基于ARIMA与Elman神经网络的风速组合预测模型
时间:07-10
来源:互联网
点击:
1.引言
近年来,能源短缺和环境问题越来越受到人们关注,新能源的开发利用越来越受到人们重视。风力发电由于风速的可再生、清洁无污染等特点成为目前世界上增长最快的可再生能源。风速预测的准确性直接关系到风电场对电力系统的影响,同时也为风电机组的控制提供了重要依据。因此提高风速预测的准确性,对于增加电网的可靠性、提高经济效益有很重要的意义。
在现实中,大多数时间序列都是非平稳的,因此仿真建模前需对实际数据进行差分处理,虽然差分后可将数据看作是是平稳序列,然而经验证可知,其中仍含有非平稳部分,这就造成了ARIMA预测非平稳时间序列的误差增大。为提高风速数据中非线性部分的预测精度,本文提出了一种基于ARIMA和改进Elman神经网络组合模型对某地区风速进行预测的新方法。ARIMA模型用于描述历史数据的线性关系,改进的神经网络模拟数据的非线性规律。
本文采用2009年9月的720个风速数据建立组合预测模型,并利用该模型预测10月1日到6日内144个风速,取得了比较满意的预测效果。
2.ARIMA-Elman模型原理
组合模型原理如图1所示。对于波动性较大的风速数据而言,单一的时间序列预测具有较大的滞后,而差分后的时间序列能够反映原始数据变化趋势,具有一定的预知性。然后用改进Elman神经网络,以ARIMA预测误差和历史风速1阶差分序列作为网络输入,预测ARIMA模型的误差,使非线性规律包含在改进Elman神经网络的预测结果中。最后使用ARIMA的预测结果与改进Elman神经网络的误差预测结果相叠加得到组合预测模型的预测值。

3.ARIMA模型
3.1 模型的概念
时间序列模型分为平稳时序模型和非平稳时序模型。平稳时序模型包括自回归(Auto-Regressive,AR)模型、滑动平均(MovingAverage,MA)模型和自回归移动平均(Auto-Regressive and Moving Average,ARMA)模型。工程上最常用的非平稳模型是差分自回归移动平均(Autoregressive Integrated MovingAverage,ARIMA)模型。其中ARIMA(p,d,q)模型的表达式记为:

3.2 模型建立
①数据的预处理
采用时间序列进行仿真预测可以大大降低预测的工作量,论文使用某一台风机的风速数据,首先对时间序列用自相关函数法检验平稳性,经1阶差分后,满足时间序列平稳性要求,即差分阶数d=1.
②模型定阶与参数估计
目前常使用最佳准则函数进行定阶,其包括最小FPE、AIC和SBC准则。本文采用AIC准则,即最小信息量准则,利用似然函数估计值最大值原则来确定模型p、q阶数分别为2、1,即ARIMA(2,1,1)。模型定阶后,利用最小二乘法,使残差平方和达到最小的那组参数值即为模型参数估计值[7].
3.3 评价标准
本文采用平均绝对百分比误差(MAPE)、平方和误差(SSE)以及均方根误差(RMSE)对预测结果进行评价,计算公式如下:

4.改进的Elman神经网络
4.1 改进Elman神经网络原理
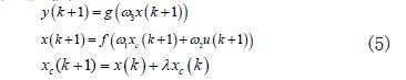
Elman神经网络是一种具有局部记忆单元和局部反馈连接的前向反馈网络。本文采用一种改进的Elman神经网络,其非线性状态空间表达式为:

