基于OB2354L的机顶盒开关电源设计
单片开关电源集成电路具有集成度高、高性价比、最简外围电路、最佳性能指标等特点,能构成高效率无工频变压器的隔离式开关电源。与传统线性稳压电源相比,开关电源具有功耗小、体积小、稳压范围宽等优点,在电子设备中应用越来越广泛。
本文设计了一种基于昂宝电子有限公司的OB2354L芯片的三路输出小功率开关电源,应用于数字电视机顶盒等产品。
OB2354L是单片开关电源集成芯片,它集成了PWM控制器、功率开关MOSFET、高压启动电路以及各种保护电路,具有集成度高,外围器件少,宽输入电压,完善的EMI特性,待机功耗低等特点.
三路输出机顶盒电源电路设计

笔者设计了一种三路输出机顶盒开关电源,采用典型的反激式拓扑结构,输出分别为3.3V、6.8V、12V。其中3.3V输出要求比较高,因此从这一路输出采样反馈,形成闭环反馈,从而实现精确稳压。图1为所设计的三路输出机顶盒开关电源电路。图中,RT901是一NTC热敏电阻,用于减小开机时浪涌电流,RV901是压敏电阻,在打雷时保护后级电路,D901-D904为桥式整流电路,C919、L901、C906组成的π型滤波电路既作为整流滤波,又作为共模干扰滤波。二极管D905、电容C905和电阻R905组成箝位保护电路,用于吸收功率MOSFET关断时加在漏极上的尖峰脉冲,使漏极电压限制在安全范围以内,保护开关芯片。次级输出中3.3V输出采用反馈控制,经由二极管D909、C908、L904和C918整流滤波后,采用TL431可调式精密稳压器配合线性光耦PC817组成隔离反馈电路。电阻R907用于为TL431提供偏置电流,保证在流过PC817发光二极管的电流几乎为0的情况下,TL431仍然有1mA的最小工作电流。电阻R908为反馈环路DC增益的控制电阻,一般可以根据经验值选择和实际电路调整。电路的输出电压由下式:
确定,其中
为TL431反馈端的输入电流,其值很小,故可以忽略公式中的最后一项。由于6.8V和12V输出的主板负载比较稳定,主板上6.8V还会通过线性稳压器转换成5V,在满足使用前提下,为了成本考虑,这两路输出没有增加稳压措施。
对于高频变压器的设计,有多种方法,本文采用公式计算的方法设计变压器相关参数,再根据实际调试结果对参数进行优化改进得出最终结果。
确定开关电源的基本参数
输入电压90Vac~264Vac;电网频率fL:50Hz;开关频率f:50KHz;最大占空比Dmax=0.45;输出:3.3V/1A;6.7V/0.5A;12V/0.1A;总输出功率PO:8W;电源效率:75%;
确定输入电容
以及输入直流电压最小值
对于宽范围输入电压,输入电容选取为2~3μF/W,这里输出功率PO为8W,故输入电容C919、C906分别取10μF/400V;UImin=90×1.414-30=100Vdc;
确定初级波形参数
输入电流平均值
,
求得IAVG为107mA;
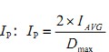
初级峰值电流
,求得IP为476mA。
计算初级电感量LP
选择磁芯与骨架参数
可选用EE25型磁芯。有效磁芯截面积Ae约为51mm2,骨架宽度15mm。
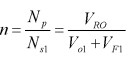
确定初级匝数Np,次级匝数
由公式
可得次级反射到初级电压VRO为82V;由
(turns),Bsat为饱和磁通密度,这里取0.3T,得初级最少匝数为NP为62匝;由
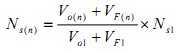
,其中
为次级基准输出绕组匝数,取4匝,为输出电压3.3V,
是基准输出电路二极管正向压降,采用肖特基二极管SR240,压降为0.6V,计算得到Np为82匝,大于前面得到的最少匝数62匝,符合要求。其他第n路次级输出匝数由公式
确定,可以得到6.8V输出绕组匝数为8匝,12V输出绕组匝数为13匝,芯片供电绕组匝数为14匝。
实际确定的变压器参数
为减少漏感,变压器采用三明治绕法;导线电流密度取4~6A/mm²;根据实际实验调试,最后选择的变压器初级电感量为2mH,线径、匝数以及绕制方式如图3所示,其中E1、E2为屏蔽层,可以改善电源EMI性能。

电源性能测试
电压调整率
对不同的交流电压输入,电源满载的情况下,测试的输出电压值见表1。

负载调整率
在分别用90V和220V交流输入的情况下,对于不同的输出负载,测试的输出电压值见表2和表3。
结语
本文介绍了一种用OB2354L设计的三路输出机顶盒开关电源,并给出了详细的变压器参数,最后给出了测试结果。从测试结果可以看出,测试出来的电源无论电压调整率还是负载调整率,都能够满足实际使用要求,该方案电源板已经用在国内有线电视机顶盒上。
- 设计机顶盒的水平和垂直极化天线驱动电源(12-03)
- 关键电源及LED照明应用的最新高能效规范要求、设计挑战及解决方案(12-07)
- 580kHz定频电流模式步降DC/DC控制器ADP1864(07-30)
- Linux PC可选用的电源管理:DPM(09-21)
- 再谈DC-DC效率:提高能效的新方法(10-03)
- 优化电源管理设计提高住宅用电效率(10-17)
