终端发送beacon request 时变换信道吗?
时间:10-02
整理:3721RD
点击:
大神们:
用Sniffer抓包的时候发现各个信道都有beacon request ,
这个是谁发的,难道终端加入网络的时候尝试寻找最佳信道吗?
而f8wConfig.cfg中的信道配置为-DDEFAULT_CHANLIST=0x00000800 // 11 - 0x0B
也就是说协调器启动时是用 0x0B这个信道的,而终端去查找别的信道有意义吗?
今天搞了半天没整明白,还请大家指点啊。
谢谢了~

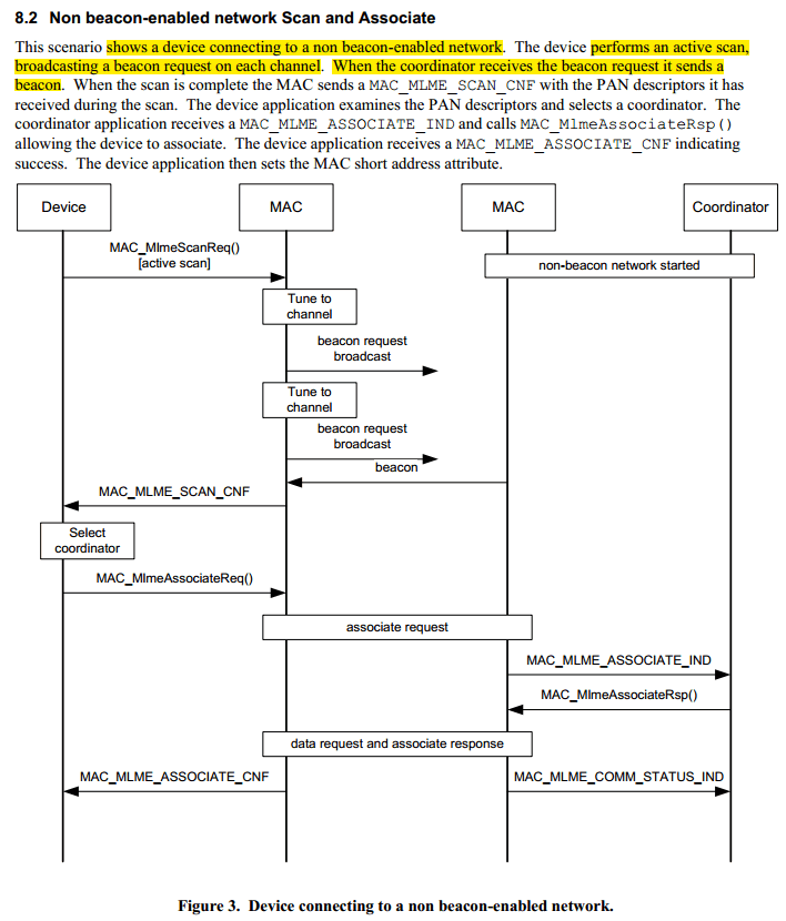
这个是在《802.15.4 MAC API》里面的,你可以参考下~
"The device performs an active scan, broadcasting a beacon request on each channel."
I have the same question, on each channel means beacon request on ch11~ch26, whether the f8wconfig.cfg define just ch11?
Or it just send beacon request on ch11 only?
