。
2.5 选频电路的设计
在本实验中运用的5倍频选频电路和5倍频倍频电路的原理相同,如图10所示。

由与门输出的信号频率即在A7点(O.3 MHz)经过5倍频选频电路后输出的超声波的频率为1.5 MFIz,仿真结果如图11所示。

2.6 整体电路的设计
整体电路如图12所示。由单片机输出的信号频率即在A1点或A2点(O.03 MHz)经由5倍频放大后输出的信号频率应为输入信号频率的5倍即为A3点或A4点(0.15 MHz);经由2个非门后(即在A5点或A6点)输出的信号应为方波;由非门输出的信号频率即在A7点应为两列方波经由与门后输出的信号应为频率相加的方波(O.3 MHz);由与门输出的信号频率即在A7点经过5倍频选频电路后输出的超声波的频率为1.5 MHz(A8点),仿真结果如图13所示。


3 信号检测模块的设计
在本设计中由信号发生模块发出O.03 MHz初始信号后,经过信号处理模块后是否达到预定要求,这需要经过检测模块检测最终信号是否达到1.5~1_8 MHz的频率要求。本模块由数字示波器来进行检测的,经过查看图形,设计达到预期要求,如图14所示。

4 结语
本设计中设计的农用超声波发生器结构简单、使用方便、维修便宜,可靠性好,性能稳定。该超声波发生器不仅可以在农业上用来杀灭水蚤,而且可以一机多用,因为该机的功能完全取决于8051单片机的所编程序,根据实际需要,可以随时改变程序设计来满足要求,可移植性好。该超声波发生器成本较低,实用性好,便于在农业上广泛普及。
- 红外线冰面温度测控装置(10-28)
- 用于胎儿心电信号测量的嵌入式数据处理系统研究(03-10)
- 一种基于FPGA分布式算法的滤波器设计实现 (10-01)
- 红外测温仪的应用(11-07)
- 工程用红外测温仪及选型(03-12)
- 工程用便捷式红外测温仪及选型(03-16)
