how to calculate feed locations for microstrip rectangular patch antenna
but with complete formulas. plz as soon as possible!
Did you try search? This question has been asked many times.
https://www.edaboard.com/thread118753.html


yeah! exactly i have searched it alot but i am not getting satisfactory answer and the formulas that u have given i have also seen that but the problem is that if we are going to take these points from origin then yf=W/2 means that we are getting the point at the edge of patch can u plz explain me? and thanx for ur help
Will these points give us impedance matching of 50Ω?
But if this mean that for y-axis we are getting point at the mid of width then again the question arises that the value that we will obtain from xf how we have to adjust that either to take it from edge side or from centre?
?
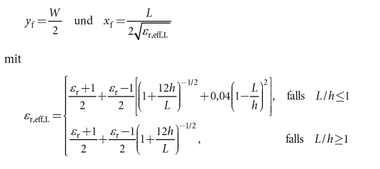
In y direction, the feed is in the middle of the patch, as you can easily see from the picture.
And yes, these equations do work fine from my experience.
Ok! thanks for the help and i have one more problem that i have seen another method in which formulas are also used but after that there is a use of trial and error method to match the impedance. i am attaching the pdf file you can see this. and even i am not getting how the value of Zin is converted into imaginary form? Well! u have given an easy method and solved my problem but i also want to know this if you can help me? then plz!
6Vol33No2.pdf
volker_muehlhaus ... can you provide the reference from which you have taken that snaposhot about the formulas of feeding points... please
