单相光伏并网逆变器直流注入问题的成因和抑制
时间:12-16
来源:互联网
点击:
随着非隔离型光伏并网逆变器的广泛应用,直流注入问题也日益受到重视,IEEE Std 929-2000规定直流注入必须小于系统额定电流的0.5%。将直流注入产生的原因分为两种类型:测量器件输入失调导致的平移型直流注入和测量器件的非线性造成的非线性直流注入,并分别提出了应对方法。针对平移型的直流注入问题,提出了通过一个直流分量积分补偿环节来抑制逆变器控制算法中偏移型直流分量,该直流抑制算法无需增加外围硬件电路,且只占用很少的控制芯片资源。针对非线性直流注入问题,做出了定量分析,为测量元器件非线性度指标的选择提供了的参考价值。最后将上述直流抑制算法应用于无差拍并网控制中,并在Matlab/Simulink进行了仿真分析,结果验证了理论分析和算法的正确性。
严峻的能源形势和生态环境的压力要求各国大力开发利用可持续的清洁能源。太阳能在众多利用形式中具有环保清洁、蕴藏丰富、分布广等优势,已经成为当前世界上可再生能源的重要组成部分。世界各国纷纷投资研发,大力拓展光伏发电市场,促进了光伏并网发电并网技术的进一步提高,使其成为当前最具发展前景的新能源技术之一。基于中国光伏产业发展的需要,中国光伏产业发展“十二五”目标已进行新的调整,从之前公布的光伏发电装机容量21 GW,扩大到35 GW。国家还将出台对光伏产业在上网、补贴等方面的支持政策。光伏发电将成为未来的替代能源之一,建设大规模的并网光伏系统是必然的选择。
非隔离型的光伏并网逆变器由于其省去了工频变压器而具有重量轻、效率高、体积小、成本低等优势,成为光伏并网逆变器发展的主流方向。由于没有低频或者高频的隔离变压器,非隔离型的光伏并网逆变器关键性技术之一是并网直流电流的抑制。并网逆变器控制电路中测量元器件存在零点漂移、器件本身的非线性特性,开关管本身及驱动电路不一致等问题,造成了逆变器输出电流中产生直流分量。电力系统不允许将有较大输出直流分量的逆变器连接到电网上,因为注入电网直流分量会使变电站变压器工作点偏移,导致变压器饱和;增加电网电缆的腐蚀;导致较高的初级电流峰值,可能烧毁输入保险,引起断电;甚至可能增加谐波分量。IEEE Std 929-2000中规定光伏系统并网电流中直流分量必须小于系统额定电流的0.5%。因此,研究光伏并网直流注入问题具有重要的现实意义。
本文主要详细分析了单相光伏并网系统产生直流分量注入的原因,针对偏移型直流注入提出一种通过积分补偿环节有效抑制并网直流注入的算法,并将其应用到无差拍电流控制逆变器中,实现了对并网偏移型直流分量进行抑制。针对非线性直流注入问题,定量的分析了测量元器件的非线性对并网电流直流分量注入的影响,为选择测量元器件非线性参数的考虑提供了参考。
1 非线性直流分量产生的原因及抑制方法
1.1 非线性直流分量产生的原因
光伏并网算法的完成需要实时采样并网电流、电网电压等正弦量,然而采样所用到的霍尔电流电压互感器、后级的模拟放大电路都存在一定的非线性特性,输出与输入信号之间的关系不是一条具有固定斜率的直线。对于输入的正弦波形,输入信号幅度不同时,放大倍数会不同,这将导致所测量的正弦波形发生畸变,产生直流分量。
图1 为针对元器件非线性直流注入的原理分析,图1(a)中曲线2 为某测量电路所用放大器的理想特性曲线,由于其存在非线性特性,实际的特性曲线为图1(a)中曲线1,对于不同幅值的输入信号放大倍数也不同。若需要采样的波形如图1(b),图1(c)中曲线2与曲线1分别表示为理想输出波形与考虑器件非线性之后的实际输出波形,测量元器件的非线性造成输出信号Zi变成了上大下小的失真波形,从而造成直流分量的注入。
1.2 测量器件非线性度带来直流分量的定量分析
非线性原因导致了逆变器输出中存在直流电流,若不采取适当措施,该直流电流将注入电网,引起电网的直流注入问题。针对非线性的直流注入问题,往往需要根据非线性特性方程来补偿非线性,但这个特性厂家一般不提供,而只给出非线性度指标。采用输入/输出的特性曲线与理想曲线的最大偏差为ΔYi(max),用Δi(max)/|Y|来度量元器件的非线性度。
本文结合无差拍控制算法,对元器件的非线性度进行拟合仿真,并研究了测量电路非线性度对输出直流分量的影响。搭建并网额定电流为16 A基于无差拍控制的逆变器,主要研究测量电路非线性度的大小对直流分量注入的影响,采用二次曲线拟合元器件的非线性度的大小,由于实际设计测量电路时,测量电流与电压的元器件往往采用一个公司的产品,这里假设测量电流与电压的电路具有同样的非线性特性。测量结果见表1。

