基于电力电子技术的连续无功补偿控制分析
时间:03-28
来源:互联网
点击:
3.无功功率补偿的根本目的
工程运用中,为了提高电网功率因数及稳定电网电压,通常引入无功补偿装置。对系统进行无功补偿,能够改变功率因数,降低系统损耗,大大提高电网功率的运行效率。另外,无功补偿还可以减少电压闪变、降低过电压以及提高电力系统的静止和动态稳定性等,就其经济价值而言,具有重要意义。
3.1 减少线路压降,提高电压的稳定性
无功补偿装置的引入,平衡了系统中无功功率,提高了电压的稳定性。由于线路传送电流小了,系统的线路电压损失也相应减小,有利于系统电压的稳定(轻载时要防止超前电流使电压上升过高),有利于大电机装置的起动。
3.2 降低系统能耗,提高资源的利用率
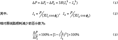
功率因数的提高,能一定程度减少线路损耗及变压器的铜耗。
设
为线路电阻,
为原线路损耗,引入无功补偿装置后,线路损耗为
,则线路损耗减少:
引入补偿后,由于功率因数提高,
,为分析方便,可近似认为
,则:
当功率因数从0.8提高至0.9时,通过上式计算,可求得有功损耗降低20.99%左右。
在输送
不变情况下,功率因数提高,则I相对降低。设
分别为补偿前、后变压器的电流,铜耗分别为
,则:
由(5)式可知,功率因数从0.8提高至0.9时,铜耗相当于原来的79%。
3.3 改善功率因数,减少相应电费
根据国家水电部,物价局颁布的《功率因数调整电费办法》,规定三种功率因数标准值,相应减少电费:
(1)高压供电的用电单位,功率因数为0.9以上。
(2)低压供电的用电单位,功率因数为0.85以上。
(3)低压供电的农业用户,功率因数为0.8以上。
根据《办法》,补偿后的功率因数以分别不超出0.95、0.94、0.92为宜,因为超过此值,电费并没有减少,相反初次设备增加,是不经济的。
3.4 增加供电功率,减少用电投资
对于原有供电设备来讲,同样的有功功率下,功率因数提高,负荷电流减小,因此向负荷传输功率所经过的变压器、开关、导线等配电设备都增加了功率储备,发挥了设备的潜力。对于新建项目来说,降低了变压器容量,减少了投资费用,同时也减少了运行后的基本电费。
4.无功补偿的一般方法
无功功率补偿通常采用的方法主要有3种:低压个别补偿、低压集中补偿和高压集中补偿。
4.1 低压个别补偿
低压个别补偿就是根据个别用电设备对无功的需求,将单台或多台低压电容器组分散地与用电设备并接。它与用电设备共用一套断路器,通过控制、保护装置与电机同时投切,随机补偿适用于补偿个别大容量且连续运行(如大中型异步电动机)的无功消耗,以补励磁无功为主。低压个别补偿的优点:根据用电设备运行或者停运,无功补偿投入或者退出,不会造成无功倒送。具有投资少、体积小、安装容易、配置方便、操作灵活、维护简单、事故率低等优点。
4.2 低压集中补偿
低压集中补偿是指将低压电容器通过低压开关接在配电变压器低压母线侧,以无功补偿投切装置作为控制保护装置,根据低压母线上的无功负荷直接控制电容器的投切。电容器的投切是整组进行,做不到平滑的调节。低压集中补偿的优点:配置容易、维护简单、平衡迅捷,从而提高配变利用率,降低网损,具有较高的经济价值,是目前无功补偿常用手段之一。
4.3 高压集中补偿
高压集中补偿是指将并联电容器组直接接在变电所6~10kV高压母线上的补偿方式。适用于远离变电所或在供电线路末端的用户,用户本身又有一定的高压负荷时,可以减少对电力系统无功的消耗,起到一定的补偿作用;补偿装置根据负荷的大小自动投切,从而合理地提高了用户的功率因数,避免功率因数降低导致电费的增加。高压集中补偿的优点:配置灵活、维护简单,补偿效益高等。
5.无功功率补偿的基本原理
在电力系统中,无功功率的动态补偿,可以实现如下诸多功能,比如:
①对动态无功负荷的功率因数校正;②调整电压;③提高电力系统的动态和静态稳定性;④降低过电压;⑤减少电压闪烁;⑥阻尼功率振荡;⑦阻尼次同步振荡;⑧减少电压和电流的不平衡。
虽然以上八种功能相互关联,然而,实际的静止无功补偿装置往往只能以其中的某一条或某几条为直接控制目标,尽可能的兼顾其它功能,并且,在控制策略和控制方式有所侧重。本文仅以改善电压调整的基本功能做一介绍。
补偿原理:
将电路具体分为系统、负载和补偿器三部分的等效电路,其动态补偿原理如图2所示。
工程运用中,为了提高电网功率因数及稳定电网电压,通常引入无功补偿装置。对系统进行无功补偿,能够改变功率因数,降低系统损耗,大大提高电网功率的运行效率。另外,无功补偿还可以减少电压闪变、降低过电压以及提高电力系统的静止和动态稳定性等,就其经济价值而言,具有重要意义。
