为什么大多数工程师喜欢用50欧姆作为PCB的传输线阻抗
Q:为什么大多数工程师喜欢用50欧姆作为PCB的传输线阻抗(有时候这个值甚至就是PCB板的缺省值) ,为什么不是60或者是70欧姆呢?
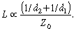
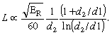
A:对于宽度确定的走线,3个主要的因素会影响PCB走线的 阻抗。首先,是PCB走线近区场的EMI(电磁干扰)和这个走线距参考平面的高度是成一定的比例关系的,高度越低意味着辐射越小。其次,串扰会随走线高度 有显著的变化,把高度减少一半,串扰会减少到近四分之一。最后,高度越低阻抗越小,不易受电容性负载影响。所有的三个因素都会让设计者把走线尽量靠近参考平面。阻止你把走线高度降到零的原因是,大多数芯片驱动不了阻抗小于50欧姆的传输线。(这个规则的特例是可以驱动27欧姆的Rambus,以及National的的BTL系列,它可以驱动17欧姆)并不是所有的情况都是用50欧姆最好。例如,8080处理器的很老的NMOS结构,工作在100KHz,没有EMI,串扰和电容性负载的问题,它也不能驱动50欧姆。对于这个处理器来说,高的阻抗意味着低功耗,你要尽可能的用细的,高的这样有高阻抗的线。纯机械的角度也要考虑到。例如,从密度上讲,多层板层间距离很小,70欧姆阻抗所需要的线宽工艺很难做到。这种情况,你应该用50欧姆,它的线宽更加宽,更易于制造。同轴电缆的阻抗又是怎么样的呢?在RF领域,和PCB中考虑的问题不一样,但是RF工业中同轴电缆也有类似的阻抗范围。根据IEC的出版物 (1967年),75欧姆是一个常见的同轴电缆阻抗标准,因为你可以和一些常见的天线配置相匹配。它也定义了一种基于固态聚乙烯的50欧姆电缆,因为对于 直径固定的外部屏蔽层和介电常数固定为2.2(固态聚乙烯的介电常数)的时候,50欧姆阻抗趋肤效应损耗最小。你可以从基本的物理学来证明50欧姆是最好的,电缆的趋肤效应损耗L(以分贝做单位)和总的趋肤效应电阻R(单位长度)除以特性阻抗Z0成正比。总 的趋肤效应电阻R是屏蔽层和中间导体电阻之和。屏蔽层的趋肤效应电阻在高频时,和它的直径d2成反比。同轴电缆内部导体的趋肤效应电阻在高频时,和他的直 径d1成反比。总共的串联电阻R,因此和(1/d2 +1/d1)成正比。综合这些因素,给定d2和相应的隔离材料的介电常数ER,你可以用以下公式来减少趋肤效应损耗。

在任何关于电磁场和微波的基础书中,你都可以找到Z0是d2,d1和ER的函数

把公式2带入公式1中,分子分母同时乘以d2,整理得到

公式3分离出常数项(![]()
花了一个多小时翻译了这篇文章,以前一直都说阻抗匹配啊,什么50欧姆,75欧姆啊,但是确无法说出原因来。凡是最会是有原因的,这篇文章很好的解释了用50欧姆的原因,由来。
辛苦了,但值得,谢谢!~
好资料,受教了
谢谢了
看看
受教育了!

谢谢,好东西
谢谢
好文章!
受教了
谢谢
好资料。赞一个!
受益匪浅啊!
很好,非常专业,谢谢………………
学习了!
深入浅出,不错
the thing is not bad to us
我看到大部分电阻为33.1欧。49.9欧,应该和这个作用差不多吧!
