系统中基于MAX6636的多点温度监测
时间:01-14
来源:互联网
点击:
- 3.4 器件的编址
一般来说,每个SMBus器件有一个7位地址(除一些扩展地址为10位外)。当主器件通过总线发出一个器件的地址时,具有该地址的器件将响应。MAX6636的地址是4D(1001101)。
3.5 ALERT报警响应地址
SMBus中断报警响应指针为那些简单的从器件提供快速、默认的确认方式。对那些缺少复杂逻辑器的器件来说,需要通过一个集线器来连接。在收到一个中断信号后,主机会发出一个中断源的地址,具有该地址的器件将响应。
ALERT信号能同时响应多个不同器件,这点类似于I2C总线响应。如果多于一个器件的ALERT等待被响应,根据SMBus协定,则有最低位地址的器件有优先权。一旦MAX6636响应了警告响应地址,只要引起ALERT输出的错误状态不存在,它将重新设置ALERT输出。如果SMBus上的ALERT保持低电平,主器件将再次发送中断请求,直到所有ALERT信号变低的器件被响应。
3.6 OVERT过温报警
MAX6636有4个远程过温极限寄存器用来存储远程报警输出极限值。当测得某通道的温度值超过其寄存器存储的极限值时,OVERT就会呈现报警状态,并且这种状态将会一直保持,直到其测量值下降到其设定值的4℃以下。这种过温报警输出可以用于降温系统的激励源,初始化时钟源,或作为系统自动关机的触发开关来避免机器因为过热而带来的损失。
3.7 传感器故障探测
在DXP输入端,MAX6636有一个可探测外部传感器二极管是否开路的故障探测器。这是一个简单的电压比较器,在DXP电压超过(VCC一1V)时触发。如果触发转换开始时探测到故障,则要检查比较器输出和设置状态寄存器3的第1位~第6位。例如,由于二极管短路,ADC输出128(1111 1111)。因为器件正常工作范围扩展到+127℃,绝不会出现这样的输出值,所以它是一种错误状态。
MAX6636约4 ms探测一次二极管看是否出现故障,一旦探测到有故障,将按照转换顺序进行下一通道的探测。短路二极管可能引起报警中断的产生,因此未用的通道引脚不应连接。
4 应 用
4.1 应用电路
MAX6636的典型应用电路如图2所示,通过一个屏蔽的双绞线电缆与一个分离的晶体管相连。

SMBCLK、SMBDATA、ALERT和OVERT需分别通过4.7 kΩ的电阻止拉到VCC,SMBCLK和SMBDATA可以直接与I/0控制器(如Intel 820)的SMBus相连。ALERT接控制器的中断输入端。OVERT一般与风扇控制电路相连,当有相应的中断响应后,该端口做出相应的减速或关断动作。
4.2 影响精度的因素
4.2.1 远程感测二极管
MAX6636与嵌入在CPU内的基片晶体管或分立晶体管一起工作。其中,基片晶体管一般是PNP型,其集电极连接到基片上。分立晶体管可以是PNP或NPN连接成二极管型(基极和集电极短接)。如果使用NPN管,集电极和基极连接到DXP,发射极连接到DXN;如果用PNP管,集电极和基极连接到DXN,发射极连接到DXP。许多CPU内有基片晶体管,为了减小它们变化带来的误差,需要考虑下列因素:
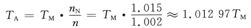
①晶体管的理想因子n。远程测温精度主要取决于远程感测二极管的理想因子n,MAX6636设计的理想因子nN值为1.015。对于实际温度为TA、理想因子为n的感测二极管,测量温度为:

如果将MAX6636应用在理想因子为1.002的CPU上,假设感测二极管没有接串联电阻,那么实际温度为

对于实际温度+85℃,测量温度约为+83.91℃,误差约为一1.09℃。
②当传感器是分立式晶体管时,集电极和基极必须连接在一块。这种晶体管必须是小信号并且具有相对来说较高的前向电压,否则A/D输入电压范围就会受到影响。在理想温度时,前向电压的最大值应大于0.25 V/10μA,最小值应小于O.95 V/100μA,所以,应用中不能使用大功率晶体管。另外,应确保基极的电阻小于100Ω。
4.2.2 热惯性和自热
精度不仅取决于远程感应二极管和内部温度传感器的温度,也与其他因素有关。当MAX6636测量本地温度时,导线为PCB上的器件与模板提供了良好的热接触。当使用片上传感器测量某个CPU或其他IC的温度时,热惯性实际上对他的影响并不大,在一个转换周期内,测量温度值很接近实际值。当用分离远程晶体管测量温度时,SOT一23或SC一70这种小封装器件会获得最佳的热响应时间。在热源和传感器间须谨慎考虑热量坡度问题,确保周围穿过传感器封装的空气电流不会影响测量的准确度。在相当大的程度上,自热不会影响测量的准确度,远程传感器的自热取决于二极管电流,可以忽略不计。
4.3 PCB布线考虑
数字电路板常会处于电气噪声的环境中,而MAX6636从远程温度传感器测量的电压很小,所以必须采取措施使传感器输入端感应的噪声减至最小。为了减小远程温度测量误差,建议遵循以下布局布线原则:
①将MAX6636尽可能放在离远程感测二极管最近处。假若没有噪声源(如时钟产生器、数据/地址总线和CRT),该距离最好是10.2~20.4cm。
②布线时,不要将DXP和DXN信号线靠近CRT相关的焊盘,也不要将布线路径选择在高速数字信号区。
③DXP和DXN平行放置且相互靠近。由于PCB的漏电流的存在,如果DXP通过20 MΩ的路径接至地,那么将会产生+1℃的温升误差。因此,布线时最好在DXP和DXN的两侧设置地线,如有可能在印制线下设一地面层。
④尽量减少可能引起热电偶效应的铜和焊点的数量。在铜和焊点处,确保DXP和DXN同路径、同温度,热电偶效应可以忽略不计。
⑤用宽的引线以减小感应,降低噪声,线宽和线距最好都是10 nail(mil为非法定计量单位,1000 mil="25".4 mm)。
二极管 传感器 电容 温度传感器 电路 总线 电阻 ADC 电压 比较器 PCB 电流 相关文章:
- 航天器DC/DC变换器的可靠性设计(02-12)
- 基于nRF2401智能小区无线抄表系统集中器设计(04-30)
- 卫星电源分系统可靠性设计与研究(02-12)
- 基于令牌存储技术的采集器设计与实现(03-18)
- 安森美90W太阳能LED街灯高能效解决方案(05-18)
- 用电子技术最大化太阳能电池板输出功率(05-18)
