基于模糊小波网络的电力系统短期负荷预测方法

由小波理论的多分辨率分析可知,粗尺度层上的小波网络用于捕获信号的全局信息,而较细尺度层上的小波网络用于捕捉信号的各种局部信息,使FWN网络具有明确的物理意义,每一小波子网络的规模大大简化,易于进行训练,提高了计算效率的同时也提高了预测精度。
3 模糊小波网络结构
本文采用由Takigi-Sugeno改进的模糊推理方法[5],假定模糊系统有q个输入,单个输出
其模糊规则有着如下形式:
其中,Ri表示第i(1≤i≤c)条模糊规则;Xj(1≤j≤q)为输入集X中的第个变量;Ni表示第i条模糊规则中选用的小波基总数;nk=[n1k,n2k,...,nqk]为平移因子;而
则是第i条模糊规则的输出,其值为具有相同尺度因子2mi小波基的线性组合,本文用一个小波子网络表示;模糊子Aij集用隶属度函数
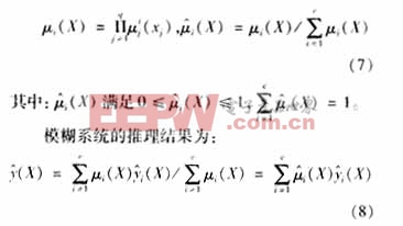
由模糊推理层得到每条模糊规则对于输入X的适用度μi(X),实现归一算法得到其激活度
,它主要是决定了每个小波子网络的输出在整个网络输出中所占的比重:

在改进的Takigi-Sugeno模糊神经网络和小波网络的基础上,式(5)-(8)所描述的FWN可以用一个多层网络来实现,如上图2中所示.

该FWN由常规的四层模糊神经网络组成,分别为:输入层、隶属度函数生成层、推理层及反模糊化层,各层神经元数目分别为q,q×c,和c+1,所以一旦确定输入个数和模糊规则数,模糊小波网络的结构也就确定了,WNNi表示第i个小波子网络。在隶属度函数生成层中所采用的激活函数是式(6)中给出的高斯型隶属度函数。
本文中采用的FWN模型与常规的模糊神经网络模型最大的区别就在于反模糊化层的不同,在模糊神经网络中只能对信号进行局部化逼近,而FWN中则采用了一系列小波子网络,它既能对信号进行全局逼近,也能进行局部逼近,而且对于确定模糊规则数有合理的依据,正因为此,FWN具有更好的信号逼近能力和更强的适应力。
4 模糊小波网络的学习算法
给定L个训练样本对,Xl(l=1,2,...,L)表示第l个训练样本的输入,
分别表示网络的实际输出和目标输出。求解FWN的参数采用使
之间误差最小的BP算法,其流程如下:

(3)读入训练样本对,计算网络输出,并计算训练误差:
若满足精度要求,则跳转到(5),否则继续;

式中:η、a分别是学习速率和惯性常数。跳转至(3).
(5)获得网络参数
训练过程结束。
5 算例分析
为了验证方法的可行性和有效性,本文以某市电力系统实际历史负荷为例,用上述FWN模型进行短期负荷预测仿真。
选取模型的输入量有22个,分别是待测日和待测日前一天的最高温度、最低温度、湿度和天气状况;待测日前一天的最大、最小及平均负荷;待测日前一天及前两天分别以预测时段为中心取五个负荷值,待测日前一周预测时段的负荷值。输出量有1个为待测日某时段的负荷值,本文采取的是逐点预测。利用待测日前六周的历史数据来训练网络。其中学习速率η=0.25,惯性常数a=0.6,学习误差E=0.0005%,尺度mi取6个值(mi=-1,0,1,2,3,4),分别为-1到4,也即是有6条模糊规则。为了比较模型优劣,在选择相同的训练模式、学习速率和惯性常量下,采用人工神经网络来模型进行负荷预测,取预报日为2001年6月7日(正常日),其预测结果如表1,同时还给出了负荷变化最大、温度和天气状况变化最剧烈几日的预测结果,如表2。


从预测结果我们可以看出,基于模糊小波网络的负荷预测精度得到显著提高,同时也证明这种方法是完全可行的。从表1中还可以发现模糊小波网络的预测相对误差变化很均匀,表明其泛化能力比神经网络大有提高。从表2中可以看出模糊小波网络能够更好地拟合负荷与天气因素之间的密切关系,进行更加可靠的预测。
6 结论
由于电力系统日益庞大,各个方面因素的影响使得负荷变化的不确定性增加,这也加大了负荷预测的难度。近年来,许多电力工作者也提出了各种负荷预测模型,其中小波网络便是近年来结合小波变换与人工神经网络思想而形成的一种数学建模方法,研究表明小波网络的预测精度和计算速度比普通神经网络有较大提高,但是小波网络的缺点是一般只适合低维情况,而且为了达到更高的预测精度需要较多的小波函数,为了有效的处理高维问题的不足,本文提出了一种新颖的基于模糊小波网络的短期负荷预测模型,这种FWN模型将小波网络和模糊神经网络有机结合起来,利用一组模糊规则,采用一组小波子网络的结构模型,使得小波子网络的隐层规模大大降低,避免了小波网络的“维数灾”问题,提高了运算效率,通过同时调整小波函数的位移因子和隶属度函数的形状,可以达到全局最优的拟合效果,从而有效地提高了预测精度。通过大量仿真计算表明,该方法是可行且有效的,同时本文为小波网络在电力系统负荷预测中的应用做出了进一步探索研究。
- 电源设计小贴士 1:为您的电源选择正确的工作频率(12-25)
- 用于电压或电流调节的新调节器架构(07-19)
- 超低静态电流电源管理IC延长便携应用工作时间(04-14)
- 电源设计小贴士 2:驾驭噪声电源(01-01)
- 负载点降压稳压器及其稳定性检查方法(07-19)
- 电源设计小贴士 3:阻尼输入滤波器(第一部分)(01-16)
