详细分析带隙型稳压电路的工作原理
时间:11-30
来源:互联网
点击:
简介:带隙型稳压电路能够在很宽的温度范围内使得温度系数接近于0,以达到很好的稳压效果。在此,为了从数学上详细推导分析这类电路的工作原理,我准备对这个过程中的每一步都一一进行推导。由于整个过程基本是数学方程式的演算,对于这类稳压电路不是很熟悉的朋友,希望能耐心跟着我的思路来理解,我尽量把它推导得明白、简单、易懂。
我们知道,二极管的正向电压VF和BJT的VBE都大约是0.6V的样子,而且它们的温度系数约为-2mV/oC,也就是说,在一定温度范围内,温度每升高1oC,它们的正向压降就将减小2mV左右,示意图如下,

下面先来分析带隙型稳压电路一个基本原理图,如果把它的基本原理弄清楚了,那么这种类型的稳压电路就算基本知道是怎么回事了。

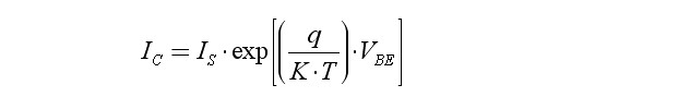
对于晶体管来说,前人已经推导出描述这个器件的一个很好的关系式了:

where,
IS为PN结的反向饱和电流;
q为电子的电量,且q=1.602*10-19C;
K是Boltzmann常数,且K=1.3805*10-23J/K;
T为热力学绝对温度(K);
VBE为所加的基、射极电压。
同时,可以得出:

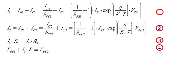
那么,从如上所示原理图中,可以得出如下方程组:

在这里,我们做出本文最重要的一个前提假设:Q1和Q2的反向饱和电流以及hFE是相等的,则

其中,VT=KT/q即为热电压的定义式。
且热电压的温度系数为:

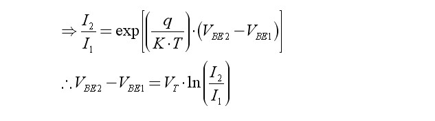
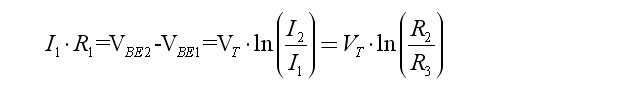
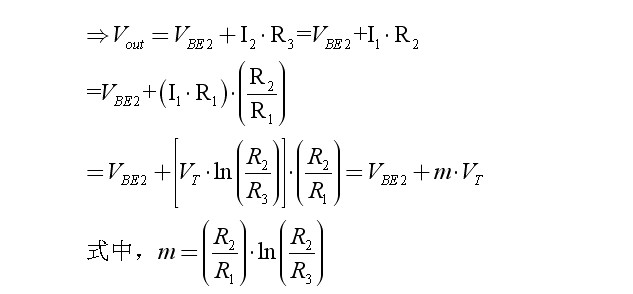
根据上面方程组中的3、4两式,可得:

此时,该电路的输出电压为:

这里m是热电压VT的加权系数。别忘了一个事实:VBE的温度系数约为-2mV/OC0。所以只要适当地设定m的值就可以使得Vout的温度系数在很宽的温度范围内接近于0!这就是带隙型稳压电路的核心思想所在。
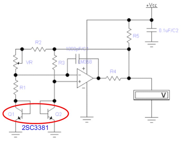
下面给出它的一个实用电路,