3.1 减少线路压降,提高电压的稳定性
无功补偿装置的引入,平衡了系统中无功功率,提高了电压的稳定性。由于线路传送电流小了,系统的线路电压损失也相应减小,有利于系统电压的稳定(轻载时要防止超前电流使电压上升过高),有利于大电机装置的起动。
3.2 降低系统能耗,提高资源的利用率
功率因数的提高,能一定程度减少线路损耗及变压器的铜耗。
设
R
为线路电阻,
△P1
为原线路损耗,引入无功补偿装置后,线路损耗为
△P2
,则线路损耗减少:
引入补偿后,由于功率因数提高,
U2φU1
,为分析方便,可近似认为
U2≈U1
,则:
当功率因数从0.8提高至0.9时,通过上式计算,可求得有功损耗降低20.99%左右。
在输送
P=3UI*COSφ
不变情况下,功率因数提高,则I相对降低。设
I1、I2
分别为补偿前、后变压器的电流,铜耗分别为
△P1、△P2
,则:
(5)
由(5)式可知,功率因数从0.8提高至0.9时,铜耗相当于原来的79%。
3.3 改善功率因数,减少相应电费
根据国家水电部,物价局颁布的《功率因数调整电费办法》,规定三种功率因数标准值,相应减少电费:
(1)高压供电的用电单位,功率因数为0.9以上。
(2)低压供电的用电单位,功率因数为0.85以上。
(3)低压供电的农业用户,功率因数为0.8以上。
根据《办法》,补偿后的功率因数以分别不超出0.95、0.94、0.92为宜,因为超过此值,电费并没有减少,相反初次设备增加,是不经济的。
3.4 增加供电功率,减少用电投资
对于原有供电设备来讲,同样的有功功率下,功率因数提高,负荷电流减小,因此向负荷传输功率所经过的变压器、开关、导线等配电设备都增加了功率储备,发挥了设备的潜力。对于新建项目来说,降低了变压器容量,减少了投资费用,同时也减少了运行后的基本电费。
4.无功补偿的一般方法
无功功率补偿通常采用的方法主要有3种:低压个别补偿、低压集中补偿和高压集中补偿。
4.1 低压个别补偿
低压个别补偿就是根据个别用电设备对无功的需求,将单台或多台低压电容器组分散地与用电设备并接。它与用电设备共用一套断路器,通过控制、保护装置与电机同时投切,随机补偿适用于补偿个别大容量且连续运行(如大中型异步电动机)的无功消耗,以补励磁无功为主。低压个别补偿的优点:根据用电设备运行或者停运,无功补偿投入或者退出,不会造成无功倒送。具有投资少、体积小、安装容易、配置方便、操作灵活、维护简单、事故率低等优点。
4.2 低压集中补偿
低压集中补偿是指将低压电容器通过低压开关接在配电变压器低压母线侧,以无功补偿投切装置作为控制保护装置,根据低压母线上的无功负荷直接控制电容器的投切。电容器的投切是整组进行,做不到平滑的调节。低压集中补偿的优点:配置容易、维护简单、平衡迅捷,从而提高配变利用率,降低网损,具有较高的经济价值,是目前无功补偿常用手段之一。
4.3 高压集中补偿
高压集中补偿是指将并联电容器组直接接在变电所6~10kV高压母线上的补偿方式。适用于远离变电所或在供电线路末端的用户,用户本身又有一定的高压负荷时,可以减少对电力系统无功的消耗,起到一定的补偿作用;补偿装置根据负荷的大小自动投切,从而合理地提高了用户的功率因数,避免功率因数降低导致电费的增加。高压集中补偿的优点:配置灵活、维护简单,补偿效益高等。
5.无功功率补偿的基本原理
在电力系统中,无功功率的动态补偿,可以实现如下诸多功能,比如:
①对动态无功负荷的功率因数校正;②调整电压;③提高电力系统的动态和静态稳定性;④降低过电压;⑤减少电压闪烁;⑥阻尼功率振荡;⑦阻尼次同步振荡;⑧减少电压和电流的不平衡。
虽然以上八种功能相互关联,然而,实际的静止无功补偿装置往往只能以其中的某一条或某几条为直接控制目标,尽可能的兼顾其它功能,并且,在控制策略和控制方式有所侧重。本文仅以改善电压调整的基本功能做一介绍。
补偿原理:
将电路具体分为系统、负载和补偿器三部分的等效电路,其动态补偿原理如图2所示。
电压 变压器 电力电子 自动化 电子 IGBT PWM 电容 电容器 二极管 滤波器 电流 电阻 电动机 电路 可控硅 相关文章:
- 航天器DC/DC变换器的可靠性设计(02-12)
- 基于nRF2401智能小区无线抄表系统集中器设计(04-30)
- 卫星电源分系统可靠性设计与研究(02-12)
- 安全标准61010标准解析(05-05)
- 采用信号调理IC驱动应变片电桥传感器(05-26)
- 解密波音747飞机中的Sperry垂直陀螺仪(05-06)