图1 测量元器件非线性直流分量的产生

从表中可以看出,随着元器件非线性度的增大,输出直流分量的大小也随之增加。IEEE Std 929-2000规定直流注入必须小于系统额定电流的0.5%,当测量元器件的非线性度小于0.3%时可以基本满足IEEE Std 929-2000的规定。
2 偏移型直流分量产生的原因及抑制方法
2.1 偏移型直流分量产生的原因
并网逆变器控制电路中一般都需要测量电网电压、并网电流等参数,所用测量元器件往往存在输入失调的问题,导致了所测量的正弦波形整体向上或者向下偏移。结果是:由于测量产生的直流分量将被带入到逆变器的控制算法中,将引起控制器的误差,最终使逆变器的并网电流中含有直流分量。
图2为针对偏移型直流注入的原理分析,图2(a)中曲线2为某测量电路所用放大器的理想特性曲线,由于其存在输入失调,实际的特性曲线为图2(a)中曲线1,较之于理想特性曲线向上偏移100 mV。若需要采样的波形如图2(b),(c)中曲线1与曲线2分别表示为理想输出波形与考虑输入失调后的实际输出波形,测量元器件的输入失调造成采样得到的正弦波整体上移。

图2 测量元器件偏移型直流分量的产生
光伏并网算法的采样电路中放大器存在输入失调,如图2(b)中所示。本文结合无差拍控制算法,对偏移型直流注入进行仿真分析,定量的研究了元器件输出失调产生的直流分量。搭建并网额定电流为16 A基于无差拍控制的逆变器,主要研究测量并网电流与电网电压的元器件失调大小对直流分量注入的影响。实际设计测量电路时,测量电流与电压的元器件往往采用一个公司的产品,这里假设测量电流与电压的电路具有同样的输出失调。得到的测量结果如表2所示。

从表2中可以看出,随着元器件输入失调的增大,输出直流分量的大小也随之增加。当测量元器件的输出失调小于10 mV/5 V时,直流分量的注入小于0.5%。为了解决由于元器件偏移型直流分量的注入,提出一个积分补偿环节来抑制直流注入,这里以无差拍控制为例介绍该方法。
2.2 偏移型直流分量抑制的方法
2.2.1 无差拍控制原理
光伏发电容易受到外界环境如光照、温度等影响,要求逆变并网电流控制技术具有良好的动态响应性能。无差拍控制是一种数字化的控制方法,其优势就在于良好的动态性能,控制过程无过冲,具有非常快的暂态响应。
图3为无差拍电流控制原理图,DC为光伏电池输出经过BOOST 升压电路得到的直流电压,其值约为380 V。VT1~VT4组成全桥逆变器完成将光伏电池输出的能量传送到电网的任务。L 和C 组成一个滤波器,主要用于滤除由于开关管高频通断而产生的谐波电流的注入,R 为线路的等效电阻。由于电网电压在一定范围内稳定,控制逆变器输出的电流与电网电压同相位,即其功率因素为1,即能完成最大效率的输送。

图3 无差拍电流控制原理图
2.2.2 偏移型直流分量抑制算法
无差拍控制的思路是根据当前采样周期电路的状态来预测下一周期开关器件的占空比,从而产生PWM波控制开关管的通断,为了解决由于测量元器件的零点漂移所带来的偏移型直流注入问题,如式(1)所示在电流控制环节加入一个电流补偿KI×Iε,每个正弦波周期对注入的直流分量进行抑制,直到Iε =0 达到稳定状态,实验证明该方法简单有效,具有很好的暂态响应和稳态响应:

