现代电表网络跨接故障校正方法
0ms,太短以至于无法引起意外极性校正。根据框架开始的三个0位,添加一个位作为保护带以后,我们可以知道数据速率可安全地降低到什么程度。如果四个位分布于44ms时间窗口,则位间隔变为11ms。这带来1/11 ms ~ 91 bps的最小数据速率。因此,我们可以肯定地说,SN65HVD888收发器支持低至100 bps的DL/T645规范数据速率。
图5 DL/T645规范数据框架不会错误触发极性校正

总线负载
为了确定主节点可以驱动的最大从节点数,需对两种负载状态进行评估—动态或者AC负载以及静态或者DC负载。
AC负载
当主节点命令某个从节点发送数据并且该从节点对这种请求做出响应时,数据传输期间存在AC负载。在这种正常工作期间,总线上出现信号瞬态,其受到总线缆线电容、节点连接器、收发器输入和电源的影响。为了最小化容抗对信号的影响,电表网络工作在300 bps到20 kbps的低数据速率下。因此,下面内容仅考虑电阻性负载。
图6显示了主节点及其故障保护偏置网络和远程从接收器之间的一个简化数据链。由于它们的电容较大,主节点(VSM)和从节点(VSS)的电压电源可被看作是AC信号的短路。所以,对于主节点来说,两个故障保护电阻器(RFS)串联,并与端接电阻器(RT)并排放置。以类似方法连接从节点。这里,内部DC偏置电阻器(R2和R3)相互并联,并且其组合电阻与典型高阻抗R1串联。有时,外部上拉/下拉电阻器(分别为RPU和RPD)用于进一步对节点输入进行偏置。这些电阻器什么作用也没有,只会增加总线的负载,因为它们与接收器的内部电阻网络并联。
图6 简化版数据链

请注意,当RFS保持在1 kΩ到2 kΩ之间时,足以在主节点对低阻抗偏置网络的整条总线进行偏置,无需再在从节点进行偏置。
图7显示了所得到的等效AC电路。这里,2RB/n代表多(n)收发器的输入电阻。由于EIA-485标准规定了最大差分驱动器负载为RL= 54 Ω,因此总线所有电阻的并联组合必须不得超过该值。方程式1表示了这种要求:
求解n得到方程式2,得到AC负载状态下使用的最大总线节点数:

两种常用的网络设计如下:
1、主节点使用一个RT=120 Ω且RFS= 1 kΩ的故障保护网络,而每个从节点则通过RPU= RPD= 20 kΩ的外部上拉/下拉电阻器偏置,这样RB~ 18 kΩ。在这些条件下,总线上的最大节点数便被限定在:

2、另一种情况不使用端接电阻器,而使用10kΩ的高阻抗故障保护电阻器。另外,从节点工作在没有外部偏置的情况下(RPU= RPD= ∞)。这时,RB仅包括接收器的内部电阻(使用SN65HVD888时,其为184 kΩ每输入)。由于这种高阻抗负载,总线节点数理论上会急剧增加至:

相比仅有40到60个节点的普通电表网络,这两个例子都拥有非常高的总线节点数。下一小节“DC负载”将说明,AC负载评估正在误导我们,因为它并未考虑总线节点电源带来的总线漏电流。
DC负载
当没有收发器主动驱动总线时,总线闲置期间出现DC负载。在这种状态下,主节点电源(VSM)通过附近的故障保护网络驱动电流,从而形成正总线故障保护电压(VFS)。这种电压确定了所有从节点的信号极性。与主节点电源一样,从节点电源(VSS)通过其内部电阻器网络驱动电流。这种电流的一部分通过输入电阻(R1)泄露进入总线。剩余电流则流经RT,然后通过反向端R1回流(图6)。
正确接线的节点以与主节点电源相同的方向,驱动RT的电流。但是,错误跨接的节点会以相反方向驱动RT的电流。它会减少RT的组合电流,并影响故障保护电压(VFS)。跨接节点达一定数量以后,VFS会变得非常小,以至于降至接收器输入灵敏度以下,使所有总线节点进入不确定输出状态。为了避免出现这种状态,必须规定主节点的故障保护网络,以便即使所有从节点都被跨接也仍然能够保持正VFS。
图7 等效AC网络

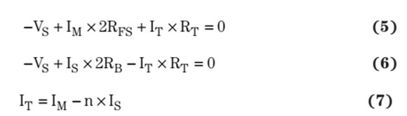
图8仅描述了一个从节点的这种情况,目的是简化网络内电压和电流关系的数学推导过程。由于VSM等于VSS,因此两个电源可简化为VS。
图8 等效DC网络

方程式5和6描述了两个现有电压环路,而方程式7则表示了上面相加节点的电流:

注意,方程式7中,从节点电流(IS)乘以因数n,其表示多个从节点。
求解方程式5的IM和方程式6的IS,可知道主从电流,并得到方程式8和9,其分别为:

把IM和IS的方程式插入方程式7,然后使用VFS/RT代入IT,得到:

对方程式10求解RFS,得到保持VFS为正所必需的故障保护电阻器值:

对于没有端接电阻器(RT= ∞)的应用来说,方程式11可简化为:

图9显示了RFS的值和主节点电源电流(IM)与总线节点数目的关系。使用方程式11得到图9a,其假设端接电阻器为120 Ω。使用方程式12得到图9b,其假设没有端接电阻器。两幅图的
- 基于ATT7022B高精度智能电表的设计(03-25)
- 四网融合之PLC技术在智能电表中的应用(01-22)
- 基于ZigBee的多用户智能电表设计(02-15)
- 基于低压电力线载波通信的智能电表终端设计(03-20)
- 智能电表内部构造深度拆解:电表如何智能?(07-23)
- 智能电表设计方案、案例及方案对比(04-07)
