浅谈TDR测试过程静电危害及其预防
化之处的阶跃讯号就会产生反射现象,对反射讯号进行取样并显示在示波器屏幕上。
2.1.2 TDR仪器的硬件结构(图1)

示波器;高频模块,由阶跃脉冲发生器和采样电路两部分组成;测试探头。
2.1.3 TDR静电保护装置(图2)
测试过程信号的通、断通过切换继电器进行开启和关闭与探头的通断,图2 J1、J2为手动和自动测试模式切换开关;不测试时高频模块信号(IN)通道同外部(J1或J2)断开连接,外部(J1或J2)信号接上对地50Ω节点,外部带入的静电安全释放。

2.2 信号数据采集结构介绍
一般数字仪器都会用到前端,将输入信号数字化,通常有两种方法:
(1)信号先经过“衰减器”衰减,再到“取样电路”取样(图3-A)。
优点:“取样电路”的高频二极管有“衰减器”的保护,不易受到过大电压的伤害;缺点:频宽受约束。
(2)没有衰减器直接输入信号(图3-B) 。
优点:频宽高;缺点:取样电路就很容易受到过大电压的伤害。
Tektronix TDS/CSA8000 的取样头(Sample Moudle)80E04,频宽高达 20 GHz,输入阻抗为50 mm,显然该款TDR数据采集采用图3-B结构。

2.3 静电对取样头的损害分析
2.3.1 一般静电可区分成4等级(表2),各等级会有不同的静电防范要求。
表 2 一般静电区分表

2.3.2 电子敏感组件对静电的忍耐程度(表3)
表3 电子敏感组件对静电的忍耐程度

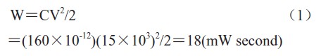
2.3.3 静电对μm组件单位面积的功率计算
(1)以一个人体的电容160 pf为例,按其储存约15 000 V的静电计算,当它对一个0.1 μm2接口(Junction)组件放电时,组件接受的功率为式(1)。

(2)在 0.1μm2(1×10-7)接口(junction)组件上,单位面积承受的功率为式(2)。

一般Silicon(半导体硅)会在 2000 ℃熔化,如果有这么大的能量加入到组件的 junction(接口),必然使接口受到伤害,而失去了 Schottydiode(宵特计二极管)的功能,使之不能正常取样。
2.4 TDR模块静电损坏的特点
(1)完好状态波形(图4);(2)损坏后波形(图5);(3)受损模块将会造成5 Ω的测量误差。

3 TDR仪器测试过程静电源分析
根据人、机、料、法、环多维度寻找静电源,其中PCB与PCB之间用PE(Polyethylene)膜分隔叠板放置,以下为产品流程直接相关因素进行静电测试,数据收集如下:
(1)对阻抗测试相关的过程进行静电测试(表 4):
表4 对阻抗测试相关的过程进行静电测试表

从表4可见,静电在生产环节产生并且电压大小与生产设备有关。
(2)阻抗室内待测板静电状况(表 5)
表5 阻抗室内待测板静电状况

从表5可见,阻抗室内待测板(叠放)里层与外层静电有差异,静电释放难易程度与板结构相关;另外暂时存放已测试过板的塑料台是测试的危险区域。
4 静电(ESD)的防治措施及效果
在工作环境中的物体可区分为:导体与非导体。 静电放电可以有接触和无接触时发生。故ESD防治措施主要四大方面进行。
(1)导体ESD防治措施。
导体避免静电,是必需接一条导体材料将静电导到标有Ground的地方。
这些导体材料包括:防静电桌毯(Table Mats)、防静电地毯(Floor Mats)、防静电手环(WristStrap)、防静电袋(Protect Bag)、防静电椅盖(StoolCover)、防静电保护手袖(Protectors Sleever)、防静电鞋带(Shoe Grounding Straps)等。标准静电防范材料中最重要的3个工具为:防静电桌毯(TableMats)、防静电手环(Wrist Strap)、防静电地毯(Floor Mats),并且必须确保: 防静电桌毯(TableMats)接地; 防静电手环(Wrist Strap)接地; 防静电地毯(Floor Mats)接地。
(2)非导体ESD防治措施。避免非导体静电损害的问题在于,不穿产生静电的衣物,不使用产生静电的物品。例如,避免、减少使用塑料制品,聚乙烯泡泡物品,让这些物品远离工作台;选择使用离子吹风机(Ionized Blower)。
(3)静电防范可依不同等级采用不同的防范要求。由于你无法预期静电产生的大小,最好将防范措施做得超过规定的要求。但是除了必须满足组件的不同 Class要求外,设备应依不同的“环境”而采取更严格的要求。
(4)周期性检查各种静电防制材料和系统进行必要的检查。对各类相关人员与操作人员实施一定的、例行的和周期性的不间断的专业训练。
(5)针对TDR测试环节静电产生及其释放过程采取措施取样模块电击损坏频次5月份后明显减少(图6)。

5 结论
经过系统的分析和预防措施的实施,静电损坏取样模块的事故有明显的减少,规范人员正确操作防护措施和正确操作使用仪器,TDR仪器静电安全威胁还是可以避
TDR测试静电危 相关文章:
- 频宽、取样速率及奈奎斯特定理(09-14)
- 为什么要进行信号调理?(09-30)
- IEEE802.16-2004 WiMAX物理层操作和测量(09-16)
- 为任意波形发生器增加价值(10-27)
- 基于PCI 总线的高速数据采集系统(09-30)
- 泰克全新VM6000视频测试仪助力数字电视等产品测试 (10-06)