如图2所示,在承接层部分引入前一时刻c x值,B为一步延迟算子,其增益用λ表示,其大小反映承接层对过去时刻记忆的强弱。

4.2 网络结构的设计
已证明,若Elman神经网络隐含层数为1,且采用S型转换函数,则该网络能够以任意精度逼近任意有理函数,故本文将网络结构设计为3层。
ARIMA(2,1,1)模型对9月1日到9月30日内的720个风速数据进行预测得到预测误差,以归一化后误差数据的前4个和实测风速一阶差分值的第3个作为网络输入,以误差数据的第5个作为网络输出,依次传递,组成样本数据对网络进行训练。
5.实例仿真
5.1 ARIMA模型初步预测
本文采用的是某风电场的风速历史数据进行实际预测,采用9月1日到9月30日内720个风速值进行建模,10月1日到6日内144个风速值进行验证。
利用ARIMA(2,1,1)模型对数据进行预测,提前1小时预测结果如图3所示,预测效果评价如表1所示。

图3中,实测风速的剧烈波动性一定程度上影响了ARIMA模型预测精度,并且预测曲线滞后于实测风速曲线。

5.2 改进Elman神经网络修正误差
训练得到神经网络模型,对10月1日至10月6日144个测试样本数据归一化后进行预测,得到ARIMA预测误差,并与ARIMA模型预测值相加,得到修正后的预测值,如图4所示。误差预测结果如表2所示。


5.3 结果分析
通过对以上结果分析,可以得到以下结论:
(1)风速的1阶差分序列,代表风速的变化趋势,由图4、表1,以差分数据作为网络输入,利用改进Elman神经网络修正ARIMA模型预测误差,能够较好的减小预测滞后性,提高预测精度。
(2)用BP神经网络替代组合模型中Elman网络的预测效果见表1,表2.改进的Elman神经网络预测精度要比ARIMA-BP模型高,且训练速度提高30%以上。
6.结束语
本文将改进的Elman神经网络应用到风速时间序列预测的研究中,建立ARIMA-ELMAN组合预测模型,既描述了风速历史数据的线性规律,又描述了风速历史数据中的非线性规律,结果表明比单一使用ARIMA模型预测精度高、误差小;与ARIMA-BP模型相比,训练时间短,效率高。该预测模型在风速预测上具有良好的适用性,对进一步解决实际工程问题具有一定的参考价值。
近年来,能源短缺和环境问题越来越受到人们关注,新能源的开发利用越来越受到人们重视。风力发电由于风速的可再生、清洁无污染等特点成为目前世界上增长最快的可再生能源。风速预测的准确性直接关系到风电场对电力系统的影响,同时也为风电机组的控制提供了重要依据。因此提高风速预测的准确性,对于增加电网的可靠性、提高经济效益有很重要的意义。
在现实中,大多数时间序列都是非平稳的,因此仿真建模前需对实际数据进行差分处理,虽然差分后可将数据看作是是平稳序列,然而经验证可知,其中仍含有非平稳部分,这就造成了ARIMA预测非平稳时间序列的误差增大。为提高风速数据中非线性部分的预测精度,本文提出了一种基于ARIMA和改进Elman神经网络组合模型对某地区风速进行预测的新方法。ARIMA模型用于描述历史数据的线性关系,改进的神经网络模拟数据的非线性规律。
本文采用2009年9月的720个风速数据建立组合预测模型,并利用该模型预测10月1日到6日内144个风速,取得了比较满意的预测效果。
2.ARIMA-Elman模型原理
组合模型原理如图1所示。对于波动性较大的风速数据而言,单一的时间序列预测具有较大的滞后,而差分后的时间序列能够反映原始数据变化趋势,具有一定的预知性。然后用改进Elman神经网络,以ARIMA预测误差和历史风速1阶差分序列作为网络输入,预测ARIMA模型的误差,使非线性规律包含在改进Elman神经网络的预测结果中。最后使用ARIMA的预测结果与改进Elman神经网络的误差预测结果相叠加得到组合预测模型的预测值。

3.ARIMA模型
3.1 模型的概念
时间序列模型分为平稳时序模型和非平稳时序模型。平稳时序模型包括自回归(Auto-Regressive,AR)模型、滑动平均(MovingAverage,MA)模型和自回归移动平均(Auto-Regressive and Moving Average,ARMA)模型。工程上最常用的非平稳模型是差分自回归移动平均(Autoregressive Integrated MovingAverage,ARIMA)模型。其中ARIMA(p,d,q)模型的表达式记为:

