一种准确地预测由泄漏电流引起的 PLL 基准杂散噪声之简单方法
个单极性电流脉冲,这样平均调谐电压就能使 VCO 产生正确频率,从而可以矫正这种异常情况。这些脉冲在 fPFD 上产生能量,如前所述,这也会引起以 LO 为中心的杂散以及 fPFD 和其谐波的频率偏移。
在整数 N PLL 中,由于系统频率步进大小的要求,常常选择相对较小的fPFD。这意味着,与 PFD 周期相比,防反冲脉冲宽度极小,尤其是采用目前的高速 IC 技术时。因此,大的泄漏电流使得总的充电泵脉冲变成单极性,而且往往是基准杂散噪声的主要原因。这种现象后面将进行更深入的讨论。
基准杂散噪声对系统性能的影响
在特定通信频带中,有多个占用相等带宽的通道。在所有通道中,两个相邻通道中心频率之间的间隔是相等的,而且以通道间隔表示。由于一些原因,任何两个相邻通道信号强度之间常常有较大变化。
在多通道无线通信系统中,一种典型情况是,较强的通道与所需要但较弱的通道相邻,如图 4 所示。图中仅显示了其中一个所关注的 LO 基准杂散噪声。

图 4:由基准杂散噪声导致的相邻通道干扰
在整数 N PLL 中,通常选择等于通道间隔的 fPFD,这意味着基准杂散噪声的位置与 LO 的距离等于通道间隔。这些杂散噪声将所有相邻和附近的通道转换到中频 (fIF) 以及 LO 的中心,将所需要的通道混频到同一频率上。这些不想要的通道,与想要通道中的信号是不相关的,成为叠加到想要信号上的升高噪声层,限制了信噪比。
泄漏电流与基准杂散噪声之间的关系
以数学方法预测 PLL IC的相位噪声大小相对简单,可以通过计算准确地确定。然而,基准杂散噪声大小的预测一直以来都被认为是很复杂的。本节利用简单的计算,得出一种准确预测泄漏电流导致的基准杂散噪声大小的方法。
无源环路滤波器举例
一个采用典型无源环路滤波器的 PLL 系统如图 5 所示,其中包括以 I_Leakage 表示的电流源,代表充电泵的泄漏电流。假定 PLL 是锁定的,那么 I_Leakage 在充电泵关断时,减少了 CP 保持的电量。当充电泵每PFD 周期接通一次时,ICP_UP 通过加上一个短的电流脉冲,补充 CP 损失的电量。反馈强制 V_Tune (V_Tune_Avg) 端的平均电压恒定,从而保持正确的 LO 频率。图 6 以图形说明了这个过程。

图 5:采用无源环路滤波器的 PLL 系统,I_Leakage 代表充电泵泄漏电流
图 6:CP 通过 I_Leakage 放电,每 PFD 周期再通过 ICP_UP 充电
要推导所得杂散噪声,需要对环路稳定性的要求有所了解,首先是 LBW 限制。PLL 系统的 LBW 设计为至少比 fPFD 少 10 倍:

这意味着,PFD 周期为:

为了建立具有大量相位裕度的稳定环路,在环路中插入一个由图 5 中 RZ 和 CI 组成的零点,位置大约在 1/3 LBW 处。

在最后一个等式中用 TPFD 替代 LBW,产生

这意味着,PFD 周期几乎是比零点τZ 时间常数短 5 倍。这表明,在一个 TPFD 周期中 CP 两端产生的纹波大多不会被 CI 看到。闭环带宽 LBW 近似等于开环增益的单位增益交叉点 (unity crossing)。既然该零点位于环路带宽之内 (位于开环增益单位增益交叉点的 1/3 处),那么 CI 两端的电压由负反馈决定,而且在大多数情况下等于 DC 值。
实事求是地讲,在图 6 所示的 PFD 周期中,仅 CP 在放电和充电。
如果用一个恒定电流源 I 给电容器 C 充电和放电,那么经过一段给定的时间ΔT,该电容器两端的电压由以下等式给出:

为了在 LO 端保持固定输出频率,图 6 中放电周期发生的电压下降等于充电周期的电压上升。也就是:

其中,TCharge 是充电泵电流在每个 PFD 周期工作的时间。
充电泵电流 I_CP 的大小通常在 mA 范围,I_Leakage 的大小通常在 nA 范围,这意味着:

这表明,CP 两端的纹波电压可以用锯齿波表示。
为了研究这种锯齿波对 LO 信号频谱的影响,而且既然该波形是一种周期函数,那么该锯齿波可以用傅立叶级数 (Fourier Series) 分析分解成其频率分量:

其中:

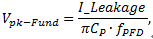
其中 n = 1,基频峰值为:

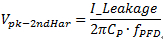
二阶谐波峰值为:

等等。
在图 6 中等于 V_Tune_Avg 的 DC 值按照所要求的 LO 频率由负反馈设定。然而,AC 组件通过 VCO 的调谐引脚对 VCO 进行频率调制,调谐灵敏度为 KVCO,结果产生了以 fPFD 为基频的双边带杂散噪声。附录导出了以下等式,稍后会用到这个等式。

因为 fPFD 是基频和最低频率分量,按照设计,至少比开环增益的 0dB 交叉点高 10 倍。在这些 AC 分量的负反馈影响是微不足道。
为了算出基频基准杂散噪声与载波的功率比,设 fm = fPFD、Em = Vpk-Fund 和

就二阶谐波基准
杂散噪声而言,fm = 2 fPFD、Em = Vpk-2ndHar 且

用类似方法可以算出针对较高阶谐波的比值。
有源环路滤波器举例
图 7 显示了
PLL基准杂散噪 相关文章:
- 电源设计小贴士 1:为您的电源选择正确的工作频率(12-25)
- 用于电压或电流调节的新调节器架构(07-19)
- 超低静态电流电源管理IC延长便携应用工作时间(04-14)
- 电源设计小贴士 2:驾驭噪声电源(01-01)
- 负载点降压稳压器及其稳定性检查方法(07-19)
- 电源设计小贴士 3:阻尼输入滤波器(第一部分)(01-16)
