电压电流接线方法,根据功率特征阻抗做选择
时间:08-12
来源:互联网
点击:
早在初中的物理课中我们就已经接触到功率测量了,当时用的是独立的电流表和电压表。遥想当年,老师反复强调什么时候电流表内接、外接……,是不是有点晕了。现在进行功率测量有了功率计、功率分析仪等更高级的仪器,但是作为基本的测量方法,电流表内外接产生的影响依然存在。
下图分别显示了电流表内接和外接两种接法。

对于功率测量仪器,我们希望电压通道输入阻抗无穷大,电流通道输入阻抗无穷小。然而现实跟理想总有那么一点差距,电压表和电流表的输入阻抗消耗了测量回路中电能,产生了系统误差,对测量精度的影响跟测量方法有关。
1、在确定用哪一种方法前先来计算不同情况下电压和电流表的损耗功率。
无论内外接,我们从仪器读取的功率为
电流表损耗

电压表损耗

式中RI和RU分别为电压表和电流表的内阻。从图中得到两个结论:
(1) 电流表内接时,电流表读数即为负载电流,电压表读数是电流表内阻压降和负载电压之和,因此仪器的测量结果中包含了电流表的损耗功率PI。
(2) 电流表外接时,电流表读数为负载电流和电压表电流之和,电压表读数即为负载电压,因此仪器的测量结果中包含了电压表的损耗功率PU。
2、在特定的环境中,比较两种接法的损耗。
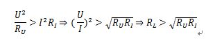
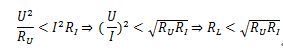
(1)不妨假设电压表损耗大于电流表,由不等式运算规则推导得到:

(2)同理假设电压表损耗小于电流表:

(3)当两者相等时:

我们将电压表和电流表内阻乘积平方根暂且称为仪器的“功率特征阻抗”,RP。

根据上述3种情况的运算结果,不同负载阻抗RL和功率特征阻抗RP的影响如下:
(1) RL>RP电压表损耗较大;
(2) RL<RP电流表损耗较大;
(3) RL =RP损耗相等。
3、选择合适的接法提高测量精度
以上分析了不同的负载阻抗与功率特征阻抗下电表的损耗,哪到底选用哪种?需要根据测量对象选择。以测试DC-DC转换器效率为例,需要测量转换器输入功率和输出功率。输入功率即是转换器吸收的功率,应尽量减少电表的损耗,所以需要把损耗小的电表内接,把损耗大的电表功率排除。输出功率是转换器提供的功率,电表损耗和负载功率都是由转换器提供,要将电表损耗功率计入转换器输出功率,因此把损耗大的电表进行内接。
设DC-DC输入电压48V电流约0.3A,输出12V电流约1A,输出接了12Ω假负载。使用PA5000功率分析仪5A功率卡测量效率,电压通道输入阻抗2MΩ,电流通道取样电阻0.1Ω,首先功率特征阻抗:

输出负载阻抗12Ω<447Ω,根据结论(2)这种情况电流表将消耗更大的功率,因此测量输出功率要把电流表内接,PA5000测出的DC-DC输出功率中包含了电流表的损耗功率。
输入负载阻抗RIN=48/0.3=160Ω<447Ω,根据结论(2)这种情况电流表将消耗更大的功率,因此要把电流表外接,电流表较大的损耗就不会计入DC-DC输入功率中了。
输入输出接线如下图所示,输入和输出功率的系统误差更小。

输入输出接线图
如果看见公式就头疼,PA5000还有更高级的接线补偿功能,无需人工计算。
下图分别显示了电流表内接和外接两种接法。

对于功率测量仪器,我们希望电压通道输入阻抗无穷大,电流通道输入阻抗无穷小。然而现实跟理想总有那么一点差距,电压表和电流表的输入阻抗消耗了测量回路中电能,产生了系统误差,对测量精度的影响跟测量方法有关。
1、在确定用哪一种方法前先来计算不同情况下电压和电流表的损耗功率。
无论内外接,我们从仪器读取的功率为
电流表损耗

电压表损耗

式中RI和RU分别为电压表和电流表的内阻。从图中得到两个结论:
(1) 电流表内接时,电流表读数即为负载电流,电压表读数是电流表内阻压降和负载电压之和,因此仪器的测量结果中包含了电流表的损耗功率PI。
(2) 电流表外接时,电流表读数为负载电流和电压表电流之和,电压表读数即为负载电压,因此仪器的测量结果中包含了电压表的损耗功率PU。
2、在特定的环境中,比较两种接法的损耗。
(1)不妨假设电压表损耗大于电流表,由不等式运算规则推导得到:

(2)同理假设电压表损耗小于电流表:

(3)当两者相等时:

我们将电压表和电流表内阻乘积平方根暂且称为仪器的“功率特征阻抗”,RP。

根据上述3种情况的运算结果,不同负载阻抗RL和功率特征阻抗RP的影响如下:
(1) RL>RP电压表损耗较大;
(2) RL<RP电流表损耗较大;
(3) RL =RP损耗相等。
3、选择合适的接法提高测量精度
以上分析了不同的负载阻抗与功率特征阻抗下电表的损耗,哪到底选用哪种?需要根据测量对象选择。以测试DC-DC转换器效率为例,需要测量转换器输入功率和输出功率。输入功率即是转换器吸收的功率,应尽量减少电表的损耗,所以需要把损耗小的电表内接,把损耗大的电表功率排除。输出功率是转换器提供的功率,电表损耗和负载功率都是由转换器提供,要将电表损耗功率计入转换器输出功率,因此把损耗大的电表进行内接。
设DC-DC输入电压48V电流约0.3A,输出12V电流约1A,输出接了12Ω假负载。使用PA5000功率分析仪5A功率卡测量效率,电压通道输入阻抗2MΩ,电流通道取样电阻0.1Ω,首先功率特征阻抗:

输出负载阻抗12Ω<447Ω,根据结论(2)这种情况电流表将消耗更大的功率,因此测量输出功率要把电流表内接,PA5000测出的DC-DC输出功率中包含了电流表的损耗功率。
输入负载阻抗RIN=48/0.3=160Ω<447Ω,根据结论(2)这种情况电流表将消耗更大的功率,因此要把电流表外接,电流表较大的损耗就不会计入DC-DC输入功率中了。
输入输出接线如下图所示,输入和输出功率的系统误差更小。

输入输出接线图
如果看见公式就头疼,PA5000还有更高级的接线补偿功能,无需人工计算。
- 电源设计小贴士 1:为您的电源选择正确的工作频率(12-25)
- 用于电压或电流调节的新调节器架构(07-19)
- 超低静态电流电源管理IC延长便携应用工作时间(04-14)
- 电源设计小贴士 2:驾驭噪声电源(01-01)
- 负载点降压稳压器及其稳定性检查方法(07-19)
- 电源设计小贴士 3:阻尼输入滤波器(第一部分)(01-16)