式中:

为电网电压在第k +1 次采样周期的平均值;TS 为功率器件的开关周期;N 为每个周期的采样次数;iL (k) 为第k 次周期电感电流的采样值;iref(k +1) 为电感电流在第k +1周期的参考值;udc 为升压级输出的直流电压。

图4 一个周期内的电流波形
假设图4为一个周期内滤波电感电流的理想波形,周期为T,每周期采样次数为N,该直流抑制算法只需要对称提取靠近峰值附近大约20个点(N=200时),如图4中灰线条所框起来的部分:
iε =iL(i) +iL(i +1) +…+iL(i +20) +iL(N -i -20) +…+iL(N -i) (3)
如果iL(i)中不含直流分量,由图4 可知:iL(i) =-iL(N -i -20) ,iL(i +1) =-iL(N -i -19)…iL(i +20) =-iL(N -i) 带入式(3)即得iε =0 。当iL(t) 中含有直流分量idc 时,iε≠ 0 ,其值的大小代表iL(t)中含直流分量的多少,iε(t)的值越大说明所含直流分量的值也越大。在无差拍电流控制环中,将iε(t)乘上一个比例系数KI作为一个负反馈补偿。KI的大小与电路结构有着密切的关系,需要根据实际情况恰当的选择KI,以实现快速且稳定的直流抑制。
2.2.3 仿真分析
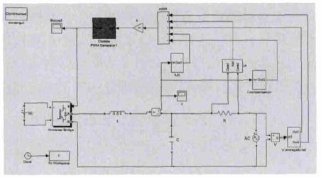
为了验证理论分析和直流抑制控制方法的有效性,在Matlab/Simulink 环境下进行时域仿真,图5为时域仿真搭建的电路模型。

图5 基于无差拍直流抑制控制方法仿真时域模型
直流母线电压为380 V,系统开关频率设置为10 kHz,滤波电感40 mH,滤波电容850 μF,并网电流幅值为设置为20 A。为了让仿真效果更明显,这里假设电流与电压测量电路存在5%的输出失调,并网电流波形仿真效果如图6所示。

图6 并网电流波形
图6中初始时刻并网电流存在一定量的直流电流,经过闭环补偿环节不断调节,在0.15 s时刻后,直流分量得到充分抑制。为了更直观地分析并网电流直流分量的变化情况,这里用Simulink/Fourier模块对并网电流波形进行傅里叶分析,提取其直流分量,如图7所示。分析可知0.15 s 后直流分量仅有0.02 A,为额定电流的0.12%。直流分量逐步被抑制,调节速度快且稳态响应好。

图7 抑制后并网电流FFT分析提取直流分量
图8为并网电压与电流的仿真波形,可以看出基于无差拍控制算法下所补偿的直流抑制环节达到了很好的效果,且不影响无差拍控制本身良好的动态性能和稳定性。

图8 并网电压与电流波形
3 结语
本文提出一种简单有效的偏移型直流抑制算法,其具有简单、快速、有效、实用等特点。根据实际工程应用提出的电流环补偿方法只需要占用少量的芯片资源而无需增加额外的硬件设施,可以广泛的用于数字化的控制算法中。同时对非线性的直流注入做了具体分析,并定量地给出了元器件的非线性对直流注入的影响,为测量元器件的选择提供了非线性指标的参考。仿真结果表明,基于无差拍控制基础上的电流补偿环节可以有效地抑制直流电流的注入。
逆变器 电流 电路 仿真 变压器 电压 放大器 电容 滤波器 电阻 PWM 电感 相关文章:
- 实现智能太阳能管理的微型逆变器应运而生(05-06)
- 只需少量器件的廉价自动复位断路器(07-31)
- 即将普及的碳化硅器件(10-19)
- IR2110驱动电路的优化设计(03-15)
- 关键电源及LED照明应用的最新高能效规范要求、设计挑战及解决方案(12-07)
- 基于FPGA的三相PWM发生器(06-23)