3.2 模型建立
①数据的预处理
采用时间序列进行仿真预测可以大大降低预测的工作量,论文使用某一台风机的风速数据,首先对时间序列用自相关函数法检验平稳性,经1阶差分后,满足时间序列平稳性要求,即差分阶数d=1.
②模型定阶与参数估计
目前常使用最佳准则函数进行定阶,其包括最小FPE、AIC和SBC准则。本文采用AIC准则,即最小信息量准则,利用似然函数估计值最大值原则来确定模型p、q阶数分别为2、1,即ARIMA(2,1,1)。模型定阶后,利用最小二乘法,使残差平方和达到最小的那组参数值即为模型参数估计值[7].
3.3 评价标准
本文采用平均绝对百分比误差(MAPE)、平方和误差(SSE)以及均方根误差(RMSE)对预测结果进行评价,计算公式如下:

4.改进的Elman神经网络
4.1 改进Elman神经网络原理
Elman神经网络是一种具有局部记忆单元和局部反馈连接的前向反馈网络。本文采用一种改进的Elman神经网络,其非线性状态空间表达式为:

如图2所示,在承接层部分引入前一时刻c x值,B为一步延迟算子,其增益用λ表示,其大小反映承接层对过去时刻记忆的强弱。

4.2 网络结构的设计
已证明,若Elman神经网络隐含层数为1,且采用S型转换函数,则该网络能够以任意精度逼近任意有理函数,故本文将网络结构设计为3层。
ARIMA(2,1,1)模型对9月1日到9月30日内的720个风速数据进行预测得到预测误差,以归一化后误差数据的前4个和实测风速一阶差分值的第3个作为网络输入,以误差数据的第5个作为网络输出,依次传递,组成样本数据对网络进行训练。
5.实例仿真
5.1 ARIMA模型初步预测
本文采用的是某风电场的风速历史数据进行实际预测,采用9月1日到9月30日内720个风速值进行建模,10月1日到6日内144个风速值进行验证。
利用ARIMA(2,1,1)模型对数据进行预测,提前1小时预测结果如图3所示,预测效果评价如表1所示。

图3中,实测风速的剧烈波动性一定程度上影响了ARIMA模型预测精度,并且预测曲线滞后于实测风速曲线。

5.2 改进Elman神经网络修正误差
训练得到神经网络模型,对10月1日至10月6日144个测试样本数据归一化后进行预测,得到ARIMA预测误差,并与ARIMA模型预测值相加,得到修正后的预测值,如图4所示。误差预测结果如表2所示。


5.3 结果分析
通过对以上结果分析,可以得到以下结论:
(1)风速的1阶差分序列,代表风速的变化趋势,由图4、表1,以差分数据作为网络输入,利用改进Elman神经网络修正ARIMA模型预测误差,能够较好的减小预测滞后性,提高预测精度。
(2)用BP神经网络替代组合模型中Elman网络的预测效果见表1,表2.改进的Elman神经网络预测精度要比ARIMA-BP模型高,且训练速度提高30%以上。
6.结束语
本文将改进的Elman神经网络应用到风速时间序列预测的研究中,建立ARIMA-ELMAN组合预测模型,既描述了风速历史数据的线性规律,又描述了风速历史数据中的非线性规律,结果表明比单一使用ARIMA模型预测精度高、误差小;与ARIMA-BP模型相比,训练时间短,效率高。该预测模型在风速预测上具有良好的适用性,对进一步解决实际工程问题具有一定的参考价值。
- ARM在数字化远程视频监控系统的应用(05-20)
- FPGA在弹上信息处理机中的应用(04-15)
- 与MSP430 USI端口配合使用ADS8361(06-18)
- 基于ARM的I2C设备控制方法的实现(06-11)
- 辰汉电子推出低成本快速量产视频监控方案+4路输入方案(06-24)
- 无线IP视频监控应用即将井喷,Blackfin助您赢得先机(07-23)
