Combining quadrature signals without 3dB of loss?
Anyways, my question is whether there is a method of combining quadrature signals in a way that preserves the quadrature output (meaning it's not a standard quadrature coupler, which shifts the IQ signals to be coherent as they're combined. I'm not talking about balanced amplifiers here.), while not having 3dB of loss that seems to normally result from out of phase signals. I'm wondering if it's even theoretically possible for such a combination to occur, at least without having terrible isolation that is. Same thing for signals of different magnitude as well.
Any thoughts?
With passive power combiners we always have the >3 dB coupling loss. There are "active" devices ,like I/Q modulators which change this problem in some gain. Check "www.hittite.com" for good MMIC examples.
Is there some physical reason that passive combiners must have 3dB of loss for quadrature signals? There's really no way to combine 0dBm 0° with 0dBm 90° and get 3dBm 45° at the output? I've been looking through resources on microwave theory, and while I can't find anything demonstrating such a combination, I also can't find any explanation for why one doesn't or can't exist.
The basic physical principle is that to split the power in two matched paths means that each can carry one half of the input power, i.e. 3 dB loss. What do you need to explain?
If you include some gain, you can achieve a lower loss. What d you need to explain?
I am not clear about your architechure, can you draw your idea?
Do you need a 90 deg hybrid to combine the I and Q signal? If so, there should be less loss than 3dB, about 1dB.
In theory combiners or splitters must have 3dB loss to the combiner port. In practice 3.5 is good 3.4 is great, 3.3** is only achieved by the best microwave designers in the world.. I met one , at work one day, he achieved that in microwave repeaters across Canada for Bell decades ago by exquisite knowledge.
{referring to worst case conditions}**
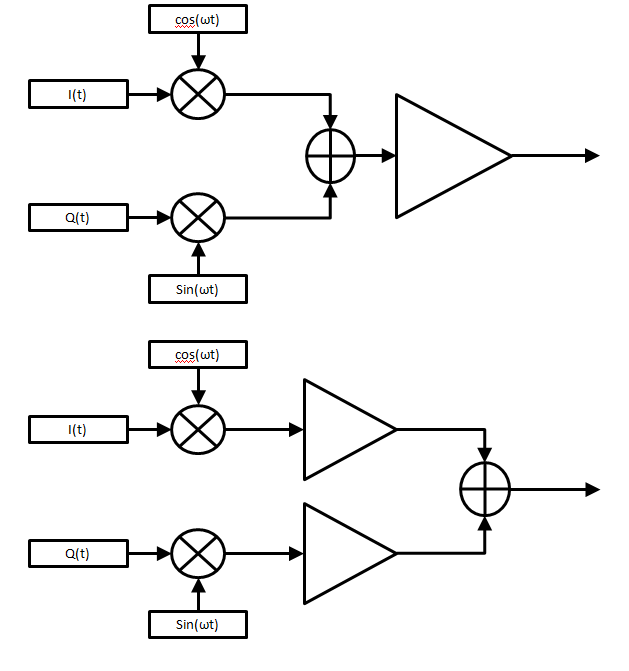
Here's a diagram of what I'm talking about:

Upper diagram shows how this is typically done in references I"ve come across. Baseband signals are upconverted to quadrature signals, which are combined and then amplified. The combiner is not a 90 degree hybrid; it preserves the phase of the quadrature signals. Therefore this setup can be used for QAM. In this case the combiner usually suffers from 3dB of extra loss because the signals are in quadrature. But apparently this is acceptable because this is done before amplification. Therefore you just need an extra 3dB of gain in the amp, no big deal.
The bottom diagram is what I'd like to attempt. The upconverted quadrature signals are amplified, and then combined. In this case, if the combiner has that 3dB of loss then that's a bigger deal, since you're effectively throwing out half your PA efficiency (an you overall lose much more power than you would if the combination happened before amplification). I want to know if it's possible to combine the signals without that 3dB of loss, while still preserving the quadrature modulation.
- - - Updated - - -
I should clarify that when I talk about 3dB loss, I'm referring to half of the power throughput being dissipated in the combiner itself. For example if you have a simple ideal 1:2 splitter , the outputs will each be 3dB lower than the input, but I don't view that as being 3dB of "loss," since you're not actually losing any power at all, and the splitter dissipates nothing. Is this a strange way to view things?
In the context of combiners, I don't see how you can say they must have 3dB of loss. After all, isn't a 2:1 combiner with 3dB of loss completely useless, since it can never give more power on the output than is delivered to either one of its inputs?
Due to impedance matching, you cannot simply add two signals in a combiner without loading down each other, Also combiners have the added advantage of providing cancellation between the 2 input ports. This transformation is effectively taking 2 signals differentually at twice the impedance and matching it with the output summation port and a necessary root2 voltage loss is required to transform the differential impedance to the combiner port. True in the ideal world it is a necessary evil to lose 3db when combining equal impedance signals to the same in an output port to prevent mismatch, but they are losses just the same as dissipated losses.
Transformer couplers are reversible as splitters or combiners and have typical 3.5 plots with a slope. Wilkinson Combiners have somewhat better characterisitics (3.15dB) for loss at the expense of bandwidth since they are 1/4 wave tuned devices.