剖析该电路:
(1)当Q1和Q2的结温和参数有着不容忽视的差异时,本文的所有理论推导将变得毫无意义,所以一定要使用单芯片双(twin)晶体管,推荐使用2SC3381;
(2)C1=1000pF是超前相位补偿电容,其作用是为了在输出端至GND之间接有大容量的电容时该电路也能够稳定地工作;
(3)C2=0.1uF是电源旁路电容;
(4)R4也是在负载为电容时防止振荡用的电阻;
(5)R5是上拉电阻,如果省去R5的话,则在接通电源时,输出电压的上升反应往往会不尽人意;
(6)VR用于输出电压的微调,调整到输出电压的温度系数为0。需要指出的是,这里的VR由于是滑动变阻器,因此它本身就够成了一个噪声源。所以实际值肯定会和理论计算值还是有一定差异的,这需要更精密的数学建模来进行分析了,但是一般来说,这种必要性不是很大,因为半导体材料的各种参数本来就不是严格线性的。
如上所述就是带隙型稳压电路的整个工作原理的理论推导,在这个推导过程中,我借鉴了一个日本人写的一本电路书。我这篇文章里50.1%的逻辑思想是源于那个日本人,呵呵,剩下的49.9%就是本人的了。但是我觉得我讲得能比他讲的更明白一些,因此本人特地整理出来和博友分享一下。
我们知道,二极管的正向电压VF和BJT的VBE都大约是0.6V的样子,而且它们的温度系数约为-2mV/oC,也就是说,在一定温度范围内,温度每升高1oC,它们的正向压降就将减小2mV左右,示意图如下,

下面先来分析带隙型稳压电路一个基本原理图,如果把它的基本原理弄清楚了,那么这种类型的稳压电路就算基本知道是怎么回事了。

对于晶体管来说,前人已经推导出描述这个器件的一个很好的关系式了:

where,
IS为PN结的反向饱和电流;
q为电子的电量,且q=1.602*10-19C;
K是Boltzmann常数,且K=1.3805*10-23J/K;
T为热力学绝对温度(K);
VBE为所加的基、射极电压。
同时,可以得出:

那么,从如上所示原理图中,可以得出如下方程组:

在这里,我们做出本文最重要的一个前提假设:Q1和Q2的反向饱和电流以及hFE是相等的,则

其中,VT=KT/q即为热电压的定义式。
且热电压的温度系数为:

根据上面方程组中的3、4两式,可得:

此时,该电路的输出电压为:

这里m是热电压VT的加权系数。别忘了一个事实:VBE的温度系数约为-2mV/OC0。所以只要适当地设定m的值就可以使得Vout的温度系数在很宽的温度范围内接近于0!这就是带隙型稳压电路的核心思想所在。
下面给出它的一个实用电路,

剖析该电路:
(1)当Q1和Q2的结温和参数有着不容忽视的差异时,本文的所有理论推导将变得毫无意义,所以一定要使用单芯片双(twin)晶体管,推荐使用2SC3381;
(2)C1=1000pF是超前相位补偿电容,其作用是为了在输出端至GND之间接有大容量的电容时该电路也能够稳定地工作;
(3)C2=0.1uF是电源旁路电容;
(4)R4也是在负载为电容时防止振荡用的电阻;
(5)R5是上拉电阻,如果省去R5的话,则在接通电源时,输出电压的上升反应往往会不尽人意;
(6)VR用于输出电压的微调,调整到输出电压的温度系数为0。需要指出的是,这里的VR由于是滑动变阻器,因此它本身就够成了一个噪声源。所以实际值肯定会和理论计算值还是有一定差异的,这需要更精密的数学建模来进行分析了,但是一般来说,这种必要性不是很大,因为半导体材料的各种参数本来就不是严格线性的。
如上所述就是带隙型稳压电路的整个工作原理的理论推导,在这个推导过程中,我借鉴了一个日本人写的一本电路书。我这篇文章里50.1%的逻辑思想是源于那个日本人,呵呵,剩下的49.9%就是本人的了。但是我觉得我讲得能比他讲的更明白一些,因此本人特地整理出来和博友分享一下。
电路 二极管 电压 电流 电子 电容 电阻 半导体 相关文章:
- 电源设计小贴士 1:为您的电源选择正确的工作频率(12-25)
- 用于电压或电流调节的新调节器架构(07-19)
- 超低静态电流电源管理IC延长便携应用工作时间(04-14)
- 电源设计小贴士 2:驾驭噪声电源(01-01)
- 负载点降压稳压器及其稳定性检查方法(07-19)
- 电源设计小贴士 3:阻尼输入滤波器(第一部分)(01-16)
